Abstract
Based on two-dimensional elliptical microresonator arrays, we designed and fabricated a compact filter on the silicon-on-insulator platform with potential applications for on-chip optical interconnects. The fabricated optical filter exhibits a wide flat bandwidth of 951 GHz with the shape factor of 0.57 at the through port for the arrays. The out-of-band rejection is as high as 50 dB. The crosstalk is also very low (−46 dB). The spectral shows a boxlike response. Although there are sixty rings used in the array, the insertion loss is still very small (≤1.36 dB).
1. Introduction
Optical microring resonators are attractive fundamental building blocks for optical communication and signal processing due to their unique and interesting properties, such as the intrinsic spectral selectivity, the capability of confining light and enhancing the optical power at resonance, and boosting nonlinear effects, etc. Compared with a single microring resonator, the frequency domain behavior and design flexibility are further enriched for coupled microrings. The complex and flexible coupled-resonator system provides incomparable opportunities in both the investigation of physical phenomena and their applications. Optical filters with a desired spectral response based on coupled microring resonators have been intensively studied due to their extensive applications in optical communication and interconnect systems. As a basic component of wavelength division multiplexing/demultiplexing systems, researchers have proposed many configurations to boost the device performance [1,2,3,4,5,6,7,8,9,10,11,12]. In order to obtain high out-of-band rejection and a flat passband, three configurations of high-order ring resonators are frequently adopted. In one configuration, which we refer to as cascaded microring resonators (MRRs), the resonators are periodically coupled to two side waveguides, with equal spacing (half the circumference of the ring) between adjacent microrings [13,14,15,16,17]. This configuration is analogous to a Bragg grating. Utilizing a relatively small number of rings, a flat bandpass response at the drop port can be obtained but with high out-of-band sidelobes. In another configuration, which is called series-coupled MRRs, the rings are mutually coupled in a linear cascade [18,19,20]. The whole array is coupled to an input and output bus waveguide. By optimizing the coupling coefficients between waveguide-to-ring and the interings, a flat-top response with high out-of-band rejection at the drop port can be achieved at the cost of high in-band ripple. For an ideal bandpass filter, it should have a square spectral response with sharp rolloff and sidelobe-free stopbands [21]. Efforts has been made to improve the device performance based on the two mentioned configurations, such as filter synthesis to suppress the fabrication sensitivities and sidelobes inherent in periodically coupled MRRs [22] and filter design formalism to achieve the desired filter responses such as a maximally flat transmission and a maximally flat group delay [23]. An alternative approach is also proposed, which is the third configuration, which we call the two-dimensional (2D) array, a geometric hybrid of the cascaded MRRs and series-coupled MRRs. By integrating the complementary features of the other two configurations, this configuration will exhibit augmented performance [24,25,26], such as a high usable bandwidth and an obvious reduction in sidelobes and ripples. Circular rings have been extensively used in WDM optical networks. However, they have inherent problems. One of the problems is that the fabrication tolerance of the microring device is strict. Based on our calculation and experiment, the slowly bent coupling region in elliptical rings can enhance the power coupling, which will relax the fabrication requirements [27]. Moreover, the additional coupling loss caused by the mismatch between the straight and bent waveguides cannot be ignored. For the elliptical ring, the additional coupling loss can be ignored, and the operation wavelength range is large [19]. The elliptical rings have proved to be a good choice in wavelength-division-multiplexing optical networks. These are the main reasons why we use ellipses instead of circles. In this paper, we combine the elliptical ring with the array to improve the overall performance. The experiment agreed with our expectation. The device showed a flat-top spectral response with an out-of-band rejection as high as 50 dB. The fabricated 2D array is the largest reported so far.
2. Methods
The schematic configuration of the optical filter based on the 2D array is illustrated in Figure 1. The generalized ring resonators can be analyzed by column first and then by row. For a fixed total number of rings, the number of rows N must be an odd integer to make sure that the wave in the output waveguide is backward traveling to form a bandgap structure [21]. Furthermore, the spacing between columns in the x direction was fixed to be half the resonator perimeter to eliminate Bragg resonances. At the resonance wavelength of the ring, the light is propagated along the y direction. For the non-resonance wavelength, its propagation along x direction is encouraged. The bandgap of the periodic structure in the x direction and the bandgap in the y direction are complementary, which constitute the bandstructure of the 2D array. Since there is no overlap between the bandgaps in the two directions, the 2D array facilitates the suppression of the sidelobes outside and the ripples inside the passband. For example, we assumed the total number of rings was 60. There are two conditions to select the number of rows and columns. The number of rows N is odd and the number of columns M is an integer. So the number of rows N can be selected as 1, 3, 5, and 15. Figure 2 illustrates how the number of rows N affects the sidelobe suppression and out-of-band rejection. With increasing N, the sidelobe suppression is increased, and the out-of-band rejection is decreased. There is a tradeoff between sidelobe suppression and out-of-band rejection. In our design, we chose N = 3 and M = 20 to obtain an acceptable high out-of-band rejection and sidelobe suppression.
Figure 1.
(a) Schematic configuration of the optical filter based on the arrays. (b) Waveguide cross section.
Figure 2.
Transmission characteristics of the fixed total number of rings (60 rings): (a) through port and (b) drop port. The number of rows should be odd. In order to ensure that the number of columns is an integer, we selected the number of rows N as 1, 3, 5, and 15.
The transmission characteristics are calculated based on transform matrix method. For the array, the transmission spectra can be derived as the following equation:
where are the transfer matrix of the two parallel waveguides, are the transfer matrix of the rings in y direction. In this paper, and . are the transfer matrix elements of the 2D array. The input for the add port is assumed to be zero (), and the power transfer function of the 2D array is
where T is the power transmission of the through port and D is the power transmission of the drop port. As illustrated in Figure 1, the width of the bus waveguide was set to be 450 nm, and the width of the ring was 600 nm for a smaller bend loss and single mode. In this case, the bend loss with bend radius m was dB/cm. This bending radius can ensure a relatively large free spectral range with low bend loss. The device was designed using a commercial SOI wafer with 340-nm-thick top silicon and 2 m thick buried silicon dioxide. The slab height and ridge waveguide height were set at 130 nm and 210 nm, respectively, in consideration of the high efficiency grating coupler. In order ensure the complementary of the photonic bandgap in x and y directions, the power coupling coefficients between the waveguide-to-ring and the inter-rings were made identical (). The gaps between the waveguide-to-ring and between the rings were 140 nm and 80 nm to achieve the power coupling coefficient of 0.1. Figure 3 shows the transmission spectra of the through and drop ports for arrays and arrays. The through port for arrays showed a 25 dB out-of-band rejection. For arrays, the through port showed a nearly 57 dB out-of-band rejection, while maintaining the maximally flat passband, and the crosstalk was 44.5 dB. The calculated results showed a 30-dB sidelobe suppression with only three rings in the y direction. That was mainly because the periodic structure in the y direction opened up a bandgap in the frequency band of the sidelobes that effectively filtered out the inter-resonator reflections in the x direction.
Figure 3.
Transmission spectrum at the through (red dashed line) and drop ports (blue solid line) for the (a,b) arrays and the (c,d) arrays. (b,d) are the enlarged figures of the shadow area in (a,c).
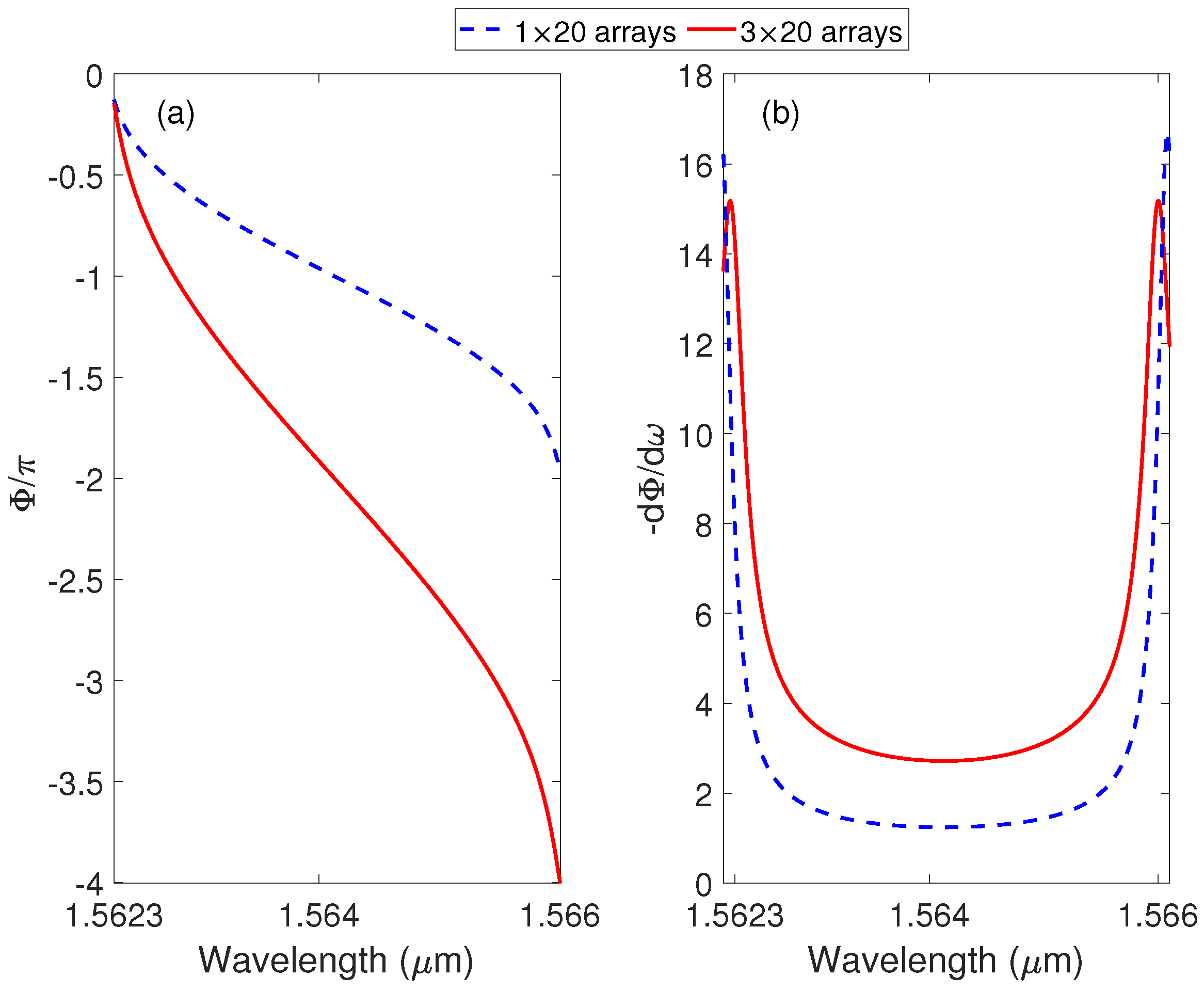
The phase response and group delays were also calculated, as illustrated in Figure 4. The phase responses were nearly linear over the band. And at the band edge, there appeared a peak in the group delays. With more rings cascaded in the y direction, the linear phase region narrowed. There was a tradeoff between the linear phase region and the square spectral response. The square spectral response required a larger array, while this resulted in a smaller linear phase region. As long as the signal frequency was within the linear phase region, the dispersion was minimal.
Figure 4.
(a) Phase response and (b) the relative group delays for the drop port of the arrays (blue dashed line) and the arrays (red solid line).
3. Results and Discussion
The device was fabricated on a commercial SOI wafer with 340-nm-thick top silicon and 2 m thick buried silicon dioxide. The device was patterned using a slab height of 130 nm and the ridge waveguide height of 210 nm. Electron-beam lithography was used to transfer the pattern to the wafer. Then, we used an inductively coupled plasma etching system to dry etch 210 nm of the top silicon layer. In Figure 5, the optical microscope images for the etched structures are illustrated for the 1D and 2D array. The widths of the bus waveguides and ring waveguides were 450 nm (to retain the single mode) and 600 nm (for a lower bend loss and single mode control), respectively. The original major axis of the elliptical microring was set to be 6 m (minor axis is 4.112 m). Compared with circular rings and racetrack resonators, the elliptical microring can enhance the coupling rate and reduce the mode mismatch due to its slowly bent coupling region between the waveguide and elliptical ring [19]. To achieve a cross power coupling rate of , the gap between the waveguide-to-ring was set to be 140 nm, and the gap between the rings was 80 nm to obtain .
Figure 5.
Optical images of the fabricated (a) arrays and (b) arrays.
Figure 6 shows the measurement results for the and configurations for the same coupling rate between the waveguide and ring. The transmission spectra for the through ports in the three free spectra ranges (FSRs) are illustrated by the red lines. The jitter in the transmission was mainly attributed to the grating coupler. The FSR of the two arrays was about 17 nm, which is consistent with the design. The through responses of the two arrays were similar, and both exhibited high contrast (nearly 50 dB). The coupling rate between the waveguide-to-ring is an important factor that directly determines the 3 dB bandwidth. The two arrays had the same coupling region, which corresponded to 0.1 power coupling. From the measurement results, the 1 dB bandwidth of the two arrays was nearly the same at the wavelength of 1568 nm, which was about 7.795 nm corresponding to 951 GHz. The bandwidth of the reported arrays was about 46% of the FSR. By adjusting the coupling factor and the ring radius, the filter bandwidth can be controlled to meet the specific bandwidth requirements for on-chip interconnect applications. The drop response is shown by the blue lines. The array shows a 25 dB sidelobe suppression, while for the arrays a 50 dB sidelobe suppression. The out-of-band rejection of the 2D array was as high as 50 dB. The out-of-band rejection was determined by the number of rings in the y direction. The shape factor (the ratio of the −1 and −20 dB bandwidths) was 0.57, indicating a fast rolling-off response. The insertion loss was ≤1.36 dB. Considering that the whole propagation length was about 2200 m, the corresponding propagation loss was less than ≤6 dB/cm. Table 1 shows the comparisons of the multiple rings filter, and our device had good performance in passband width and sidelobe suppression. There were ripples in the passband of the through port. This was mainly because we used grating couplers to couple the light input and output of the chip, and the vertical fiber tip was vulnerable to the disturbance of the surrounding environment. The spikes in the spectrum were mainly due to the fabrication error, which made the waveguide geometry deviate from the designed value. The geometry error changed the power coupling ratio between the waveguide-to-ring and the rings, which separate the Bragg gap from the resonator gap. Figure 7 shows the transmission with different power coupling coefficients. This directly induced the appearance of a narrow dip in the drop port. It showed little effect on the passband of the through port and generated ripples at the edge of the passband. In addition, the fabrication error also changed the perimeter of the rings. Different rings of high-order ring resonators in the y direction caused a coupling-induced frequency shift [28], which was also an important source of the narrow dip in passband of the drop port.
Figure 6.
Measured transmission spectra of the through ports and drop ports at different resonance wavelengths for the (a) arrays and the (b) arrays.
Table 1.
Comparison of the multiple rings filters.
Figure 7.
(a) Illustration of the 2D array. (b) Calculated transmission of the arrays with different power coupling coefficients . The blue line indicates the transmission of the drop port, and the red line is the transmission of the through port.
4. Conclusions
In conclusion, we theoretically and experimentally demonstrated a boxlike filter with an ultrawide 3 dB bandwidth using 2D elliptical microring arrays. A 50 dB sidelobe reduction was demonstrated for devices that had a 0.1 power coupling factor. The insertion loss was ≤1.36 dB, and the crosstalk was −46 dB. The filter had a flat bandwidth of 951 GHz with the shape factor of 0.57 for the arrays. The fabrication error and CIFS introduced spiky features in the drop response. This fabricated filter showed high agreement with the design, which has potential applications for an on-chip interconnect link.
Author Contributions
Data curation, H.G.; Funding acquisition, Z.L.; Methodology, X.H. and D.T.; Writing—original draft, H.G.; Writing—review and editing, H.G., D.T., X.H., Y.Y., H.Y., Z.Y. and Z.L. All authors have read and agreed to the published version of the manuscript.
Funding
This work was supported by the National Key Research and Development Plan of China (Grant No. 2018YFB2200202) and the National Natural Science Foundation of China (Grant No. 61804148).
Data Availability Statement
The data that support the findings of this study are available from the corresponding author upon reasonable request.
Conflicts of Interest
The authors declare no conflict of interest.
References
- Ren, Y.; Perron, D.; Aurangozeb, F.; Jiang, Z.; Hossain, M.; Van, V. Silicon Photonic Vernier Cascaded Microring Filter for Broadband Tunability. IEEE Photonics Technol. Lett. 2019, 31, 1503–1506. [Google Scholar] [CrossRef]
- Liu, D.; Zhang, C.; Liang, D.; Dai, D. Submicron-resonator-based add-drop optical filter with an ultra-large free spectral range. Opt. Express 2019, 27, 416–422. [Google Scholar] [CrossRef]
- Poulopoulos, G.; Giannoulis, G.; Iliadis, N.; Kalavrouziotis, D.; Apostolopoulos, D.; Avramopoulos, H. Flexible Filtering Element on SOI With Wide Bandwidth Tunability and Full FSR tuning. J. Light. Technol. 2019, 37, 300–306. [Google Scholar] [CrossRef]
- Zhang, Z.; Li, H.; Huang, B.; Zhang, Z.; Cheng, C.; Gao, T.; Yu, Y.; Li, Y.; Chen, H. Multi-channel silicon photonic receiver based on compact second-order microring resonators. Opt. Commun. 2019, 437, 168–173. [Google Scholar] [CrossRef]
- Yang, H.; Li, J.; Zheng, P.; Hu, G.; Yun, B.; Cui, Y. A Stopband and Passband Switchable Microwave Photonic Filter Based on Integrated Dual Ring Coupled Mach-Zehnder Interferometer. IEEE Photonics J. 2019, 11, 5502608. [Google Scholar] [CrossRef]
- Mistry, A.; Hammood, M.; Shoman, H.; Chrostowski, L.; Jaeger, N.A.F. Bandwidth-tunable, FSR-free, microring-based, SOI filter with integrated contra-directional couplers. Opt. Lett. 2018, 43, 6041–6044. [Google Scholar] [CrossRef]
- Ciminelli, C.; Dell’Olio, F.; Brunetti, G.; Conteduca, D.; Armenise, M.N. New microwave photonic filter based on a ring resonator including a photonic crystal structure. In Proceedings of the 2017 19th International Conference on Transparent Optical Networks (ICTON), Girona, Spain, 2–6 July 2017; pp. 1–4. [Google Scholar] [CrossRef]
- Ciminelli, C.; Innone, F.; Brunetti, G.; Conteduca, D.; Dell’Olio, F.; Tatoli, T.; Armenise, M.N. Rigorous model for the design of ultra-high Q-factor resonant cavities. In Proceedings of the 2016 18th International Conference on Transparent Optical Networks (ICTON), Trento, Italy, 10–14 July 2016; pp. 1–4. [Google Scholar] [CrossRef]
- Spencer, D.T.; Bauters, J.F.; Heck, M.J.R.; Bowers, J.E. Integrated waveguide coupled Si3N4 resonators in the ultrahigh-Q regime. Optica 2014, 1, 153–157. [Google Scholar] [CrossRef]
- Brunetti, G.; Dell’Olio, F.; Conteduca, D.; Armenise, M.N.; Ciminelli, C. Ultra-Compact Tuneable Notch Filter Using Silicon Photonic Crystal Ring Resonator. J. Light. Technol. 2019, 37, 2970–2980. [Google Scholar] [CrossRef]
- Kang, Y.M.; Arbabi, A.; Goddard, L.L. Engineering the spectral reflectance of microring resonators with integrated reflective elements. Opt. Express 2010, 18, 16813–16825. [Google Scholar] [CrossRef]
- Shen, L.; Lu, L.; Guo, Z.; Zhou, L.; Chen, J. Silicon optical filters reconfigured from a 16 × 16 Benes switch matrix. Opt. Express 2019, 27, 16945–16957. [Google Scholar] [CrossRef]
- Chew, S.X.; Yi, X.; Song, S.; Li, L.; Bian, P.; Nguyen, L.; Minasian, R.A. Silicon-on-Insulator Dual-Ring Notch Filter for Optical Sideband Suppression and Spectral Characterization. J. Light. Technol. 2016, 34, 4705–4714. [Google Scholar] [CrossRef]
- Grover, R.; Van, V.; Ibrahim, T.; Absil, P.; Calhoun, L.; Johnson, F.; Hryniewicz, J.; Ho, P. Parallel-cascaded semiconductor microring resonators for high-order and wide-FSR filters. J. Light. Technol. 2002, 20, 872–877. [Google Scholar] [CrossRef]
- Capmany, J.; Munoz, P.; Domenech, J.D.; Muriel, M.A. Apodized coupled resonator waveguides. Opt. Express 2007, 15, 10196–10206. [Google Scholar] [CrossRef] [PubMed]
- Brunetti, G.; Sasanelli, N.; Armenise, M.N.; Ciminelli, C. High performance and tunable optical pump-rejection filter for quantum photonic systems. Opt. Laser Technol. 2021, 139, 106978. [Google Scholar] [CrossRef]
- Capmany, J.; Domenech, D.; Muñoz, P. Silicon Graphene Reconfigurable CROWS and SCISSORS. IEEE Photonics J. 2015, 7, 2700609. [Google Scholar] [CrossRef]
- Dong, P.; Qian, W.; Liang, H.; Shafiiha, R.; Wang, X.; Feng, D.; Li, G.; Cunningham, J.E.; Krishnamoorthy, A.V.; Asghari, M. 1x4 reconfigurable demultiplexing filter based on free-standing silicon racetrack resonators. Opt. Express 2010, 18, 24504–24509. [Google Scholar] [CrossRef] [PubMed]
- Liu, L.; Guan, H.; Liu, Y.; Chang, L.; Kuang, Y.; Tan, M.; Yu, Y.; Li, Z. Compact and Broadband Optical Add-Drop De-Multiplexer With Cascaded Elliptical Micro-Rings on SOI. IEEE Photonics Technol. Lett. 2019, 31, 451–454. [Google Scholar] [CrossRef]
- Chak, P.; Sipe, J.E. Minimizing finite-size effects in artificial resonance tunneling structures. Opt. Lett. 2006, 31, 2568–2570. [Google Scholar] [CrossRef]
- Landobasa, Y.; Darmawan, S.; Chin, M. Matrix analysis of 2-D microresonator lattice optical filters. IEEE J. Quantum Electron. 2005, 41, 1410–1418. [Google Scholar] [CrossRef]
- Little, B.E.; Chu, S.T.; Hryniewicz, J.V.; Absil, P.P. Filter synthesis for periodically coupled microring resonators. Opt. Lett. 2000, 25, 344–346. [Google Scholar] [CrossRef]
- Liu, H.C.; Yariv, A. Synthesis of high-order bandpass filters based on coupled-resonator optical waveguides (CROWs). Opt. Express 2011, 19, 17653–17668. [Google Scholar] [CrossRef] [PubMed]
- Chremmos, I.; Uzunoglu, N. Modes of the infinite square lattice of coupled microring resonators. J. Opt. Soc. Am. A-Opt. Image Sci. Vis. 2008, 25, 3043–3050. [Google Scholar] [CrossRef] [PubMed]
- Radjenovic, B.; Radmilovic-Radjenovic, M.; Belicev, P. Eigenmodes of finite length silicon-on-insulator microring resonator arrays. Opt. Quantum Electron. 2017, 49, 149. [Google Scholar] [CrossRef]
- Tobing, L.Y.M.; Dumon, P.; Baets, R.; Chin, M.K. Boxlike filter response based on complementary photonic bandgaps in two-dimensional microresonator arrays. Opt. Lett. 2008, 33, 2512–2514. [Google Scholar] [CrossRef]
- Guan, H.; Li, Z.Y.; Shen, H.H.; Wang, R.; Yu, Y.D. A Highly Compact Third-Order Silicon Elliptical Micro-Ring Add-Drop Filter with a Large Free Spectral Range. Chin. Phys. Lett. 2017, 34, 034210. [Google Scholar] [CrossRef]
- Popović, M.A.; Manolatou, C.; Watts, M.R. Coupling-induced resonance frequency shifts in coupled dielectric multi-cavity filters. Opt. Express 2006, 14, 1208–1222. [Google Scholar] [CrossRef]
Publisher’s Note: MDPI stays neutral with regard to jurisdictional claims in published maps and institutional affiliations. |
© 2022 by the authors. Licensee MDPI, Basel, Switzerland. This article is an open access article distributed under the terms and conditions of the Creative Commons Attribution (CC BY) license (https://creativecommons.org/licenses/by/4.0/).






