A Simple Photonic System for DFS and AOA Simultaneous Measurement
Abstract
1. Introduction
2. Principle and Method
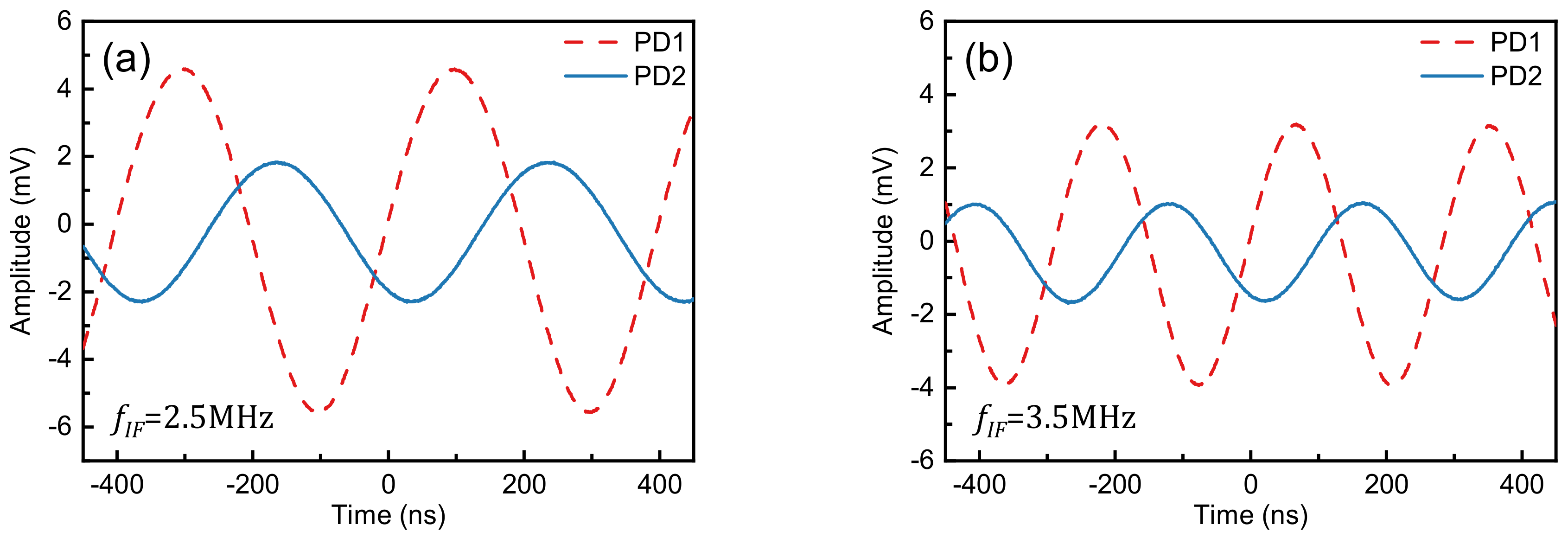
3. Experiment Result
4. Discussion
5. Conclusions
Author Contributions
Funding
Acknowledgments
Conflicts of Interest
References
- Patole, S.M.; Torlak, M.; Wang, D.; Ali, M. Automotive radars: A review of signal processing techniques. IEEE Signal Process. Mag. 2017, 34, 22–35. [Google Scholar] [CrossRef]
- Ghelfi, P.; Laghezza, F.; Scotti, F.; Serafino, G.; Capria, A.; Pinna, S.; Onori, D.; Porzi, C.; Scaffardi, M.; Malacarne, A.; et al. A fully photonics-based coherent radar system. Nature 2014, 507, 341–345. [Google Scholar] [CrossRef]
- Capmany, J.; Novak, D. Microwave photonics combines two worlds. Nat. Photon 2007, 1, 319–330. [Google Scholar] [CrossRef]
- Pan, S.; Yao, J. Photonics-Based Broadband Microwave Measurement. J. Light. Technol. 2017, 35, 3498–3513. [Google Scholar] [CrossRef]
- Zou, X.; Lu, B.; Pan, W.; Yan, L.; Stöhr, A.; Yao, J. Photonics for microwave measurements. Laser Photonics Rev. 2016, 10, 711–734. [Google Scholar] [CrossRef]
- Emami, H.; Hajihashemi, M.; Alavi, S.E. Standalone Microwave Photonics Doppler Shift Estimation System. J. Light. Technol. 2016, 34, 3596–3602. [Google Scholar] [CrossRef]
- Gao, Y.; Kang, B.; Chen, Y.; Zhao, Y.; Zhang, W.; Fan, Y. A Simple and All-Optical Microwave Doppler Frequency Shift and Phase Measurement System Based on Sagnac Loop and I/Q Detection. IEEE Trans. Instrum. Meas. 2021, 70, 5500809. [Google Scholar] [CrossRef]
- Yang, Y.; Du, C.; Wang, D.; Wang, M.; Dong, W. Simple Doppler Frequency Shift Measurement Scheme Based on Microwave Photonics. IEEE Photonics Technol. Lett. 2022, 34, 67–70. [Google Scholar] [CrossRef]
- Lu, B.; Pan, W.; Zou, X.; Yan, X.; Yan, L.; Luo, B. Wideband Doppler frequency shift measurement and direction ambiguity resolution using optical frequency shift and optical heterodyning. Opt. Lett. 2015, 40, 2321–2324. [Google Scholar] [CrossRef]
- Zuo, P.; Chen, Y. Photonic-Assisted Filter-Free Microwave Doppler Frequency Shift Measurement Using a Fixed Low-Frequency Reference Signal. J. Light. Technol. 2020, 38, 4333–4340. [Google Scholar] [CrossRef]
- Chen, Y.; Zuo, P.; Shi, T.; Chen, Y. Photonic-enabled Doppler frequency shift measurement for weak echo signals based on optical single sideband mixing using a fixed low-frequency reference. J. Lightw. Technol. 2021, 39, 3121–3129. [Google Scholar] [CrossRef]
- Chen, W.; Wen, A.; Li, X.; Gao, Y.; Wang, Y.; Xiang, S.; He, H.; Zheng, H. Wideband Doppler Frequency Shift Measurement and Direction Discrimination Based on a DPMZM. IEEE Photonics J. 2017, 9, 5501008. [Google Scholar] [CrossRef]
- Vidal, B.; Piqueras, M.A.; Marti, J. Direction-of-arrival estimation of broadband microwave signals in phased-array antennas using photonic techniques. J. Lightw. Technol. 2016, 24, 2741–2745. [Google Scholar] [CrossRef]
- Tu, Z.; Wen, A.; Xiu, Z.; Zhang, W.; Chen, M. Angle-of-arrival es- timation of broadband microwave signals based on microwave photonic filtering. IEEE Photon. J. 2017, 9, 5503208. [Google Scholar]
- Chen, H.; Chan, E.H.W. Angle-of-arrival measurement system using double RF modulation technique. IEEE Photon. J. 2019, 11, 7200110. [Google Scholar] [CrossRef]
- Cao, Z.; van den Boom, H.P.A.; Lu, R.; Wang, Q.; Tangdiongga, E.; Koonen, A.M.J. Angle-of-arrival measurement of a microwave signal using parallel optical delay detector. IEEE Photon. Technol. Lett. 2013, 25, 1932–1935. [Google Scholar] [CrossRef]
- Cao, Z.; Wang, Q.; Lu, R.; van den Boom, H.P.A.; Tangdiongga, E.; Koonen, A.M.J. Phase modulation parallel optical delay detector for microwave angle-of-arrival measurement with accuracy monitored. Opt. Lett. 2014, 39, 1497–1500. [Google Scholar] [CrossRef]
- Chen, H.; Chan, E.H.W. Simple approach to measure angle of arrival of a microwave signal. IEEE Photon. Technol. Lett. 2019, 31, 1795–1798. [Google Scholar] [CrossRef]
- Chen, H.; Chan, E.H.W. Photonics-based CW/pulsed microwave signal AOA measurement system. J. Lightw. Technol. 2020, 38, 2292–2298. [Google Scholar] [CrossRef]
- Chen, H.; Huang, C.; Chan, E.H.W. Photonic approach for measuring AOA of multiple signals with improved measurement accuracy. IEEE Photon. J. 2020, 12, 7201810. [Google Scholar] [CrossRef]
- Li, P.; Yan, L.; Ye, J.; Feng, X.; Pan, W.; Luo, B.; Zou, X.; Zhou, T.; Chen, Z. Photonic approach for simultaneous measurements of Doppler-frequency-shift and angle-of-arrival of microwave signals. Opt. Express 2019, 27, 8709–8716. [Google Scholar] [CrossRef] [PubMed]
- Zhao, J.; Tang, Z.; Pan, S. Photonic approach for simultaneous measurement of microwave DFS and AOA. Appl. Opt. 2021, 60, 4622–4626. [Google Scholar] [CrossRef] [PubMed]
- Zhuo, H.; Wen, A. A Photonic Approach for Doppler-Frequency-Shift and Angle-of-Arrival Measurement Without Direction Ambiguity. J. Light. Technol. 2021, 39, 1688–1695. [Google Scholar] [CrossRef]
- Jia, Q.; Li, J.; Sun, L.; Li, D.; Liu, J. A Simple Photonics-Based Measurement Method for Microwave DFS and AOA. IEEE Photonics J. 2022, 14, 5532108. [Google Scholar] [CrossRef]
- Huang, C.; Chen, H.; Chan, E.H.W. Simple photonics-based system for Doppler frequency shift and angle of arrival measurement. Opt. Express 2020, 28, 14028–14037. [Google Scholar] [CrossRef]
- Cao, X.H.; Fan, X.J.; Li, G.Y.; Li, M.; Zhu, N.H.; Li, W. A Filterless Photonic Approach for DFS and AOA Measurement Using a Push-Pull DPol-MZM. IEEE Photonics Technol. Lett. 2022, 34, 19–22. [Google Scholar] [CrossRef]
- Li, G.; Shi, D.; Wang, L.; Li, M.; Zhu, N.; Li, W. Photonic System for Simultaneous and Unambiguous Measurement of Angle-of-Arrival and Doppler-Frequency-Shift. J. Light. Technol. 2022, 40, 2321–2328. [Google Scholar] [CrossRef]







Publisher’s Note: MDPI stays neutral with regard to jurisdictional claims in published maps and institutional affiliations. |
© 2022 by the authors. Licensee MDPI, Basel, Switzerland. This article is an open access article distributed under the terms and conditions of the Creative Commons Attribution (CC BY) license (https://creativecommons.org/licenses/by/4.0/).
Share and Cite
Li, X.; Tao, J.; Li, J.; Jia, Q.; Wang, C.; Liu, J. A Simple Photonic System for DFS and AOA Simultaneous Measurement. Photonics 2022, 9, 980. https://doi.org/10.3390/photonics9120980
Li X, Tao J, Li J, Jia Q, Wang C, Liu J. A Simple Photonic System for DFS and AOA Simultaneous Measurement. Photonics. 2022; 9(12):980. https://doi.org/10.3390/photonics9120980
Chicago/Turabian StyleLi, Xintong, Jinming Tao, Jinye Li, Qianqian Jia, Chaoquan Wang, and Jianguo Liu. 2022. "A Simple Photonic System for DFS and AOA Simultaneous Measurement" Photonics 9, no. 12: 980. https://doi.org/10.3390/photonics9120980
APA StyleLi, X., Tao, J., Li, J., Jia, Q., Wang, C., & Liu, J. (2022). A Simple Photonic System for DFS and AOA Simultaneous Measurement. Photonics, 9(12), 980. https://doi.org/10.3390/photonics9120980

