Organic Diode Laser Dynamics: Rate-Equation Model, Reabsorption, Validation and Threshold Predictions
Abstract
:1. Introduction
2. Characterization of a Laser OLED
3. Rate-Equation Model for the ODL
3.1. Brief Discussion of Equations (1)–(8)
3.1.1. The Polaron Recombination
3.1.2. Host Singlet Excitons
3.1.3. Host Triplet Excitons
3.1.4. Dopant Singlet Excitons
3.1.5. Dopant Triplet Excitons
3.1.6. Photons and Linewidth
3.1.7. Cavity Quality Factor
3.1.8. (Re)Absorption Factor W
4. Simulations
4.1. Below Laser Threshold
4.2. Validation of the Model for an OLED
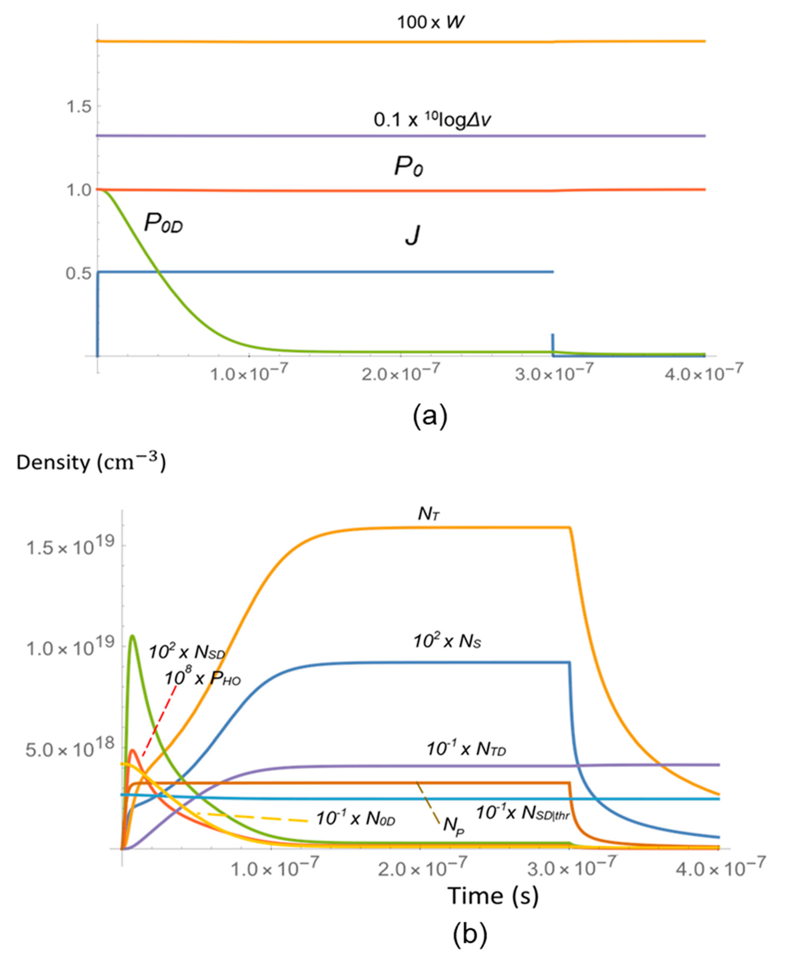
4.3. Laser Predictions
5. Discussion
Author Contributions
Funding
Institutional Review Board Statement
Informed Consent Statement
Data Availability Statement
Acknowledgments
Conflicts of Interest
Appendix A
References
- Yang, Y.; Turnbull, G.A.; Samuel, D.W. Sensitive Explosive Vapor Detection with Polyfluorene Lasers. Adv. Funct. Mater. 2010, 20, 2093–2097. [Google Scholar] [CrossRef]
- Yoshida, K.; Manousiadis, P.P.; Bian, R.; Chen, Z.; Murawski, C.; Gather, M.C.; Haas, H.; Turnbull, G.A.; Samuel, I.D.W. 245 MHz bandwidth organic light-emitting diodes used in a gigabit optical wireless data link. Nat. Commun. 2020, 11, 1–7. [Google Scholar] [CrossRef] [PubMed] [Green Version]
- Chiang, C.K.; Fincher, C.R., Jr.; Park, Y.W.; Heeger, A.J.; Shirakawa, H.; Louis, E.J.; Gau, S.C.; MacDiarmid, A.G. Electrical Conductivity in Doped Polyacetylene. Phys. Rev. Lett. 1977, 39, 1098. [Google Scholar] [CrossRef]
- Fitzner, R.; Mena-Osteritz, E.; Mishra, A.; Schulz, G.; Reinold, E.; Weil, M.; Körner, C.; Ziehlke, H.; Elschner, C.; Leo, K.; et al. Correlation of π-Conjugated Oligomer Structure with Film Morphology and Organic Solar Cell Performance. J. Am. Chem. Soc. 2012, 134, 11064–11067. [Google Scholar] [CrossRef] [PubMed]
- Lee, K.-H.; Leem, D.-S.; Sul, S.; Park, K.-B.; Lim, S.-J.; Han, H.; Kim, K.-S.; Jin, Y.W.; Lee, S.; Park, S.Y. A high-performance green-sensitive organic photodiode comprising a bulk heterojunction of dimethyl-quinacridone and dicyanovinyl terthiophene. J. Mater. Chem. C 2013, 1, 2666. [Google Scholar] [CrossRef]
- Wang, C.; Dong, H.; Hu, W.; Liu, Y.; Zhu, D. Semiconducting π-Conjugated Systems in Field-Effect Transistors: A Material Odyssey of Organic Electronics. Chem. Rev. 2011, 112, 2208. [Google Scholar] [CrossRef]
- Han, T.-H.; Lee, Y.; Choi, M.-R.; Woo, S.; Bae, S.-H.; Hong, B.H.; Ahn, J.-H.; Lee, T.-W. Extremely efficient flexible organic light-emitting diodes with modified graphene anode. Nat. Photon 2012, 6, 105–110. [Google Scholar] [CrossRef]
- Herrnsdorf, J.; Guilhabert, B.; Chen, Y.; Kanibolotsky, A.L.; Mackintosh, A.R.; Pethrick, R.A.; Skabara, P.J.; Gu, E.; Laurand, N.; Dawson, M.D. Flexible blue-emitting encapsulated organic semiconductor DFB laser. Opt. Express 2010, 18, 25535–25545. [Google Scholar] [CrossRef]
- Torricelli, F.; Colalongo, L. Unified Mobility Model for Disordered Organic Semiconductors. IEEE Electron. Device Lett. 2009, 30, 1048–1050. [Google Scholar] [CrossRef] [Green Version]
- Murgatroyd, P.N. Theory of space-charge-limited current enhanced by Frenkel effect. J. Phys. D Appl. Phys. 1970, 3, 151–156. [Google Scholar] [CrossRef]
- Ohtsubo, J. Semiconductor Lasers, Stability, Instability and Chaos; Springer: Berlin, Germany, 2017. [Google Scholar] [CrossRef]
- Segura, J.L. The chemistry of electroluminescent organic materials. Acta Polym. 1998, 49, 319–344. [Google Scholar] [CrossRef]
- Chenais, S.; Forget, S. Recent Advances in Solid-State Organic Lasers. Polym. Int. 2011, 61, 390–406. [Google Scholar] [CrossRef] [Green Version]
- Gozhyk, I. Polarization and Gain Phenomena in Dye-Doped Polymermicro-Lasers. Ph.D. Thesis, Laboratoire de Photonique Quantique et Moléculaire, Cachan, France, 2012. [Google Scholar]
- Senevirathne, C.A.M.; Sandanayaka, A.S.D.; Karunathilaka, B.S.B.; Fujihara, T.; Bencheikh, F.; Qin, C.; Goushi, K.; Matsushima, T.; Adachi, C. Markedly Improved Performance of Optically Pumped Organic Lasers with Two-Dimensional Distributed-Feedback Gratings. ACS Photonics Artic. ASAP 2021. [Google Scholar] [CrossRef]
- Ouirimi, A.; Chamberlain Chime, A.; Loganathan, N.; Chakaroun, M.; Fischer, A.P.A.; Lenstra, D. Threshold estimation of an Organic Laser Diode using a rate-equation model validated experimentally with a microcavity OLED submitted to nanosecond electrical pulses. Org. Electron. 2021, 97, 106190. [Google Scholar] [CrossRef]
- Gärtner, C. Organic Laser Diodes: Modelling and Simulation. Ph.D. Thesis, Universität Karlsruhe, Karlsruhe, Germany, 2008. [Google Scholar]
- Chua, S.-L.; Zhen, B.; Lee, J.; Bravo-Abad, J.; Shapira, O.; Soljačić, M. Modeling of threshold and dynamics behavior of organic nanostructured lasers. J. Mater. Chem. C 2014, 2, 1463–1473. [Google Scholar] [CrossRef]
- Shoustikov, A.A.; You, Y.; Thompson, M.E. Electroluminescence color tuning by dye doping in organic light-emitting diodes. IEEE J. Select. Top. Quantum Electron. 1998, 4, 3–13. [Google Scholar] [CrossRef]
- Gärtner, C.; Karnutsch, C.; Pflumm, C.; Lemmer, U. Numerical Device Simulation of Double-Heterostructure Organic Laser Diodes Including Current-Induced Absorption Processes. IEEE J. Quantum Electron. 2007, 43, 1006–1017. [Google Scholar] [CrossRef]
- Juhasz, P.; Nevrela, J.; Micjan, M.; Novota, M.; Uhrik, J.; Stuchlikova, L.; Jakabovic, J.; Harmatha, L.; Weis, M. Charge injection and transport properties of an organic light-emitting diode. Beilstein J. Nanotechnol. 2016, 7, 47–52. [Google Scholar] [CrossRef] [Green Version]
- Tsutsumi, N.; Hinode, T. Tunable organic distributed feedback dye laser device excited through Förster mechanism. Appl. Phys. B 2017, 123, 93. [Google Scholar] [CrossRef]
- Kozlov, V.G.; Bulovic, V.; Burrows, P.E.; Baldo, M.; Khalfin, V.B.; Parthasaraty, G.; Forrest, S.R.; You, Y.; Thompson, E. Study of lasing action based on Förster energy transfer in optically pumped organic semiconductor thin films. J. Appl. Phys. 2014, 84, 14. [Google Scholar] [CrossRef]
- Kasemann, D.; Brückner, R.; Fröb, H.; Leo, K. Organic light emitting diodes under high currents explored by transient electroluminescence on the nanosecond scale. Phys. Rev. B 2011, 84, 115208. [Google Scholar] [CrossRef]
- Mori, T.; Obata, K.; Miyachi, K.; Mizutani, T.; Kawakami, Y. Fluorescence Lifetime of Organic Thin Films Alternately Deposited with Diamine Derivative and Aluminum Quinoline. Jpn. J. Appl. Phys. 1997, 36, 7239. [Google Scholar] [CrossRef]
- Lehnhardt, M.; Riedl, T.; Rabe, T.; Kowalsky, W. Room temperature lifetime of triplet excitons in fluorescent host/guest systems. Org. Electron. 2011, 12, 486–491. [Google Scholar] [CrossRef]
- Zhang, S.; Song, J.; Kreouzis, T.; Gillin, W.P. Measurement of the intersystem crossing rate in aluminum tris(8-hydroxyquinoline) and its modulation by an applied magnetic field. J. Appl. Phys. 2009, 106, 043511. [Google Scholar] [CrossRef] [Green Version]
- Giebink, N.C.; Forrest, S.R. Temporal response of optically pumped organic semiconductor lasers and its implication for reaching threshold under electrical excitation. Phys. Rev. B 2009, 79, 073302. [Google Scholar] [CrossRef]
- Gispert, J.R. Coordination Chemistry; Wiley-VCH: Hoboken, NJ, USA, 2008; p. 483. ISBN 3-527-31802-X. [Google Scholar] [CrossRef]
- Zeng, L.; Chamberlain Chime, A.; Chakaroun, M.; Bensmida, S.; Nkwawo, H.; Boudrioua, A.; Fischer, A.P.A. Electrical and Optical Impulse Response of High-Speed Micro-OLEDs Under UltraShort Pulse Excitation. IEEE Trans. Electron. Devices 2017, 64, 2942–2948. [Google Scholar] [CrossRef] [Green Version]
- Coldren, L.A.; Corzine, S.; Mashanovitch, M. Diode Lasers and Photonic Integrated Circuits, 2nd ed.; Wiley: Hoboken, NJ, USA, 2012; p. 293. ISBN 978-0-470-48412-8. [Google Scholar]
- Olver, F.W.J.; Lozier, D.W.; Boisvert, R.F.; Clark, C.W. NIST Handbook of Mathematical Functions; Cambridge University Press: New York, NY, USA, 2010; Chapter 7.19; ISBN 978-0-521-19225-5. [Google Scholar]
- Sandanayaka, A.S.D.; Matsushima, T.; Bencheikh, F.; Terakawa, S.; Potscavage, W.J., Jr.; Qin, C.; Fujihara, T.; Goushi, K.; Ribierre, J.-C.; Adachi, C. Indication of current-injection lasing from an organic semiconductor. Appl. Phys. Express 2019, 12, 061010. [Google Scholar] [CrossRef] [Green Version]
- Erneux, T.; Glorieux, P. Laser Dynamics; Cambridge University Press: Cambridge, UK, 2010; ISBN 978-0-521-83040-9. [Google Scholar]







| Symbol | Name | Value | Ref. |
|---|---|---|---|
| S | OLED active area | 10−4 cm2 | |
| d | OLED active layer thickness | 30 nm | |
| γ | Langevin recombination rate | 6.2 × 10−12 cm3 s−1 to 2.0 ×10−9 cm3 s−1 | [20,21] |
| NMOL | Molecular density | 2.1 × 10 21 cm−3 | |
| C | Dopant concentration | 2% | |
| κFRET | Förster transfer rate | 1.15 × 1010 s−1 | [19,22,23] |
| κDEXT | Dexter transfer rate | 1.0 × 1010 s−1 to 5.0 × 1015 s−1 | |
| κS | Host singlet-exciton decay rate | 8.0 × 107 s−1 | [24,25] |
| κSD | Dopant singlet-exciton decay rate | 1.0 × 109 s−1 | [24] |
| κT | Host triplet decay rate | 6.5 × 102 s−1 to 4.0 × 104 s−1 | [24,26] |
| κTD | Dopant triplet decay rate | 6.6 × 102 s−1 | [26] |
| κISC | Host inter-system crossing rate | 2.2 × 104 s−1 to 1.0 × 107 s−1 | [17,27] |
| κISCD | Dopant inter-system crossing rate | 2.2 × 104 s−1 to 1.0 × 107 s−1 | [17,27] |
| κSS | Host singlet-singlet annihilation (SSA) rate | 3.5 × 10−12 cm3 s−1 | [24] |
| κSSD | Dopant singlet-singlet annihilation (SSA) rate | 9.6 × 10−13 cm3 s−1 | [24] |
| κSP | Host singlet-polaron annihilation (SPA) rate | 3.0 × 10−10 s−1 | [24] |
| κSPD | Dopant singlet-polaron annihilation (SPA) rate | 3.0 × 10−10 cm3 s−1 | [24] |
| κTP | Host triplet-polaron annihilation (TPA) rate | 2.8 × 10−13 cm3 s−1 | [24] |
| κTPD | Dopant triplet-polaron annihilation (TPA) rate | 5.6 × 10−13 cm3 s−1 | [27] |
| κST | Host singlet-triplet annihilation (STA) rate | 1.9 × 10−10 cm3 s−1 | [17,24] |
| κSTD | Dopant singlet-triplet annihilation (STA) rate | 1.9 × 10−10 cm3 s−1 | [28,29] |
| κTT | Host triplet-triplet annihilation (TTA) rate | 2.2 × 10−12 cm3 s−1 | [24] |
| κTTD | Dopant triplet-triplet annihilation (TTA) rate | 2.4 × 10−15 cm3 s−1 | [27] |
| Γ | Confinement factor | 0.29 | |
| Dopant stimulated emission gain coefficient | 1.4 × 10−5 cm3 s−1 | [17,20] | |
| Dopant absorption coefficient | 1.4 × 10−5 cm3 s−1 | ||
| κCAV | Cavity photon decay rate | 1–300 × 1012 s−1 | |
| βSP | Spontaneous emission factor | <0.15 |
| Symbol | Name | Value |
|---|---|---|
| S | OLED active area | 1.5 × 10−4 cm2 |
| γ | Langevin recombination rate | 5.6 × 10−10 cm3 s−1 |
| Dexter transfer rate | 2.0 × 108 s−1 | |
| Host singlet-exciton decay rate | 8.3 × 107 s−1 | |
| Host triplet decay rate | 6.5 × 102 s−1 | |
| Dopant inter-system crossing rate | 2.2 × 104 s−1 | |
| Host SPA rate | 1.0 × 10−11 s−1 | |
| Dopant SPA rate | 3.0 × 10−10 cm3 s−1 | |
| Dopant TPA rate | 9.0 × 10−11 cm3 s−1 | |
| Host STA rate | 2.5 × 10−10 cm3 s−1 | |
| Dopant STA rate | 3.7 × 10−10 cm3 s−1 | |
| Dopant TTA rate | 8.0 × 10−12 cm3 s−1 | |
| Γ | Confinement factor | 0.29 |
| Spontaneous emission factor | 1.3 × 10−3 |
Publisher’s Note: MDPI stays neutral with regard to jurisdictional claims in published maps and institutional affiliations. |
© 2021 by the authors. Licensee MDPI, Basel, Switzerland. This article is an open access article distributed under the terms and conditions of the Creative Commons Attribution (CC BY) license (https://creativecommons.org/licenses/by/4.0/).
Share and Cite
Lenstra, D.; Fischer, A.P.A.; Ouirimi, A.; Chime, A.C.; Loganathan, N.; Chakaroun, M. Organic Diode Laser Dynamics: Rate-Equation Model, Reabsorption, Validation and Threshold Predictions. Photonics 2021, 8, 279. https://doi.org/10.3390/photonics8070279
Lenstra D, Fischer APA, Ouirimi A, Chime AC, Loganathan N, Chakaroun M. Organic Diode Laser Dynamics: Rate-Equation Model, Reabsorption, Validation and Threshold Predictions. Photonics. 2021; 8(7):279. https://doi.org/10.3390/photonics8070279
Chicago/Turabian StyleLenstra, Daan, Alexis P.A. Fischer, Amani Ouirimi, Alex Chamberlain Chime, Nixson Loganathan, and Mahmoud Chakaroun. 2021. "Organic Diode Laser Dynamics: Rate-Equation Model, Reabsorption, Validation and Threshold Predictions" Photonics 8, no. 7: 279. https://doi.org/10.3390/photonics8070279
APA StyleLenstra, D., Fischer, A. P. A., Ouirimi, A., Chime, A. C., Loganathan, N., & Chakaroun, M. (2021). Organic Diode Laser Dynamics: Rate-Equation Model, Reabsorption, Validation and Threshold Predictions. Photonics, 8(7), 279. https://doi.org/10.3390/photonics8070279

