Heating Device Based on Modified Microwave Oven: Improved to Measure Liquid Temperature by Using FBG Sensors
Abstract
1. Introduction
2. Materials and Methods
2.1. Modifications on the Microwave
2.2. Coiling Glass Pipe Design
2.3. Temperature Monitoring System Based on Optical Fiber Sensors and Thermocouples
2.3.1. Installation of Temperature Optical Fiber Sensors
2.3.2. Interrogating System to Measure Temperature Using FBG Temperature Sensor
2.3.3. System to Measure Temperature of Liquids on Containers (Input and Output of Liquid)
2.3.4. System Validation
3. Results and Discussion
3.1. Assembly of the Device
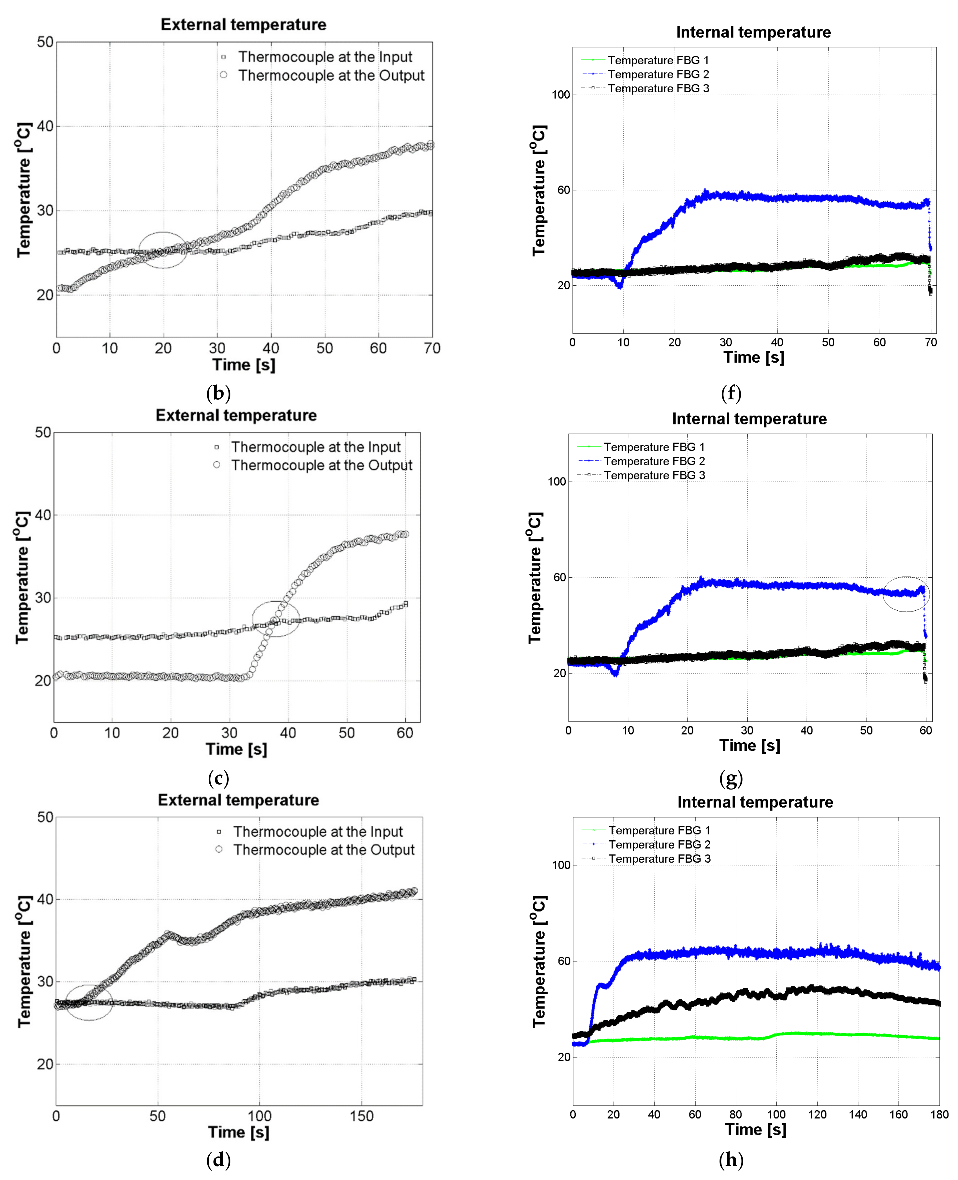
3.2. Temperature Measurement Using the Assembled Prototype
4. Conclusions
5. Patents
Author Contributions
Funding
Conflicts of Interest
References
- Decareau, R. Microwaves in the Food Processing Industry; Academic Press: Orlando, FL, USA, 1985; 234p. [Google Scholar]
- Venkatesh, M.S.; Raghavan, G.S.V. An overview of dielectric properties measuring techniques. Can. Biosyst. Eng. 2005, 47, 15–30. [Google Scholar]
- Datta, A.K.; Sumnu, G.; Raghavan, G.S.V. Dielectric Properties of Foods. In Engineering Properties of Foods; Rao, M.A., Rizvi, S., Datta, A.K., Eds.; CRC Press: Boca Raton, FL, USA, 2005; pp. 501–557. [Google Scholar]
- Nelson, S.O.; Datta, A.K. Dielectric Properties of Food Materials and Electric Field Interactions. In Handbook of Microwave Technology for Food Application; Datta, A.K., Anantheswaran, R.C., Eds.; Marcel Dekker, Inc.: New York, NY, USA, 2001; pp. 69–114. [Google Scholar]
- Franco, A.P.; Yamamoto, L.Y.; Tadini, C.C.; Gut, J.A.W. Dielectric properties of green coconut water relevant to microwave processing: Effect of temperature and field frequency. J. Food Eng. 2015, 155, 69–78. [Google Scholar] [CrossRef]
- Bhattacharya, M.; Basak, T. A review on the susceptor assisted microwave processing of materials. Energy 2016, 97, 306–338. [Google Scholar] [CrossRef]
- Craveiro, A.A.; Matos, F.J.A.; Alencar, J.W.; Plumel, M.M. Microwave oven extraction of an essential oil. Flavour Fragr. J. 1989, 4, 43–44. [Google Scholar] [CrossRef]
- Horuz, E.; Bozkurt, H.; Karataş, H.; Maskan, M. Drying kinetics of apricot halves in a microwave-hot air hybrid oven. Heat Mass Transf. 2017, 53, 2117–2127. [Google Scholar] [CrossRef]
- Borda-Yepes, V.H.; Chejne, F.; Daza-Olivella, L.V.; Alzate-Arbelaez, A.F.; Rojano, B.A.; Raghavan, V.G. Effect of microwave and infrared drying over polyphenol content in Vaccinium meridionale (Swartz) dry leaves. J. Food Process Eng. 2019, 42, e12939. [Google Scholar] [CrossRef]
- Golmakani, M.T.; Rezaei, K. Comparison of microwave-assisted hydrodistillation with the traditional hydrodistillation method in the extraction of essential oils from Thymus vulgaris L. Food Chem. 2008, 109, 925–930. [Google Scholar] [CrossRef] [PubMed]
- Wan Mahari, W.A.; Chong, C.T.; Cheng, C.K.; Lee, C.L.; Hendrata, K.; Yuh Yek, P.N.; Ma, N.L.; Lam, S.S. Production of value-added liquid fuel via microwave co-pyrolysis of used frying oil and plastic waste. Energy 2018, 162, 309–317. [Google Scholar] [CrossRef]
- Lam, S.S.; Wan Mahari, W.A.; Ma, N.L.; Azwar, E.; Kwon, E.E.; Peng, W.; Chong, C.T.; Liu, Z.; Park, Y.K. Microwave pyrolysis valorization of used baby diapers. Chemosphere 2019, 230, 294–302. [Google Scholar] [CrossRef]
- Nikde, S.; Chin Chen, J.S.; Parish, M.E.; MacKellar, D.G.; Friedrich, L.M. Pasteurization of Citrus Juice with Microwave Energy in a Continuous-Flow Unit. J. Agric. Food Chem. 1993, 41, 2116–2119. [Google Scholar] [CrossRef]
- Matsui, K.N.; Gut, J.A.W.; de Oliveira, P.V.; Tadini, C.C. Inactivation kinetics of polyphenol oxidase and peroxidase in green coconut water by microwave processing. J. Food Eng. 2008, 88, 169–176. [Google Scholar] [CrossRef]
- Matsui, K.N. Inativação das Enzimas Presentes na água de coco verde (cocos nucifera L.) por Processo Térmico Através de microondas. Ph.D. Thesis, University of São Paulo, São Paulo, Brasil, 2006. [Google Scholar]
- Green, J.E.; Nuhiji, B.; Zivtins, K.; Bower, M.P.; Grainger, R.V.; Day, R.J.; Scaife, R.J. Internal Model Control of a Domestic Microwave for Carbon Composite Curing. IEEE Trans. Microw. Theory Tech. 2017, 65, 4335–4346. [Google Scholar] [CrossRef]
- Demirdöven, A.; Baysal, T. Inactivation effect of microwave heating on pectin methylesterase in orange juice. Ukr. Food J. 2016, 5, 248–261. [Google Scholar] [CrossRef]
- Tajchakavit, S.; Ramaswamy, H.S. Continuous-flow microwave inactivation kinetics of pectin methylesterase in orange juice. J. Food Process. Preserv. 1997, 21, 365–378. [Google Scholar] [CrossRef]
- Tajchakavit, S.; Ramaswamy, H.S.; Koutchma, T. Enhanced Thermal Effects Under Microwave Heating Conditions. In The Engineering and Food for 21s Century; Welti-Chanes, J., Barbosa-Cánovas, G., Aguilera, J., Eds.; CRC Press: Boca Ratón, FL, USA, 2002. [Google Scholar]
- Gentry, T.S.; Roberts, J.S. Design and evaluation of a continuous flow microwave pasteurization system for apple cider. LWT Food Sci. Technol. 2005, 38, 227–238. [Google Scholar] [CrossRef]
- Rajan, G.; Krzysztof, K. Optical Fiber Sensors: Advanced Techniques and Applications; CRC Press: Boca Raton, FL, USA, 2017. [Google Scholar]
- Campanella, C.E.; Cuccovillo, A.; Campanella, C.; Yurt, A.; Passaro, V.M.N. Fibre Bragg Grating based strain sensors: Review of technology and applications. Sensors 2018, 18, 3115. [Google Scholar] [CrossRef] [PubMed]
- Li, X.; Yang, C.; Yang, S.; Li, G. Fiber-optical sensors: Basics and applications in multiphase reactors. Sensors 2012, 12, 12519–12544. [Google Scholar] [CrossRef]
- Aldaba, A.L.; González-Vila, Á.; Debliquy, M.; Lopez-Amo, M.; Caucheteur, C.; Lahem, D. Polyaniline-coated tilted fiber Bragg gratings for pH sensing. Sens. Actuators B Chem. 2018, 254, 1087–1093. [Google Scholar] [CrossRef]
- Li, T.; Zhu, L.; Yang, X.; Lou, X.; Yu, L. A Refractive Index Sensor Based on H-Shaped Photonic Crystal Fibers Coated with Ag-Graphene Layers. Sensors 2020, 20, 741. [Google Scholar] [CrossRef] [PubMed]
- Matsui, K.N.; Granado, L.M.; de Oliveira, P.V.; Tadini, C.C. Peroxidase and polyphenol oxidase thermal inactivation by microwaves in green coconut water simulated solutions. LWT Food Sci. Technol. 2007, 40, 852–859. [Google Scholar] [CrossRef]
- Tulasidas, R.; Raghavan, T.N.; Van de Voort, G.S.; Girard, F. Dielectric properties of grapes and sugar solutions at 2.45 GHz. J. Microw. Power Electromagn. Energy 1995, 30, 117–123. [Google Scholar] [CrossRef] [PubMed]















| Substance | Processing Time (s) | Flow (mL/s) | Initial Temperature (Thermocouple) (°C) | Final Temperature (Thermocouple) (°C) | Maximum Temperature (°C) |
|---|---|---|---|---|---|
| Water | 60 | 11.3 | 30 | 38 | 90 |
| Sugars | 60 | 11.3 | 20 | 32 | 60 |
| 60 | 11.3 | 25 | 38 | 60 | |
| 60 | 11.3 | 25 | 38 | 60 | |
| 180 | 11.3 | 27 | 42 | 60 | |
| Salts | 60 | 11.3 | 22 | 38 | 75 |
| 60 | 11.3 | 23 | 38 | 80 | |
| 60 | 11.3 | 25 | 39 | 80 | |
| Salts and sugars | 60 | 11.3 | 25 | 35 | 65 |
| 60 | 11.3 | 25 | 37 | 65 | |
| 60 | 11.3 | 25 | 37 | 75 |
Publisher’s Note: MDPI stays neutral with regard to jurisdictional claims in published maps and institutional affiliations. |
© 2021 by the authors. Licensee MDPI, Basel, Switzerland. This article is an open access article distributed under the terms and conditions of the Creative Commons Attribution (CC BY) license (http://creativecommons.org/licenses/by/4.0/).
Share and Cite
Garavito, J.; Galvis, C.; López, A.M.; Franco, A.P.; Barreiro, F.; Tarazona, R.L.; Serpa-Imbett, C.M. Heating Device Based on Modified Microwave Oven: Improved to Measure Liquid Temperature by Using FBG Sensors. Photonics 2021, 8, 104. https://doi.org/10.3390/photonics8040104
Garavito J, Galvis C, López AM, Franco AP, Barreiro F, Tarazona RL, Serpa-Imbett CM. Heating Device Based on Modified Microwave Oven: Improved to Measure Liquid Temperature by Using FBG Sensors. Photonics. 2021; 8(4):104. https://doi.org/10.3390/photonics8040104
Chicago/Turabian StyleGaravito, Jesus, Carlos Galvis, Ana Milena López, Arlet Patricia Franco, Francisco Barreiro, Rosa Liliana Tarazona, and Claudia Milena Serpa-Imbett. 2021. "Heating Device Based on Modified Microwave Oven: Improved to Measure Liquid Temperature by Using FBG Sensors" Photonics 8, no. 4: 104. https://doi.org/10.3390/photonics8040104
APA StyleGaravito, J., Galvis, C., López, A. M., Franco, A. P., Barreiro, F., Tarazona, R. L., & Serpa-Imbett, C. M. (2021). Heating Device Based on Modified Microwave Oven: Improved to Measure Liquid Temperature by Using FBG Sensors. Photonics, 8(4), 104. https://doi.org/10.3390/photonics8040104

