High Harmonic Generation Driven by Counter-Rotating Bicircular Laser Fields from Polar Chemical Bonds in h-BN
Abstract
1. Introduction
2. Methods
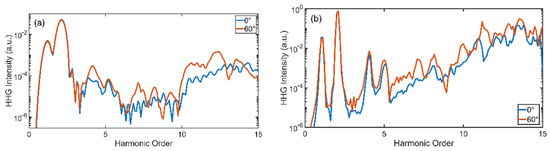
3. Results and Discussion
4. Conclusions
Author Contributions
Funding
Institutional Review Board Statement
Informed Consent Statement
Data Availability Statement
Conflicts of Interest
References
- Hentschel, M.; Kienberger, R.; Spielmann, C.; A Reider, G.; Milosevic, N.; Brabec, T.; Corkum, P.; Heinzmann, U.; Drescher, M.; Krausz, F. Attosecond metrology. Nature 2001, 414, 509–513. [Google Scholar] [CrossRef] [PubMed]
- Fan, T.; Grychtol, P.; Knut, R.; Hernández-García, C.; Hickstein, D.D.; Zusin, D.; Gentry, C.; Dollar, F.J.; Mancuso, C.A.; Hogle, C.W.; et al. Bright circularly polarized soft X-ray high harmonics for X-ray magnetic circular dichroism. Proc. Natl. Acad. Sci. USA 2015, 112, 14206–14211. [Google Scholar] [CrossRef]
- Ferré, A.; Handschin, C.; Dumergue, M.; Burgy, F.; Comby, A.; Descamps, D.; Fabre, B.; Garcia, G.; Géneaux, R.; Merceron, L.; et al. A table-top ultrashort light source in the extreme ultraviolet for circular dichroism experiments. Nat. Photonics 2015, 9, 93–98. [Google Scholar] [CrossRef]
- Kfir, O.; Grychtol, P.; Turgut, E.; Knut, R.; Zusin, D.; Popmintchev, D.; Popmintchev, T.; Nembach, H.T.; Shaw, J.M.; Fleischer, A.; et al. Generation of bright phase-matched circularly-polarized extreme ultraviolet high harmonics. Nat. Photonics 2015, 9, 99–105. [Google Scholar] [CrossRef]
- Heinrich, T.; Taucer, M.; Kfir, O.; Corkum, P.B.; Staudte, A.; Ropers, C.; Sivis, M. Chiral high-harmonic generation and spectroscopy on solid surfaces using polarization-tailored strong fields. Nat. Commun. 2021, 12, 1–7. [Google Scholar] [CrossRef] [PubMed]
- Fleischer, A.; Kfir, O.; Diskin, T.; Sidorenko, P.; Cohen, O. Spin angular momentum and tunable polarization in high-harmonic generation. Nat. Photonics 2014, 8, 543–549. [Google Scholar] [CrossRef]
- Hernández-García, C.; Jaron-Becker, A.; Hickstein, D.D.; Becker, A.; Durfee, C.G. High-order-harmonic generation driven by pulses with angular spatial chirp. Phys. Rev. A 2016, 93, 023825. [Google Scholar] [CrossRef]
- Yuan, K.J.; Bandrauk, A.D. Single circularly polarized attosecond pulse generation by intense few cycle elliptically polarized laser pulses and terahertz fields from molecular media. Phys. Rev. Lett. 2013, 110, 023003. [Google Scholar] [CrossRef] [PubMed]
- Saito, N.; Xia, P.; Lu, F.; Kanai, T.; Itatani, J.; Ishii, N. Observation of selection rules for circularly polarized fields in high-harmonic generation from a crystalline solid. Optica 2017, 4, 1333–1336. [Google Scholar] [CrossRef]
- He, Y.L.; Guo, J.; Gao, F.Y.; Liu, X.S. Dynamical symmetry and valley-selective circularly polarized high-harmonic generation in monolayer molybdenum disulfide. Phys. Rev. B 2022, 105, 024305. [Google Scholar] [CrossRef]
- Mrudul, M.S.; Jiménez-Galán, Á.; Ivanov, M.; Dixit, G. Light-induced valleytronics in pristine graphene. Optica 2021, 8, 422–427. [Google Scholar] [CrossRef]
- Kong, X.S.; Liang, H.; Wu, X.Y.; Peng, L.Y. Symmetry analyses of high-order harmonic generation in monolayer hexagonal boron nitride. J. Phys. B At. Mol. Opt. Phys. 2021, 54, 124004. [Google Scholar] [CrossRef]
- Liu, H.; Li, Y.; You, Y.S.; Ghimire, S.; Heinz, T.F.; Reis, D.A. High-harmonic generation from an atomically thin semiconductor. Nat. Phys. 2017, 13, 262–265. [Google Scholar] [CrossRef]
- Yoshikawa, N.; Tamaya, T.; Tanaka, K. High-harmonic generation in graphene enhanced by elliptically polarized light excitation. Science 2017, 356, 736–738. [Google Scholar] [CrossRef]
- Taucer, M.; Hammond, T.J.; Corkum, P.B.; Vampa, G.; Couture, C.; Thiré, N.; Schmidt, B.E.; Légaré, F.; Selvi, H.; Unsuree, N.; et al. Nonperturbative harmonic generation in graphene from intense midinfrared pulsed light. Phys. Rev. B 2017, 96, 195420. [Google Scholar] [CrossRef]
- Chen, Z.Y.; Qin, R. Circularly polarized extreme ultraviolet high harmonic generation in graphene. Opt. Express 2019, 27, 3761–3770. [Google Scholar] [CrossRef] [PubMed]
- Zurrón-Cifuentes, Ó.; Boyero-García, R.; Hernández-García, C.; Picón, A.; Plaja, L. Optical anisotropy of non-perturbative high-order harmonic generation in gapless graphene. Opt. Express 2019, 27, 7776–7786. [Google Scholar] [CrossRef] [PubMed]
- Cao, J.; Li, F.; Bai, Y.; Liu, P.; Li, R. Inter-half-cycle spectral interference in high-order harmonic generation from monolayer MoS2. Opt. Express 2021, 29, 4830–4841. [Google Scholar] [CrossRef] [PubMed]
- Wang, Z.; Jiang, S.; Yuan, G.; Wu, T.; Li, C.; Qian, C.; Jin, C.; Yu, C.; Hua, W.; Lu, R. Strain effect on the orientation-dependent harmonic spectrum of monolayer aluminum nitride. Sci. China Phys. Mech. Astron. 2020, 63, 1–7. [Google Scholar] [CrossRef]
- Tancogne-Dejean, N.; Rubio, A. Atomic-like high-harmonic generation from two-dimensional materials. Sci. Adv. 2018, 4, eaao5207. [Google Scholar] [CrossRef]
- Le Breton, G.; Rubio, A.; Tancogne-Dejean, N. High-harmonic generation from few-layer hexagonal boron nitride: Evolution from monolayer to bulk response. Phys. Rev. B 2018, 98, 165308. [Google Scholar] [CrossRef]
- Yu, C.; Jiang, S.; Wu, T.; Yuan, G.; Wang, Z.; Jin, C.; Lu, R. Two-dimensional imaging of energy bands from crystal orientation dependent higher-order harmonic spectra in h-BN. Phys. Rev. B 2018, 98, 085439. [Google Scholar] [CrossRef]
- Watanabe, K.; Taniguchi, T.; Kanda, H. Direct-bandgap properties and evidence for ultraviolet lasing of hexagonal boron nitride single crystal. Nat. Mater. 2004, 3, 404–409. [Google Scholar] [CrossRef] [PubMed]
- Han, S.; Ortmann, L.; Kim, H.; Kim, Y.W.; Oka, T.; Chacon, A.; Doran, B.; Ciappina, M.; Lewenstein, M.; Kim, S.-W.; et al. Extraction of higher-order nonlinear electronic response in solids using high harmonic generation. Nat. Commun. 2019, 10, 1–6. [Google Scholar]
- Ghimire, S.; Reis, D.A. High-harmonic generation from solids. Nat. Phys. 2019, 15, 10–16. [Google Scholar] [CrossRef]
- Vampa, G.; Hammond, T.J.; Thiré, N.; Schmidt, B.E.; Légaré, F.; McDonald, C.R.; Brabec, T.; Corkum, P.B. Linking high harmonics from gases and solids. Nature 2015, 522, 462–464. [Google Scholar] [CrossRef]
- Ndabashimiye, G.; Ghimire, S.; Wu, M.; Browne, D.A.; Schafer, K.J.; Gaarde, M.B.; Reis, D.A. Solid-state harmonics beyond the atomic limit. Nature 2016, 534, 520–523. [Google Scholar] [CrossRef]
- Higuchi, T.; Heide, C.; Ullmann, K.; Weber, H.B.; Hommelhoff, P. Light-field-driven currents in graphene. Nature 2017, 550, 224–228. [Google Scholar] [CrossRef]
- Luu, T.T.; Garg, M.; Kruchinin, S.Y.; Moulet, A.; Hassan, M.T.; Goulielmakis, E. Extreme ultraviolet high-harmonic spectroscopy of solids. Nature 2015, 521, 498–502. [Google Scholar] [CrossRef]
- Langer, F.; Hohenleutner, M.; Huttner, U.; Koch, S.W.; Kira, M.; Huber, R. Symmetry-controlled temporal structure of high-harmonic carrier fields from a bulk crystal. Nat. Photonics 2017, 11, 227–231. [Google Scholar] [CrossRef]
- Hafez, H.A.; Kovalev, S.; Deinert, J.-C.; Mics, Z.; Green, B.; Awari, N.; Chen, M.; Germanskiy, S.; Lehnert, U.; Teichert, J.; et al. Extremely efficient terahertz high-harmonic generation in graphene by hot Dirac fermions. Nature 2018, 561, 507–511. [Google Scholar] [CrossRef]
- Hohenleutner, M.U.; Langer, F.; Schubert, O.; Knorr, M.; Huttner, U.; Koch, S.W.; Kira, M.; Huber, R. Real-time observation of interfering crystal electrons in high-harmonic generation. Nature 2015, 523, 572–575. [Google Scholar] [CrossRef] [PubMed]
- Lucchini, M.; Sato, S.A.; Ludwig, A.; Herrmann, J.; Volkov, M.; Kasmi, L.; Shinohara, Y.; Yabana, K.; Gallmann, L.; Keller, U. Attosecond dynamical Franz-Keldysh effect in polycrystalline diamond. Science 2016, 353, 916–919. [Google Scholar] [CrossRef]
- Mashiko, H.; Oguri, K.; Yamaguchi, T.; Suda, A.; Gotoh, H. Petahertz optical drive with wide-bandgap semiconductor. Nat. Phys. 2016, 12, 741–745. [Google Scholar] [CrossRef]
- Volkov, M.; Sato, S.A.; Schlaepfer, F.; Kasmi, L.; Hartmann, N.; Lucchini, M.; Gallmann, L.; Rubio, A.; Keller, U. Attosecond screening dynamics mediated by electron localization in transition metals. Nat. Phys. 2019, 15, 1145–1149. [Google Scholar] [CrossRef]
- Vampa, G.; Hammond, T.J.; Thiré, N.; Schmidt, B.E.; Légaré, F.; McDonald, C.R.; Brabec, T.; Klug, D.D.; Corkum, P.B. All-optical reconstruction of crystal band structure. Phys. Rev. Lett. 2015, 115, 193603. [Google Scholar] [CrossRef]
- Lanin, A.A.; Stepanov, E.A.; Fedotov, A.B.; Zheltikov, A.M. Mapping the electron band structure by intraband high-harmonic generation in solids. Optica 2017, 4, 516–519. [Google Scholar] [CrossRef]
- Lakhotia, H.; Kim, H.Y.; Zhan, M.; Hu, S.; Meng, S.; Goulielmakis, E. Laser picoscopy of valence electrons in solids. Nature 2020, 583, 55–59. [Google Scholar] [CrossRef] [PubMed]
- Pease, R.S. An X-ray study of boron nitride. Acta Crystallogr. 1952, 5, 356–361. [Google Scholar] [CrossRef]
- De Giovannini, U.; Larsen, A.H.; Rubio, A. Modeling electron dynamics coupled to continuum states in finite volumes with absorbing boundaries. Eur. Phys. J. B 2015, 88, 1–12. [Google Scholar] [CrossRef]
- Hartwigsen, C.; Gœdecker, S.; Hutter, J. Relativistic separable dual-space Gaussian pseudopotentials from H to Rn. Phys. Rev. B 1998, 58, 3641. [Google Scholar] [CrossRef]
- Waroquiers, D.; Lherbier, A.; Miglio, A.; Stankovski, M.; Poncé, S.; Oliveira, M.J.T.; Giantomassi, M.; Rignanese, G.-M.; Gonze, X. Band widths and gaps from the Tran-Blaha functional: Comparison with many-body perturbation theory. Phys. Rev. B 2013, 87, 075121. [Google Scholar] [CrossRef]
- Tancogne-Dejean, N.; Mücke, O.D.; Kärtner, F.X.; Rubio, A. Impact of the electronic band structure in high-harmonic generation spectra of solids. Phys. Rev. Lett. 2017, 118, 087403. [Google Scholar] [CrossRef] [PubMed]
- Morimoto, Y.; Shinohara, Y.; Tani, M.; Chen, B.H.; Ishikawa, K.L.; Baum, P. Asymmetric single-cycle control of valence electron motion in polar chemical bonds. Optica 2021, 8, 382–387. [Google Scholar] [CrossRef]
- Neufeld, O.; Podolsky, D.; Cohen, O. Floquet group theory and its application to selection rules in harmonic generation. Nat. Commun. 2019, 10, 1–9. [Google Scholar] [CrossRef]
- Marques, M.A.; Maitra, N.T.; Nogueira, F.M.; Gross, E.K.; Rubio, A. (Eds.) Fundamentals of Time-Dependent Density Functional theory; Springer: Berlin/Heidelberg, Germany, 2012; Volume 837, p. 130. [Google Scholar]








Publisher’s Note: MDPI stays neutral with regard to jurisdictional claims in published maps and institutional affiliations. |
© 2022 by the authors. Licensee MDPI, Basel, Switzerland. This article is an open access article distributed under the terms and conditions of the Creative Commons Attribution (CC BY) license (https://creativecommons.org/licenses/by/4.0/).
Share and Cite
Lu, H.; Li, F. High Harmonic Generation Driven by Counter-Rotating Bicircular Laser Fields from Polar Chemical Bonds in h-BN. Photonics 2022, 9, 731. https://doi.org/10.3390/photonics9100731
Lu H, Li F. High Harmonic Generation Driven by Counter-Rotating Bicircular Laser Fields from Polar Chemical Bonds in h-BN. Photonics. 2022; 9(10):731. https://doi.org/10.3390/photonics9100731
Chicago/Turabian StyleLu, Haocheng, and Fangshu Li. 2022. "High Harmonic Generation Driven by Counter-Rotating Bicircular Laser Fields from Polar Chemical Bonds in h-BN" Photonics 9, no. 10: 731. https://doi.org/10.3390/photonics9100731
APA StyleLu, H., & Li, F. (2022). High Harmonic Generation Driven by Counter-Rotating Bicircular Laser Fields from Polar Chemical Bonds in h-BN. Photonics, 9(10), 731. https://doi.org/10.3390/photonics9100731
