Phase Compensation Method in OPA System Based on the Linear Electro-Optic Effect
Abstract
1. Introduction
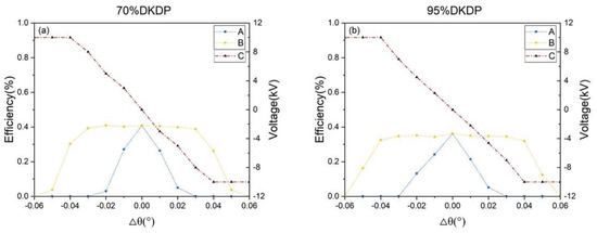
2. Phase Mismatch Compensation Simulation
3. Experimental Setup and Results
4. Discussion
5. Conclusions
Author Contributions
Funding
Informed Consent Statement
Data Availability Statement
Conflicts of Interest
References
- Ross, I.N.; Matousek, P.; Towrie, M.; Langley, A.J.; Collier, J.L. The prospects for ultrashort pulse duration and ultrahigh intensity using optical parametric chirped pulse amplifiers. Opt. Commun. 1997, 144, 125–133. [Google Scholar] [CrossRef]
- Bromage, J.; Bahk, S.W.; Begishev, I.A.; Dorrer, C.; Guardalben, M.J.; Hoffman, B.N.; Oliver, J.B.; Roides, R.G.; Schiesser, E.M.; Shoup, M.J., III; et al. Technology development for ultraintense all-opcpa systems. High Power Laser Sci. Eng. 2019, 7, e4. [Google Scholar] [CrossRef]
- Rimantas, B.; Tomas, S.; Jonas, A.; Aidas, A.; Gediminas, V.; Darius, G.; Stanislovas, B.; Andrejus, M.; Arūnas, V. 53 W average power CEP-stabilized OPCPA system delivering 5.5 TW few cycle pulses at 1 kHz repetition rate. Opt. Express 2017, 25, 5797–5806. [Google Scholar]
- Zhu, J.Q.; Xie, X.L.; Yang, Q.W.; Kang, J.; Zhu, H.D.; Guo, A.L.; Zhu, P.; Gao, Q.; Liu, Z.G.; Fan, Q.T.; et al. Introduction to SG-II 5 PW laser facility. In Proceedings of the 2016 Conference on Lasers and Electro-Optics (CLEO), San Jose, CA, USA, 5–10 June 2016; IEEE: Piscataway Township, NJ, USA, 2016. [Google Scholar]
- Galletti, M.; Oliveira, P.; Galimberti, M.; Ahmad, M.; Archipovaite, G.; Booth, N.; Dilworth, E.; Frackiewic, A.; Winstone, T.; Musgrave, I.; et al. Ultra-broadband all-OPCPA petawatt facility fully based on LBO. High Power Laser Sci. Eng. 2020, 8, E31. [Google Scholar] [CrossRef]
- Galletti, M.; Pires, H.; Hariton, V.; Alves, J.; Oliveira, P.; Galimberti, M.; Figueira, G. Ultra-broadband near-infrared NOPAs based on the nonlinear crystals BiBO and YCOB. High Power Laser Sci. Eng. 2020, 8, E29. [Google Scholar] [CrossRef]
- Yu, L.; Liang, X.; Xu, L.; Li, W.; Peng, C.; Hu, Z.; Wang, C.; Lu, X.; Chu, Y.; Gan, Z. Optimization for high-energy and high-efficiency broadband optical parametric chirped-pulse amplification in LBO near 800nm. Opt. Lett. 2015, 40, 3412. [Google Scholar] [CrossRef] [PubMed]
- Xu, L.; Yu, L.; Liang, X.; Chu, Y.; Xu, Z. High-energy noncollinear optical parametric-chirped pulse amplification in LBO at 800 nm. Opt. Lett. 2013, 38, 4837. [Google Scholar] [CrossRef] [PubMed]
- Christoph, S.; Izhar, A.; Sandro, K.; Christoph, W.; Sergei, A.T.; Zsuzsanna, M.; Ferenc, K.; Stefan, K. Broadband amplification by picosecond OPCPA in DKDP pumped at 515 nm. Opt. Express. 2012, 20, 4619–4629. [Google Scholar]
- Marco, G.; Cristina, H.G.; Ian, M.; Ian, R.; Trevor, W. Influence of deuteration level of KD*P crystal on multi-PW class OPCPA laser. Opt. Commun. 2013, 309, 80–84. [Google Scholar]
- Lozhkarev, V.V.; Freidman, G.I.; Ginzburg, V.N.; Katin, E.V.; Khazanov, E.A.; Kirsanov, A.V.; Luchinin, G.A.; Mal’shakov, A.N.; Martyanov, M.A.; Palashov, O.V.; et al. Compact 0.56 Petawatt laser system based on optical parametric chirped pulse amplification in KD*P crystals. Laser. Phys. Lett. 2007, 4, 421. [Google Scholar] [CrossRef]
- Cai, X.; Lin, X.; Li, G.; Lu, J.; Hu, Z.; Zheng, G. Rapid growth and properties of large-aperture 98%-deuterated DKDP crystals. High Power Laser Sci. Eng. 2019, 7, E46. [Google Scholar] [CrossRef]
- Liang, X.; Xie, X.L.; Zhang, C.; Kang, J.; Yang, Q.W.; Zhu, P.; Guo, A.L.; Zhu, H.D.; Yang, S.H.; Cui, Z.R.; et al. Broadband main OPCPA amplifier at 808 nm wavelength in high deuterated DKDP crystals. Opt. Lett. 2018, 43, 5713–5716. [Google Scholar] [CrossRef] [PubMed]
- Cui, Z.; Liu, D.; Sun, M.; Miao, J.; Zhu, J.Q. Compensation method for temperature-induced phase mismatch during frequency conversion in high-power laser systems. J. Opt. Soc. Am. B 2016, 33, 525–534. [Google Scholar] [CrossRef]
- Sun, Z.; Cui, Z.; Sun, M.; Yuan, Y.; Li, Q.; Liu, D.; Zhu, J. Electro-optic coefficient measurement of a K(H1−xDx)2PO4 crystal based on χ(2) nonlinear optical technology. Opt. Express 2021, 29, 2647–2657. [Google Scholar] [CrossRef] [PubMed]
- Yariv, A.; Yeh, P. Photonics: Optical Electronics in Modern Communications, 6th ed.; Oxford University: Oxford, UK, 2007. [Google Scholar]
- Nikogosyan, D.N. Nonlinear Optical Crystals: A Complete Survey; Springer: Berlin/Heidelberg, Germany, 2005. [Google Scholar]







Publisher’s Note: MDPI stays neutral with regard to jurisdictional claims in published maps and institutional affiliations. |
© 2021 by the authors. Licensee MDPI, Basel, Switzerland. This article is an open access article distributed under the terms and conditions of the Creative Commons Attribution (CC BY) license (https://creativecommons.org/licenses/by/4.0/).
Share and Cite
Yang, S.; Liu, D. Phase Compensation Method in OPA System Based on the Linear Electro-Optic Effect. Photonics 2021, 8, 126. https://doi.org/10.3390/photonics8040126
Yang S, Liu D. Phase Compensation Method in OPA System Based on the Linear Electro-Optic Effect. Photonics. 2021; 8(4):126. https://doi.org/10.3390/photonics8040126
Chicago/Turabian StyleYang, Shuaishuai, and Dean Liu. 2021. "Phase Compensation Method in OPA System Based on the Linear Electro-Optic Effect" Photonics 8, no. 4: 126. https://doi.org/10.3390/photonics8040126
APA StyleYang, S., & Liu, D. (2021). Phase Compensation Method in OPA System Based on the Linear Electro-Optic Effect. Photonics, 8(4), 126. https://doi.org/10.3390/photonics8040126

