Improving Low-Dispersion Bandwidth of the Silicon Photonic Crystal Waveguides for Ultrafast Integrated Photonics
Abstract
1. Introduction
2. Improving the Low-Dispersion Bandwidth by Adjusting the Lattice Positions and Radii
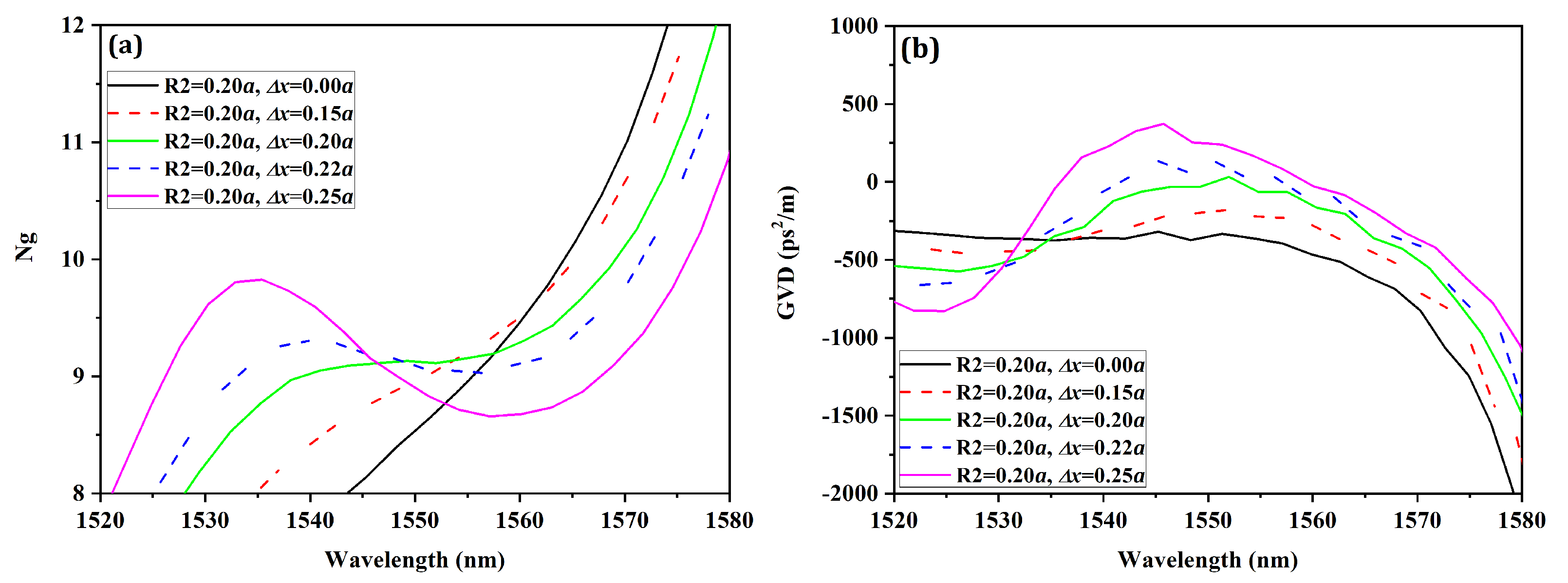
3. Results and Discussion
4. Conclusions
Author Contributions
Funding
Institutional Review Board Statement
Informed Consent Statement
Data Availability Statement
Conflicts of Interest
References
- Baba, T. Slow light in photonic crystals. Nat. Photonics 2008, 2, 465–473. [Google Scholar] [CrossRef]
- Jesper, M.; Yi, Y.; Thorsten, S.R.; Elizaveta, S.; Kresten, Y. Semiconductor Fano Lasers. IEEE J. Sel. Top. Quant. 2019, 25, 1–14. [Google Scholar]
- Sancho, J.; Bourderionnet, J.; Lloret, J.; Combrié, S.; Gasulla, I.; Xavier, S.; Sales, S.; Colman, P.; Lehoucq, G.; Dolfi, D.; et al. Integrable microwave filter based on a photonic crystal delay line. Nat. Commun. 2012, 3, 1075. [Google Scholar] [CrossRef] [PubMed]
- Nozaki, K.; Shinya, A.; Matsuo, S.; Suzaki, Y.; Segawa, T.; Sato, T.; Kawaguchi, Y.; Takahashi, R.; Notomi, M. Ultralow-power all-optical RAM based on nanocavities. Nat. Photonics 2012, 6, 248–252. [Google Scholar] [CrossRef]
- Gaafar, M.A.; Jalas, D.; Faolain, L.O.; Li, J.; Krauss, T.F.; Petrov, A.Y.; Eich, M. Reflection from a free carrier front via an intraband indirect photonic transition. Nat. Commun. 2018, 9, 1447. [Google Scholar] [CrossRef]
- Li, X.; Liao, J.; Nie, Y.; Marko, M.; Jia, H.; Liu, J.; Wang, X.; Wong, C.W. Unambiguous demonstration of soliton evolution in slow-light silicon photonic crystal waveguides with SFG-XFROG. Opt. Express 2015, 23, 10282. [Google Scholar] [CrossRef] [PubMed]
- Blanco-Redondo, A.; de Sterke, C.M.; Sipe, J.E.; Krauss, T.F.; Eggleton, B.J.; Husko, C. Pure-quartic solitons. Nat. Commun. 2016, 7, 10427. [Google Scholar] [CrossRef]
- Colman, P.; Husko, C.; Combri, S.; Sagnes, I.; Wong, C.W.; Rossi, A.D. Temporal solitons and pulse compression in photonic crystal waveguides. Nat. Photonics 2010, 4, 862–868. [Google Scholar] [CrossRef]
- Kondo, K.; Shinkawa, M.; Hamachi, Y.; Saito, Y.; Arita, Y.; Baba, T. Ultrafast slow-light tuning beyond the carrier lifetime using photonic crystal waveguides. Phys. Rev. Lett. 2013, 110, 53902. [Google Scholar] [CrossRef] [PubMed]
- Kondo, K.; Baba, T. Slow-light-induced Doppler shift in photonic-crystal waveguides. Phys. Rev. A 2016, 93, 11802. [Google Scholar] [CrossRef]
- Kondo, K.; Baba, T. On-chip autocorrelator using counter-propagating slow light in a photonic crystal with two-photon absorption photodiodes. Optica 2017, 4, 1109–1112. [Google Scholar] [CrossRef]
- Konoike, R.; Nakagawa, H.; Nakadai, M.; Asano, T.; Tanaka, Y.; Noda, S. On-demand transfer of trapped photons on a chip. Sci. Adv. 2016, 2, 1109–1112. [Google Scholar] [CrossRef]
- Colman, P.; Combrié, S.; Lehoucq, G.; De, R.A. Control of dispersion in photonic crystal waveguides using group symmetry theory. Opt. Express 2012, 20, 13108–13114. [Google Scholar] [CrossRef][Green Version]
- Notomi, M.; Yamada, K.; Shinya, A.; Takahashi, J.; Takahashi, C.; Yokohama, I. Extremely large group-velocity dispersion of line-defect waveguides in photonic crystal slabs. Phys. Rev. Lett. 2001, 87, 253902. [Google Scholar] [CrossRef]
- Frandsen, L.H.; Lavrinenko, A.V.; Jacob, F.P.; Borel, P.I. Photonic crystal waveguides with semi-slow light and tailored dispersion properties. Opt. Express 2006, 14, 9444–9450. [Google Scholar] [CrossRef]
- Kubo, S.; Mori, D.; Baba, T. Low-group-velocity and low-dispersion slow light in photonic crystal waveguides. Opt. Lett. 2007, 32, 2981–2983. [Google Scholar] [CrossRef] [PubMed]
- Mori, D.; Baba, T. Wideband and low dispersion slow light by chirped photonic crystal coupled waveguide. Opt. Express 2005, 13, 9398–9408. [Google Scholar] [CrossRef]
- Han, X.; Wang, T.; Tang, J.; Liu, B.; Wang, B.; He, Y.; Zhu, Y. Slow light with large group index bandwidth product in ellipse-hole photonic crystal waveguides. Appl. Opt. 2015, 54, 1543–1547. [Google Scholar] [CrossRef] [PubMed]
- Vercruysse, D.; Sapra, N.V.; Su, L.; Jelena, V. Dispersion Engineering With Photonic Inverse Design. IEEE J. Sel. Top. Quant. 2020, 26, 1–6. [Google Scholar] [CrossRef]
- Wu, H.; Han, S.; Li, F.; Yang, Z. Slow light with high normalized delay–bandwidth product in organic photonic crystal coupled-cavity waveguide. Appl. Opt. 2020, 59, 642–647. [Google Scholar] [CrossRef] [PubMed]
- Mann, N.; Combrie, S.; Colman, P.; Patterson, M.; Rossi, A.D.; Hughes, S. Reducing disorder-induced losses for slow light photonic crystal waveguides through Bloch mode engineering. Opt. Lett. 2013, 38, 4244–4247. [Google Scholar] [CrossRef][Green Version]
- Zhou, H.; Huang, S.; Li, X.; McMillan, J.F.; Zhang, C.; Wong, K.K.; Yu, M.; Lo, G.; Kwong, D.; Qiu, K.; et al. Real-time dynamics and cross-correlation gating spectroscopy of free-carrier Drude slow-light solitons. Light. Sci. Appl. 2017, 6, e17008. [Google Scholar] [CrossRef] [PubMed]
- Agrawal, G.P. Nonlinear Fiber Optics, 6th ed.; Academic Press: Cambridge, MA, USA, 2019. [Google Scholar]
- Hu, S.; Khater, M.; Salas-Montiel, R.; Kratschmer, E.; Engelmann, S.; Green, W.M.J.; Weiss, S.M. Experimental realization of deep-subwavelength confinement in dielectric optical resonators. Sci. Adv. 2018, 4, t2355. [Google Scholar] [CrossRef] [PubMed]
- Johnson, S.G.; Joannopoulos, J.D. Block-iterative frequency-domain methods for Maxwell’s equations in a planewave basis. Opt. Express 2001, 8, 173–190. [Google Scholar] [CrossRef]
- Manual-MPB Documentation. Available online: https://mpb.readthedocs.io/en/latest/ (accessed on 31 March 2021).
- Yohei, H.; Shousaku, K.; Toshihiko, B. Slow light with low dispersion and nonlinear enhancement in a lattice-shifted photonic crystal waveguide. Opt. Lett. 2009, 34, 1072–1074. [Google Scholar]
- Joannopoulos, J.D.; Johnson, S.G.; Winn, J.N.; Meade, R.D. Photonic Crystals: Molding the Flow of Light, 2nd ed.; Princeton University Press: Princeton, NJ, USA, 2008. [Google Scholar]
- Serna, S.; Colman, P.; Zhang, W.; Roux, X.L.; Caer, C.; Vivien, L.; Cassan, E. Experimental GVD engineering in slow light slot photonic crystal waveguides. Sci. Rep. 2016, 6, 26956. [Google Scholar] [CrossRef] [PubMed]
- Fu, M.; Liao, J.; Shao, Z.; Marko, M.; Zhang, Y.; Wang, X.; Li, X. Finely engineered slow light photonic crystal waveguides for efficient wideband wavelength-independent higher-order temporal solitons. Appl. Opt. 2016, 55, 3740–3745. [Google Scholar] [CrossRef]
- Hao, R.; Cassan, E.; Kurt, H.; Roux, X.L.; Marris-Morini, D.; Vivien, L.; Wu, H.; Zhou, Z.; Zhang, X. Novel slow light waveguide with controllable delay-bandwidth product and utra-low dispersion. Opt. Express 2010, 18, 5942–5950. [Google Scholar] [CrossRef] [PubMed]









Publisher’s Note: MDPI stays neutral with regard to jurisdictional claims in published maps and institutional affiliations. |
© 2021 by the authors. Licensee MDPI, Basel, Switzerland. This article is an open access article distributed under the terms and conditions of the Creative Commons Attribution (CC BY) license (https://creativecommons.org/licenses/by/4.0/).
Share and Cite
Pan, J.; Fu, M.; Yi, W.; Wang, X.; Liu, J.; Zhu, M.; Qi, J.; Yin, S.; Huang, G.; Zhu, S.; et al. Improving Low-Dispersion Bandwidth of the Silicon Photonic Crystal Waveguides for Ultrafast Integrated Photonics. Photonics 2021, 8, 105. https://doi.org/10.3390/photonics8040105
Pan J, Fu M, Yi W, Wang X, Liu J, Zhu M, Qi J, Yin S, Huang G, Zhu S, et al. Improving Low-Dispersion Bandwidth of the Silicon Photonic Crystal Waveguides for Ultrafast Integrated Photonics. Photonics. 2021; 8(4):105. https://doi.org/10.3390/photonics8040105
Chicago/Turabian StylePan, Jinghan, Meicheng Fu, Wenjun Yi, Xiaochun Wang, Ju Liu, Mengjun Zhu, Junli Qi, Shaojie Yin, Guocheng Huang, Shuyue Zhu, and et al. 2021. "Improving Low-Dispersion Bandwidth of the Silicon Photonic Crystal Waveguides for Ultrafast Integrated Photonics" Photonics 8, no. 4: 105. https://doi.org/10.3390/photonics8040105
APA StylePan, J., Fu, M., Yi, W., Wang, X., Liu, J., Zhu, M., Qi, J., Yin, S., Huang, G., Zhu, S., Chen, X., Tang, W., Liao, J., Yang, H., & Li, X. (2021). Improving Low-Dispersion Bandwidth of the Silicon Photonic Crystal Waveguides for Ultrafast Integrated Photonics. Photonics, 8(4), 105. https://doi.org/10.3390/photonics8040105

