Resonance Control of VO2 Thin-Film-Based THz Double-Split Rectangular Metamaterial According to Aspect Ratio
Abstract
1. Introduction
2. Design and Simulation
2.1. Design of Double-Split Rectangular Metamaterial
2.2. Simulation of a Double-Split Rectangular Metamaterial
3. Fabrication and Measurement
3.1. Fabrication of the Double-Split Rectangular Metamaterial
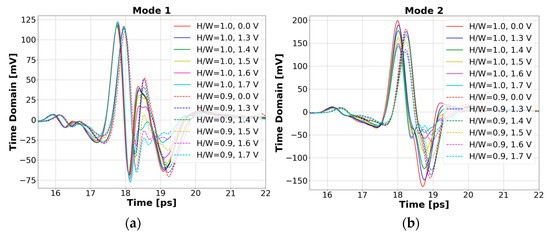
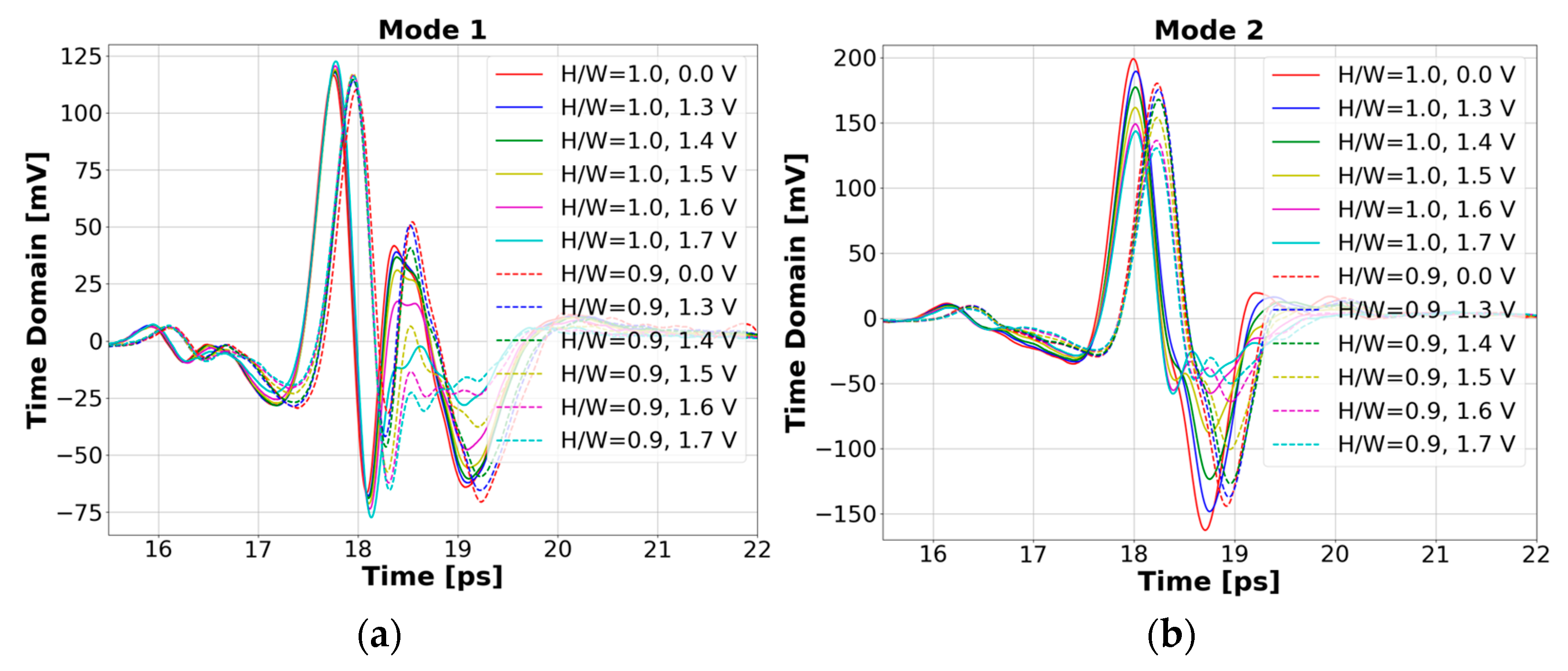
3.2. Measurement of a Double-Split Rectangular Metamaterial
4. Discussion
5. Conclusions
Author Contributions
Funding
Institutional Review Board Statement
Informed Consent Statement
Data Availability Statement
Conflicts of Interest
References
- Xu, W.; Xie, L.; Ying, Y. Mechanisms and applications of terahertz metamaterial sensing: A review. Nanoscale 2017, 9, 13864–13878. [Google Scholar] [CrossRef] [PubMed]
- Zhang, X.C.; Shkurinov, A.; Zhang, Y. Extreme terahertz science. Nat. Photonics 2017, 11, 16–18. [Google Scholar] [CrossRef]
- Jepsen, P.U.; Cooke, D.G.; Koch, M. Terahertz spectroscopy and imaging—Modern techniques and applications. Laser Photon. Rev. 2011, 5, 124. [Google Scholar] [CrossRef]
- Tonouchi, M. Cutting-edge terahertz technology. Nat. Photonics 2007, 1, 97–105. [Google Scholar] [CrossRef]
- Ryu, H.-C.; Kim, N.; Han, S.-P.; Ko, H.; Park, J.-W.; Moon, K.; Park, K.H. Simple and cost-effective thickness measurement terahertz system based on a compact 1.55 μm λ/4 phase-shifted dual-mode laser. Opt. Express 2012, 20, 25990–25999. [Google Scholar] [CrossRef] [PubMed]
- Liu, H.B.; Zhong, H.; Karpowicz, N.; Chen, Y.; Zhang, X.C. Terahertz spectroscopy and imaging for defense and security applications. Proc. IEEE 2007, 95, 1514–1527. [Google Scholar] [CrossRef]
- Yang, Y.; Yamagami, Y.; Yu, X.; Pitchappa, P.; Webber, J.; Zhang, B.; Fujita, M.; Nagatsuma, T.; Singh, R. Terahertz topological photonics for on-chip communication. Nat. Photonics 2020, 14, 446–451. [Google Scholar] [CrossRef]
- Huang, K.-C.; Wang, Z. Terahertz terabit wireless communication. IEEE Mic. Mag. 2011, 12, 108–116. [Google Scholar] [CrossRef]
- Dan, I.; Ducournau, G.; Hisatake, S.; Szriftgiser, P.; Braun, R.; Kallfass, I. A terahertz wireless communication link using a superheterodyne approach. IEEE Trans. Tera. Sci. Technol. 2020, 10, 2–43. [Google Scholar] [CrossRef]
- Song, H.-J.; Nagatuma, T. Present and future of terahertz communications. IEEE Trans. Tera. Sci. Technol. 2011, 1, 256–263. [Google Scholar] [CrossRef]
- Smith, D.R.; Padilla, D.C.V.; Nemat-Nasser, S.C.; Schultz, S. Composite medium with simultaneously negative permeability and permittivity. Phys. Rev. Lett. 2000, 84, 4184–4187. [Google Scholar] [CrossRef]
- Valentine, J.; Zhang, S.; Zentgraf, T.; Ulin-Avila, E.; Genov, D.A.; Bartal, G.; Zhang, X. Three-dimensional optical metamaterial with negative refractive index. Nature 2008, 455, 376–379. [Google Scholar] [CrossRef]
- Schurig, D.; Mock, J.J.; Justice, B.J.; Cummer, S.A.; Pendry, J.B.; Starr, A.F.; Smith, D.R. Metamaterial electromagnetic cloak at microwave frequencies. Science 2006, 314, 977–979. [Google Scholar] [CrossRef]
- Landy, N.; Smith, D.R. A full-parameter unidirectional metamaterial cloak for microwaves. Nat. Mater. 2013, 12, 25–28. [Google Scholar] [CrossRef]
- Shen, S.; Liu, X.; Shen, Y.; Qu, J.; Pickwell-Macpherson, E.; Wei, X.; Sun, Y. Recent advances in the development of materials for terahertz metamaterial sensing. Opt. Mat. 2021, 10, 2101008. [Google Scholar] [CrossRef]
- Zheng, Z.; Zheng, Y.; Luo, Y.; Yi, Z.; Zhang, J.; Liu, Z.; Yang, W.; Yu, Y.; Wu, X.; Wu, P. A switchable terahertz device combining ultra-wideband absorption and ultra-wideband complete reflection. Phys. Chem. Chem. Phys. 2022, 24, 2527–2533. [Google Scholar] [CrossRef]
- Chen, H.-T.; Padilla, W.J.; Zide, J.M.O.; Gossard, A.C.; Taylor, A.J.; Averitt, R.D. Active terahertz metamaterial devices. Nature 2006, 444, 597–600. [Google Scholar] [CrossRef] [PubMed]
- Choi, M.; Lee, S.H.; Kim, Y.; Kang, S.B.; Shin, J.; Kwak, M.H.; Kang, K.-Y.; Lee, Y.-H.; Park, N.; Min, B. A terahertz metamaterial with unnaturally high refractive index. Nature 2011, 470, 369–373. [Google Scholar] [CrossRef]
- Sensale-Rodriguez, B.; Yan, R.; Kelly, M.M.; Fang, T.; Tahy, K.; Hwang, W.S.; Jena, D.; Liu, L.; Xing, H.G. Broadband graphene terahertz modulators enabled by intraband transition. Nat. Comm. 2012, 3, 1–7. [Google Scholar] [CrossRef] [PubMed]
- Ju, L.; Geng, B.; Horng, J.; Girit, C.; Martin, M.; Hao, Z.; Bechtel, H.A.; Liang, X.; Zettl, A.; Shen, Y.R.; et al. Graphene plasmonics for tunable terahertz metamaterials. Nat. Nanotech. 2011, 4, 630–634. [Google Scholar] [CrossRef] [PubMed]
- Chen, H.-T.; Padilla, W.J.; Cich, M.J.; Azad, A.K.; Averitt, R.D. A metamaterial solid-state terahertz phase modulator. Nat. Photonics 2009, 22, 148–151. [Google Scholar] [CrossRef]
- Shin, J.H.; Park, K.H.; Ryu, H.C. A band-switchable and tunable THz metamaterial based on an etched vanadium dioxide thin film. Photonics 2022, 9, 89. [Google Scholar] [CrossRef]
- Shin, J.H.; Han, S.P.; Song, M.; Ryu, H.C. Gradual tuning of the terahertz passband using a square-loop metamaterial based on a W-doped VO2 thin film. App. Phys. Express 2019, 12, 032007. [Google Scholar] [CrossRef]
- Park, D.J.; Shin, J.H.; Park, K.H.; Ryu, H.C. Electrically controllable THz asymmetric split-loop resonator with an outer square loop based on VO2. Opt. Express 2018, 26, 17397–17406. [Google Scholar] [CrossRef] [PubMed]
- Shin, J.H.; Park, K.H.; Ryu, H.C. Electrically controllable terahertz square-loop metamaterial based on VO2 thin film. Nanotechnology 2016, 27, 195202. [Google Scholar] [CrossRef]
- Liu, M.; Hwang, H.Y.; Tao, H.; Strikwerda, A.C.; Fan, K.; Keiser, G.R.; Sternbach, A.J.; West, K.G.; Kittiwatanakul, S.; Lu, J.; et al. Terahertz-field-induced insulator-to-metal transition in vanadium dioxide metamaterial. Nature 2012, 487, 345–348. [Google Scholar] [CrossRef]
- Wen, Q.-Y.; Zhang, H.-W.; Yang, Q.-H.; Xie, Y.-S.; Chen, K.; Liu, Y.-L. Terahertz metamaterials with VO2 cut-wires for thermal tenability. App. Phy. Lett. 2010, 97, 021111. [Google Scholar] [CrossRef]
- Zheng, Z.; Luo, Y.; Yang, H.; Yi, Z.; Zhang, J.; Song, Q.; Yang, W.; Liu, C.; Wu, X.; Wu, P. Thermal tuning of terahertz metamaterial absorber properties based on VO2. Phys. Chem. Chem. Phys. 2022, 24, 8846–8853. [Google Scholar] [CrossRef]
- Deng, L.Y.; Teng, J.H.; Zhang, L.; Wu, Q.Y.; Liu, H.; Zhang, X.H.; Chua, S.J. Extremely high extinction ratio terahertz broadband polarizer using bilayer subwavelength metal wire-grid structure. App. Phy. Lett. 2012, 101, 011101. [Google Scholar] [CrossRef]









Publisher’s Note: MDPI stays neutral with regard to jurisdictional claims in published maps and institutional affiliations. |
© 2022 by the authors. Licensee MDPI, Basel, Switzerland. This article is an open access article distributed under the terms and conditions of the Creative Commons Attribution (CC BY) license (https://creativecommons.org/licenses/by/4.0/).
Share and Cite
Lee, E.S.; Ryu, H.-C. Resonance Control of VO2 Thin-Film-Based THz Double-Split Rectangular Metamaterial According to Aspect Ratio. Photonics 2022, 9, 966. https://doi.org/10.3390/photonics9120966
Lee ES, Ryu H-C. Resonance Control of VO2 Thin-Film-Based THz Double-Split Rectangular Metamaterial According to Aspect Ratio. Photonics. 2022; 9(12):966. https://doi.org/10.3390/photonics9120966
Chicago/Turabian StyleLee, Eui Su, and Han-Cheol Ryu. 2022. "Resonance Control of VO2 Thin-Film-Based THz Double-Split Rectangular Metamaterial According to Aspect Ratio" Photonics 9, no. 12: 966. https://doi.org/10.3390/photonics9120966
APA StyleLee, E. S., & Ryu, H.-C. (2022). Resonance Control of VO2 Thin-Film-Based THz Double-Split Rectangular Metamaterial According to Aspect Ratio. Photonics, 9(12), 966. https://doi.org/10.3390/photonics9120966

