Performance Analysis and Enhancement of Free Space Optical Links for Developing State-of-the-Art Smart City Framework
Abstract
1. Introduction
1.1. Preliminaries
1.2. Literature Survey and Research Motivation
2. System Design
Atmospheric Turbulence and Gamma–Gamma Channel
3. Modulation Techniques
3.1. On–Off Keying
3.2. Binary Phase-Shift Keying
3.3. Differential Phase-Shift Keying
3.4. Gaussian Minimum Shift Keying
3.5. Quadrature Amplitude Modulation
3.6. Dual Header-Pulse Interval Modulation (DH-PIM)
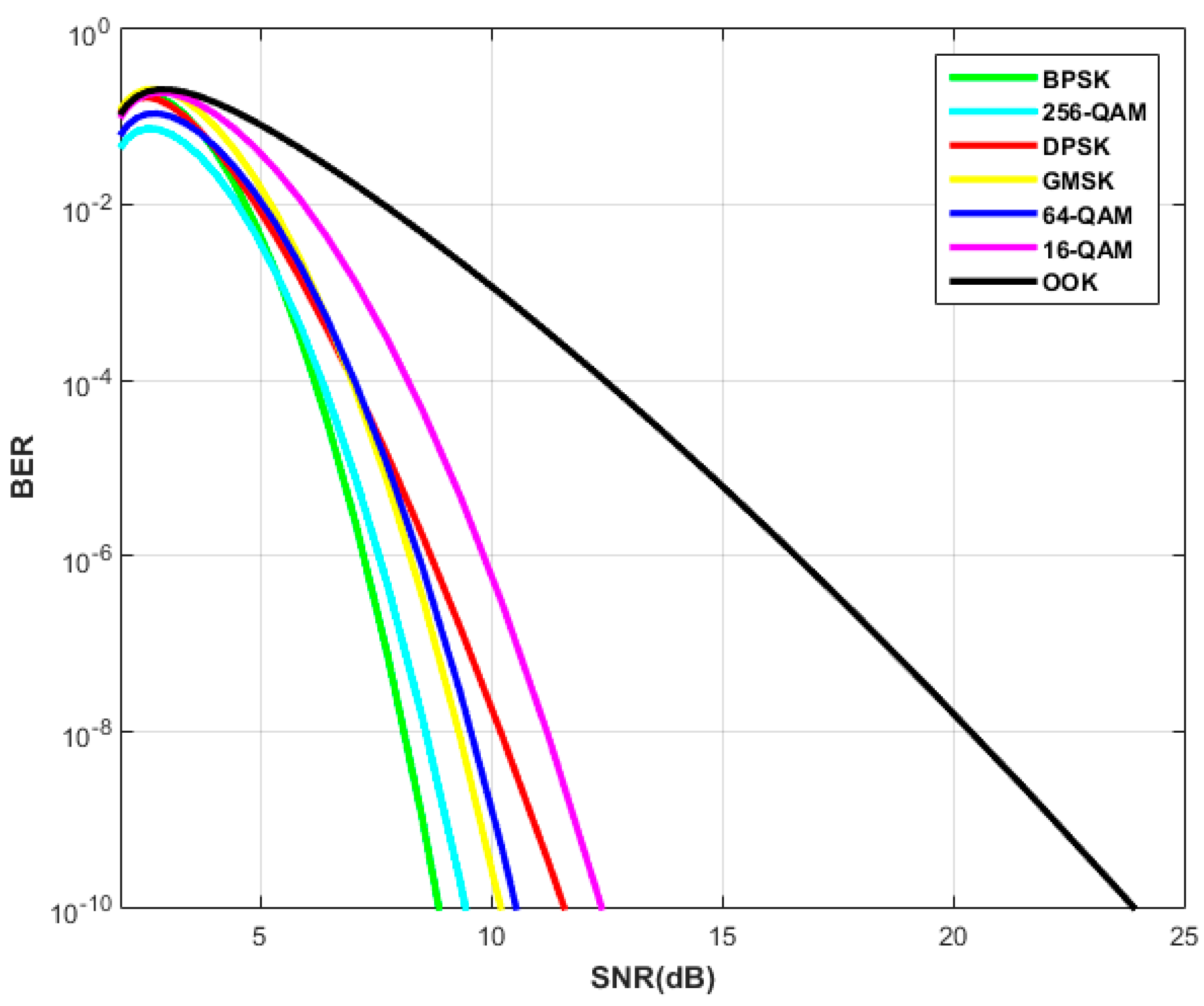
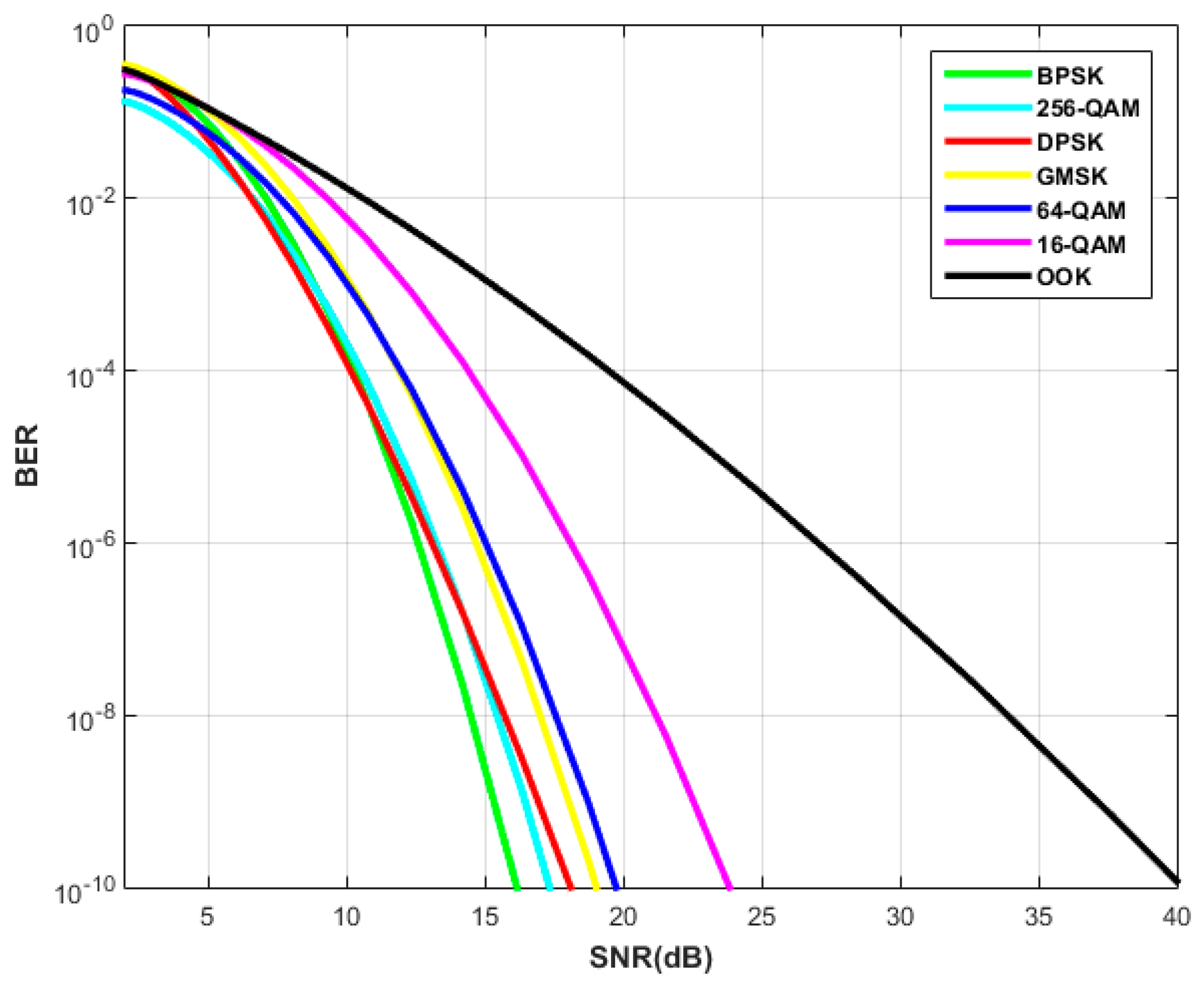
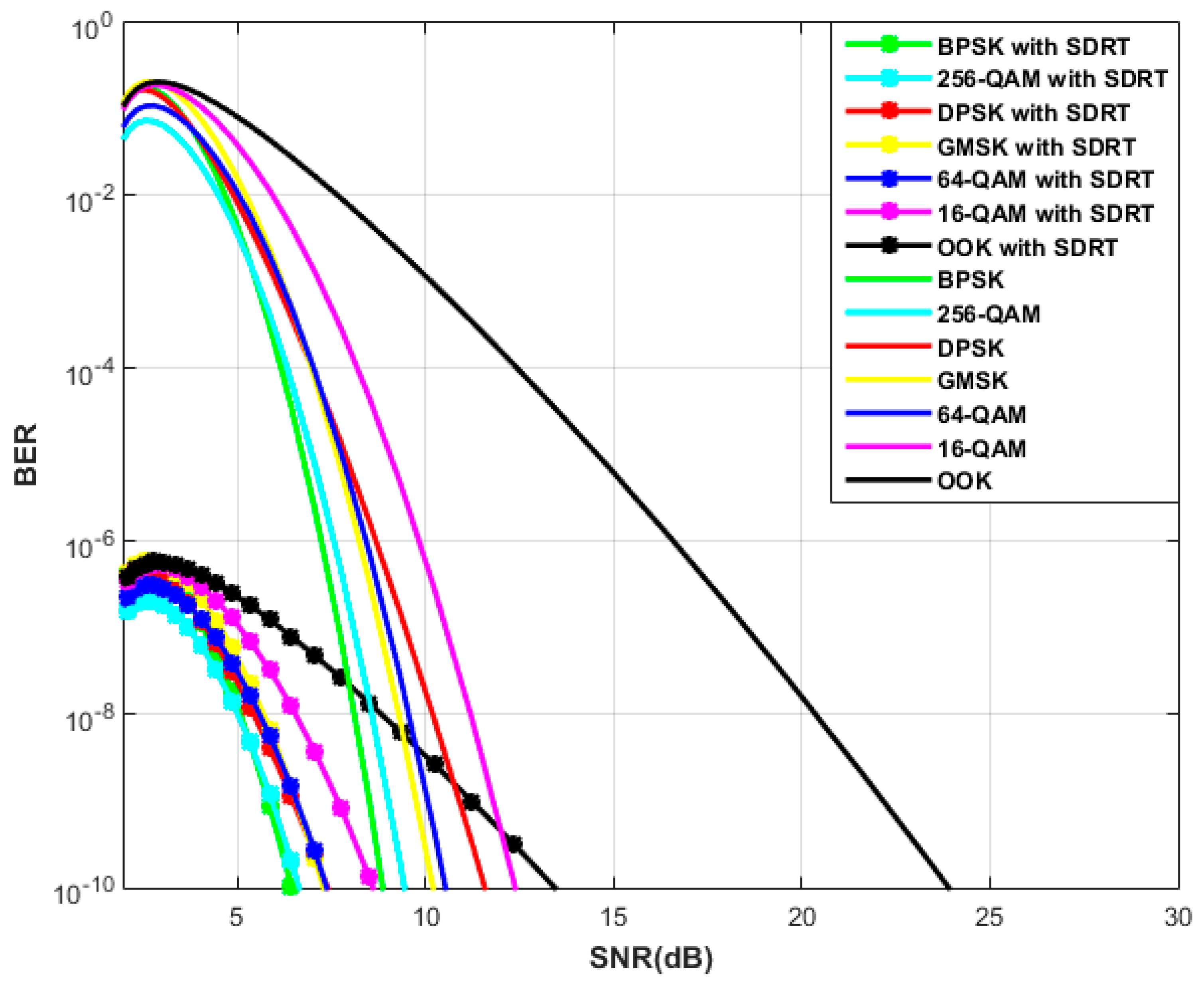
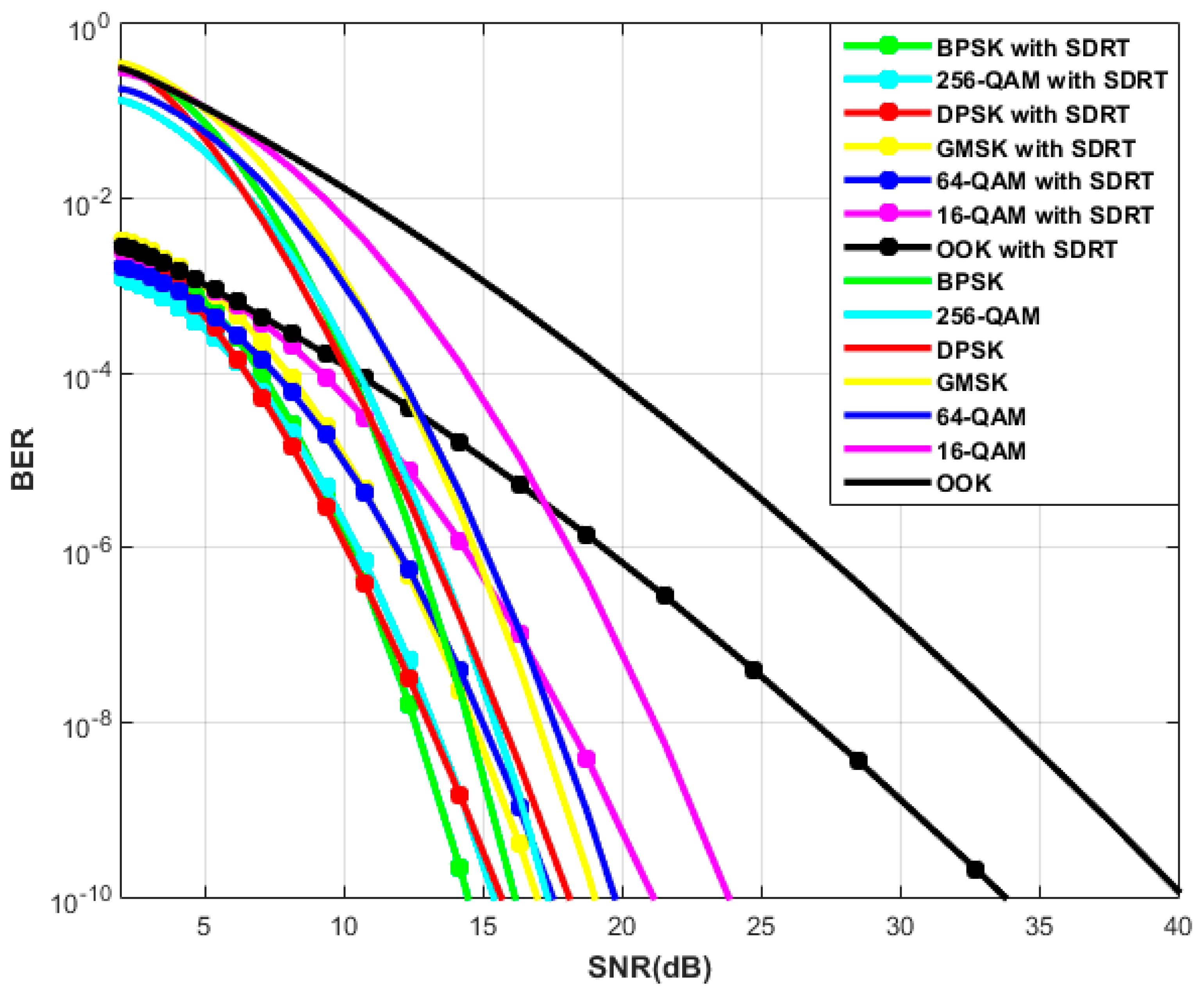
4. Results and Discussions
5. Conclusions
Author Contributions
Funding
Acknowledgments
Conflicts of Interest
References
- Khalighi, M.A.; Uysal, M. Survey on free space optical communication: A communication theory perspective. IEEE Commun. Surv. Tutor. 2014, 16, 2231–2258. [Google Scholar] [CrossRef]
- Miglani, R.; Malhotra, J.S. An innovative approach for performance enhancement of 320 Gbps free space optical communication system over turbulent channel. Opt. Quant. Electron. 2019, 51, 289. [Google Scholar] [CrossRef]
- Ghassemlooy, Z.; Popoola, W.; Rajbhandari, S. Optical Wireless Communications: System and Channel Modelling with Matlab®; CRC Press: Boca Raton, FL, USA, 2019. [Google Scholar]
- Institution of Engineering and Technology. Principles and Applications of Free Space Optical Communications; Majumdar, A.K., Ghassemlooy, Z., Raj, A.A.B., Eds.; IET: Stevenage, UK, 2019; pp. 1–330. Available online: https://digital-library.theiet.org/content/books/te/pbte078e (accessed on 30 October 2020).
- Ramasarma, V. Free space optics: A viable last-mile solution. Bechtel Telecommun. Tech. J. 2002, 1, 22–30. [Google Scholar]
- Majumdar, A.K. Optical Wireless Communications for Broadband Global Internet Connectivity: Fundamentals and Potential Applications; Elsevier: Amsterdam, The Netherlands, 2019; pp. 39–53. [Google Scholar]
- Miglani, R.; Malhotra, J.S.; Majumdar, A.K.; Tubbal, F.; Raad, R. Multi-hop relay based free space optical communication link for delivering medical services in remote areas. IEEE Photonics J. 2020, 12, 1–21. [Google Scholar] [CrossRef]
- Liu, Q.; Qiao, C.; Mitchell, G.; Stanton, S. Optical wireless communication networks for first-and last-mile broadband access. J. Opt. Netw. 2005, 4, 807–828. [Google Scholar] [CrossRef]
- Chowdhury, M.Z.; Shahjalal, M.; Hasan, M.; Jang, Y.M. The Role of optical wireless communication technologies in 5G/6G and IoT solutions: Prospects, directions, and challenges. Appl. Sci. 2019, 9, 4367. [Google Scholar] [CrossRef]
- Nguyen, T.; Nguyen-Huu, D.; Nguyen, T. On achievable rate region using location assisted coding (LAC) for FSO communication. In Proceedings of the IEEE 86th Vehicular Technology Conference (VTC-Fall), Toronto, ON, Canada, 24–27 September 2017; pp. 1–5. [Google Scholar]
- Pathak, P.H.; Feng, X.; Hu, P.; Mohapatra, P. Visible light communication, networking, and sensing: A survey, potential and challenges. IEEE Commun. Surv. Tutor. 2015, 17, 2047–2077. [Google Scholar] [CrossRef]
- Minoli, D.; Occhiogrosso, B. Practical Aspects for the Integration of 5G Networks and IoT Applications in Smart Cities Environments. Wirel. Commun. Mob. Comput. 2019, 6, 1–30. [Google Scholar] [CrossRef]
- Wang, Z.; Zhong, W.D.; Fu, S.; Lin, C. Performance comparison of different modulation formats over free-space optical (FSO) turbulence links with space diversity reception technique. IEEE Photonics J. 2009, 1, 277–285. [Google Scholar] [CrossRef]
- Das, S.; Chakraborty, M. ASK and PPM modulation based FSO system under varying weather conditions. In Proceedings of the 2016 IEEE 7th Annual Ubiquitous Computing, Electronics & Mobile Communication Conference (UEMCON), New York City, NY, USA, 20–22 October 2016; pp. 1–7. Available online: https://ieeexplore.ieee.org/document/7777825 (accessed on 30 October 2020).
- Dubey, D.; Prajapati, Y.K.; Tripathi, R. Error performance analysis of PPM-and FSK-based hybrid modulation scheme for FSO satellite downlink. Opt. Quant. Electron. 2020, 52, 286. [Google Scholar] [CrossRef]
- Sharma, K.; Grewal, S.K. Performance assessment of hybrid PPM–BPSK–SIM based FSO communication system using time and wavelength diversity under variant atmospheric turbulence. Opt. Quant. Electron. 2020, 52, 1–25. [Google Scholar] [CrossRef]
- Singh, M.; Malhotra, J. Performance investigation of high-speed FSO transmission system under the influence of different atmospheric conditions incorporating 3-D orthogonal modulation scheme. Opt. Quant. Electron. 2019, 51, 285. [Google Scholar] [CrossRef]
- Saber, M.J.; Keshavarz, A. On performance of adaptive subcarrier intensity modulation over generalized F–SO links. In Proceedings of the Iranian Conference on Electrical Engineering (ICEE), Mashhad, Iran, 8–10 May 2018; pp. 358–361. [Google Scholar]
- Badar, N.; Jha, R.K. Performance comparison of various modulation schemes over free space optical (FSO) link employing Gamma–Gamma fading model. Opt. Quant. Electron. 2017, 49, 192. [Google Scholar] [CrossRef]
- Singh, M.; Malhotra, J. Performance comparison of different modulation schemes in high-speed MDM based radio over FSO transmission link under the effect of atmospheric turbulence using aperture averaging. Wirel. Pers. Commun. 2020, 111, 825–842. [Google Scholar] [CrossRef]
- Singya, P.K.; Kumar, N.; Bhatia, V.; Alouini, M.S. On the Performance Analysis of Higher Order QAM Schemes over Mixed RF/FSO Systems. IEEE Trans. Veh. Technol. 2020, 69, 7366–7378. [Google Scholar] [CrossRef]
- Joseph, T.; Kaushal, H.; Jain, V.K.; Kar, S. Performance analysis of OOK modulation scheme with spatial diversity in atmospheric turbulence. In Proceedings of the 2014 23rd Wireless and Optical Communication Conference (WOCC), Newark, NJ, USA, 9–10 May 2014; pp. 1–3. [Google Scholar]
- Dat, P.T.; Kanno, A.; Inagaki, K.; Umezawa, T.; Yamamoto, N.; Kawanishi, T. Hybrid optical wireless-mmWave: Ultra high-speed indoor communications for beyond 5G. In Proceedings of the IEEE INFOCOM 2019—IEEE Conference on Computer Communications Workshops (INFOCOM WKSHPS), Paris, France, 29 April–2 May 2019; pp. 1003–1004. [Google Scholar]
- Nguyen, D.-N.; Bohata, J.; Spacil, J.; Dousek, D.; Komanec, M.; Zvanovec, S.; Ghassemlooy, Z.; Ortega, B. M-QAM transmission over hybrid microwave photonic links at the K-band. Opt. Express 2019, 27, 33745–33756. [Google Scholar] [CrossRef]
- Andrews, L.C. Field Guide to Atmospheric Optics, 2nd ed.; SPIE Press: Bellingham, WA, USA, 2001; p. 99. [Google Scholar]
- Al-Gailani, S.A.; Mohammad, A.B.; Shaddad, R.Q.; Sheikh, U.U.; Elmagzoub, M.A. Hybrid WDM/multibeam free-space optics for multigigabit access network. Photon. Netw. Commun. 2015, 29, 138–145. [Google Scholar] [CrossRef]
- Nor, N.A.M.; Ghassemlooy, Z.; Zvanovec, S.; Khalighi, M.; Bhatnagar, M.R. Comparison of optical and electrical based amplify-and-forward relay-assisted FSO links over gamma-gamma channels. In Proceedings of the 10th International Symposium on Communication Systems, Networks and Digital Signal Processing (CSNDSP), Prague, Czech Republic, 20–22 July 2016; pp. 1–5. [Google Scholar]
- Pham, T.V.; Pham, T.A. Performance analysis of amplify-decode-and-forward multihop binary phase-shift keying/free-space optical systems using avalanche photodiode receivers over atmospheric turbulence channels. IET Commun. 2014, 8, 1518–1526. [Google Scholar] [CrossRef]
- Libich, J.; Komanec, M.; Zvanovec, S.; Pesek, P.; Popoola, W.O.; Ghassemlooy, Z. Experimental verification of an all-optical dual-hop 10 Gbit/s free-space optics link under turbulence regimes. Opt. Lett. 2015, 40, 391–394. [Google Scholar] [CrossRef]
- Aghajanzadeh, S.M.; Uysal, M. Multi-hop coherent free-space optical communications over atmospheric turbulence channels. IEEE Trans. Commun. 2011, 59, 1657–1663. [Google Scholar] [CrossRef]
- Prabu, K. Analysis of FSO systems with SISO and MIMO techniques. Wirel. Pers. Commun. 2019, 105, 1133–1141. [Google Scholar] [CrossRef]
- Trinh, P.V.; Dang, N.T.; Pham, A.T. Optical amplify-and-forward multihop WDM/FSO for all-optical access networks. In Proceedings of the 2014 9th International Symposium on Communication Systems, Networks & Digital Sign (CSNDSP), Manchester, UK, 23–25 July 2014; pp. 1106–1111. [Google Scholar]
- Gao, Z.; Liu, H.; Ma, X.; Lu, W. Performance of multi-hop parallel free-space optical communication over gamma–gamma fading channel with pointing errors. Appl. Opt. 2016, 55, 9178–9184. [Google Scholar] [CrossRef] [PubMed]
- Dabiri, M.T.; Sadough, S.M.S. Performance analysis of all-optical amplify and forward relaying over log-normal FSO channels. J. Opt. Commun. Netw. 2018, 10, 79–89. [Google Scholar] [CrossRef]
- Alnajjar, S.H.; Noori, A.A.; Moosa, A.A. Enhancement of FSO communications links under complex environment. Photonic Sens. 2017, 7, 113–122. [Google Scholar] [CrossRef]












| Parameter | Range/Value |
|---|---|
| Link length [26,27] | 1.25 km |
| Refractive index structure () [28,29,30] | 10−12 m−2/3 (strong turbulence) |
| 10−15 m−2/3 (moderate turbulence) | |
| 10−17 m−2/3 (weak turbulence) | |
| Spatial diversity order [26,31] | |
| Photodetector responsivity [27,32] | 1 A/W |
| Operating wavelength [27,30,32,33] | 1550 nm |
| data rate (rb) [3] | 155 Mbps |
| Transmitter aperture [27,34] | 20 cm |
| Receiver aperture [34,35] | 20 cm |
| Modulation Technique | Weak Turbulence | Moderate Turbulence | Strong Turbulence |
|---|---|---|---|
| OOK | 19.9 | 33 | 45.2 |
| DPSK | 10 | 15.3 | 21.5 |
| BPSK | 8 | 14.3 | 19.5 |
| 256 QAM | 8.4 | 15.1 | 21 |
| 64 QAM | 9.4 | 17.3 | 23.5 |
| 16 QAM | 11 | 20.7 | 28 |
| GMSK | 9.2 | 16.8 | 23 |
| Modulation Technique | Weak Turbulence Regime | Moderate Turbulence Regime | Strong Turbulence Regime | ||||||
|---|---|---|---|---|---|---|---|---|---|
| Without SDRT (dB) | With SDRT (dB) | SNR Gain (%) | Without SDRT (dB) | With SDRT (dB) | SNR Gain (%) | Without SDRT (dB) | With SDRT (dB) | SNR Gain (%) | |
| OOK | 19.9 | 8.8 | 55.7 | 33 | 26 | 21.2 | 45.2 | 37.2 | 17.69 |
| DPSK | 10 | 5.25 | 47.5 | 15.3 | 13 | 15 | 21.5 | 18 | 16.27 |
| BPSK | 8 | 5.1 | 36.25 | 14.3 | 12.5 | 12.5 | 19.5 | 17 | 12.82 |
| 256 QAM | 8.4 | 5 | 40.47 | 15.1 | 13.2 | 12.5 | 21 | 18.2 | 13.33 |
| 64 QAM | 9.4 | 5.6 | 40.42 | 17.3 | 15 | 13.2 | 23.5 | 20.2 | 14.04 |
| 16 QAM | 11 | 6.5 | 40.9 | 20.7 | 18 | 13 | 28 | 24.8 | 11.42 |
| GMSK | 9.2 | 5.7 | 38 | 16.8 | 14.6 | 13 | 23 | 20 | 13.04 |
| Modulation Technique | Weak Regime | Moderate Regime | Strong Regime |
|---|---|---|---|
| DH-PIM without SDRT | 79 | Above 100 | Above 100 |
| DH-PIM with SDRT | 32 | 83 | 89 |
Publisher’s Note: MDPI stays neutral with regard to jurisdictional claims in published maps and institutional affiliations. |
© 2020 by the authors. Licensee MDPI, Basel, Switzerland. This article is an open access article distributed under the terms and conditions of the Creative Commons Attribution (CC BY) license (http://creativecommons.org/licenses/by/4.0/).
Share and Cite
Chauhan, S.; Miglani, R.; Kansal, L.; Gaba, G.S.; Masud, M. Performance Analysis and Enhancement of Free Space Optical Links for Developing State-of-the-Art Smart City Framework. Photonics 2020, 7, 132. https://doi.org/10.3390/photonics7040132
Chauhan S, Miglani R, Kansal L, Gaba GS, Masud M. Performance Analysis and Enhancement of Free Space Optical Links for Developing State-of-the-Art Smart City Framework. Photonics. 2020; 7(4):132. https://doi.org/10.3390/photonics7040132
Chicago/Turabian StyleChauhan, Sonali, Rajan Miglani, Lavish Kansal, Gurjot Singh Gaba, and Mehedi Masud. 2020. "Performance Analysis and Enhancement of Free Space Optical Links for Developing State-of-the-Art Smart City Framework" Photonics 7, no. 4: 132. https://doi.org/10.3390/photonics7040132
APA StyleChauhan, S., Miglani, R., Kansal, L., Gaba, G. S., & Masud, M. (2020). Performance Analysis and Enhancement of Free Space Optical Links for Developing State-of-the-Art Smart City Framework. Photonics, 7(4), 132. https://doi.org/10.3390/photonics7040132

