A Novel Method for Boundary Value Determination in the Fernald Inversion for Horizontal Lidar Measurements
Abstract
1. Introduction
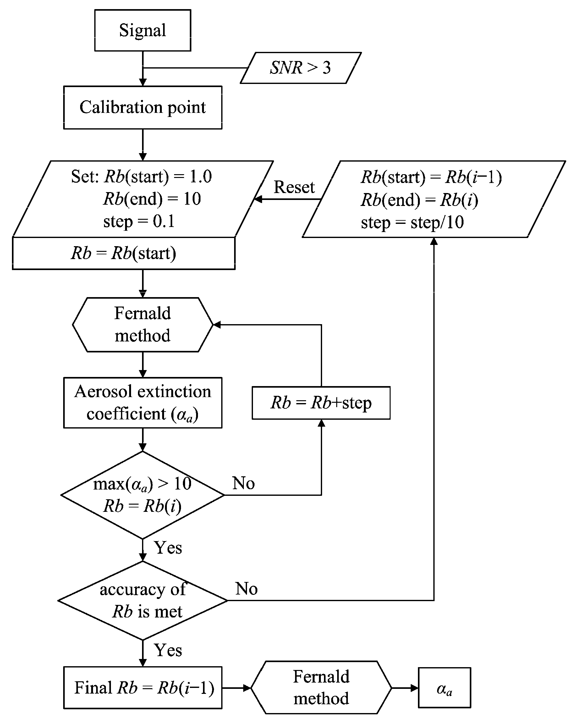
2. Principle and Methods
- (1)
- (2)
- Scan the boundary value starting from 1.0 with a large step size (such as 0.1), with the aerosol extinction coefficient computed via the Fernald method. The scanning stops when the maximum of the aerosol extinction coefficient exceeds the predefined threshold (set to 10 in this case). At this juncture, the scanned boundary value is assumed to be the i-th iteration, denoted as Rb(i).
- (3)
- Adopt Rb(i − 1) and Rb(i) as the new starting and ending points, reduce the step size by a factor of 10, then perform a boundary value scan, and repeat the procedure outlined in Step 2. This iterative process can be repeated multiple times until the accuracy requirement for the boundary value is met.
- (4)
- The last Rb for which the extinction coefficient does not exceed the threshold is defined as the final boundary value, which is then substituted into Equations (1) and (2) to retrieve the horizontal distribution of the aerosol extinction coefficient.
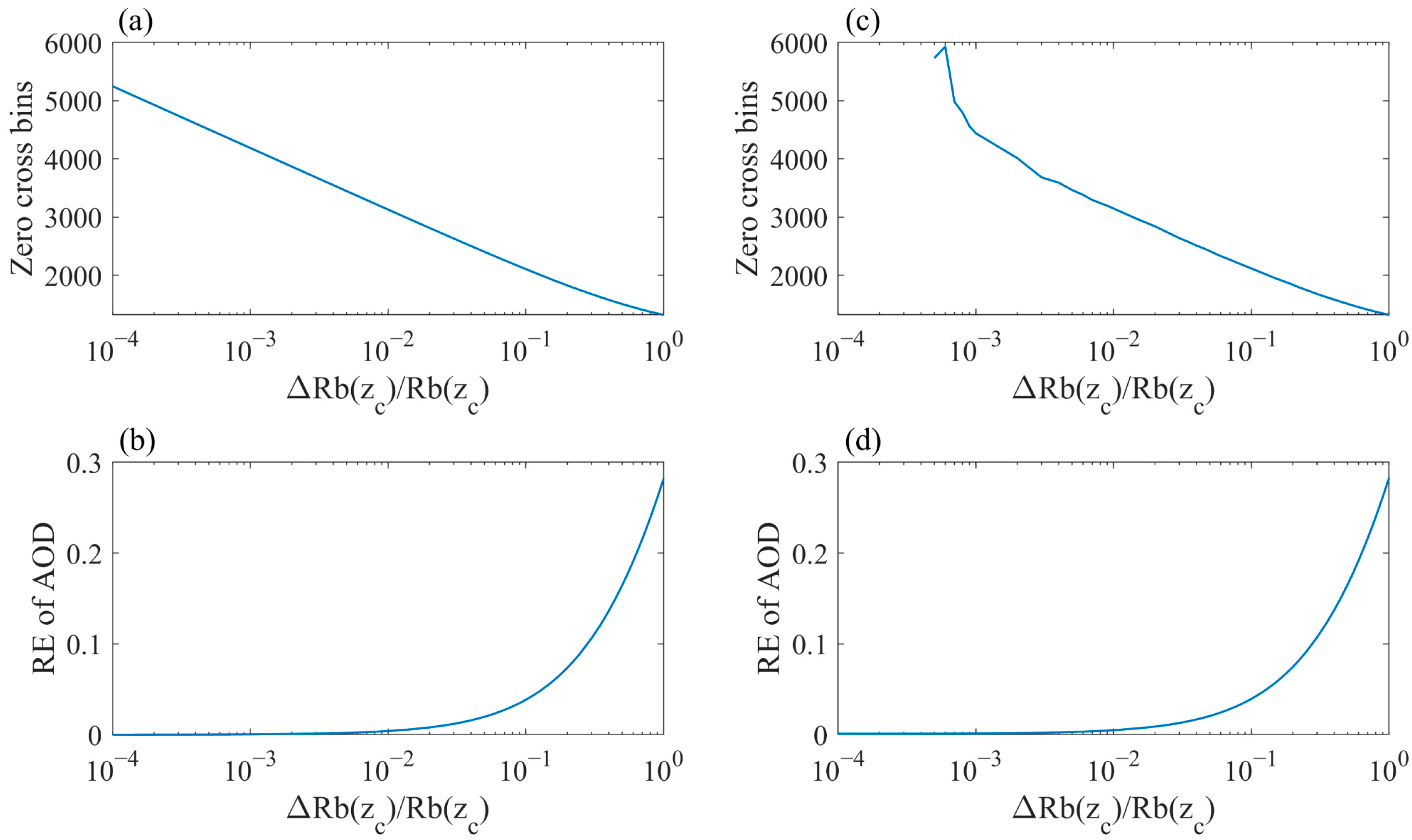
3. Results and Discussion
3.1. Comparison with Slope Method (Simulation Study)
3.2. Scanning Observation Case Study
4. Conclusions
Author Contributions
Funding
Institutional Review Board Statement
Data Availability Statement
Acknowledgments
Conflicts of Interest
Abbreviations
| RCS | Range corrected signal |
| AOD | Aerosol optical depth |
| UTC | Coordinated Universal Time |
References
- Wang, J.; Zhao, B.; Wang, S.; Yang, F.; Xing, J.; Morawska, L.; Ding, A.; Kulmala, M.; Kerminen, V.M.; Kujansuu, J.; et al. Particulate matter pollution over China and the effects of control policies. Sci. Total. Environ. 2017, 584–585, 426–447. [Google Scholar] [CrossRef]
- Zhang, Y.; Cao, F. Fine particulate matter (PM2.5) in China at a city level. Sci. Rep. 2015, 5, 14884. [Google Scholar] [CrossRef]
- Alemayehu, Y.A.; Asfaw, S.L.; Terfie, T.A. Exposure to urban particulate matter and its association with human health risks. Environ. Sci. Pollut. Res. 2020, 27, 27491–27506. [Google Scholar] [CrossRef]
- Won, W.S.; Oh, R.; Lee, W.; Kim, K.Y.; Ku, S.; Su, P.C.; Yoon, Y.J. Impact of Fine Particulate Matter on Visibility at Incheon International Airport, South Korea. Aerosol. Air. Qual. Res. 2020, 20, 1048–1061. [Google Scholar] [CrossRef]
- Wang, Z.; Xue, L.; Liu, J.; Ding, K.; Lou, S.; Ding, A.; Wang, J.; Huang, X. Roles of Atmospheric Aerosols in Extreme Meteorological Events: A Systematic Review. Curr. Pollut. Rep. 2022, 8, 177–188. [Google Scholar] [CrossRef]
- Zheng, F.; Dong, F.; Zhou, L.; Chen, Y.; Yu, J.; Luo, X.; Zhang, X.; Lv, Z.; Xia, X.; Xue, J. Research Progress on Heterogeneous Reactions of Pollutant Gases on the Surface of Atmospheric Mineral Particulate Matter in China. Atmosphere 2022, 13, 1283. [Google Scholar] [CrossRef]
- Hamilton, P.M. Lidar measurement of backscatter and attenuation of atmospheric aerosol. Atoms. Environ. 1969, 3, 221–223. [Google Scholar] [CrossRef]
- Huang, Z.; Wang, Y.; Bi, J.; Wang, T.; Li, W.; Li, Z.; Zhou, T. An overview of aerosol lidar: Progress and prospect. Natl. Remote Sens. Bull. 2022, 26, 834–851. [Google Scholar]
- Xie, C.; Zhao, M.; Wang, B.; Zhong, Z.; Wang, L.; Liu, D.; Wang, Y. Study of the scanning lidar on the atmospheric detection. J. Quant. Spectrosc. Radiat. Transf. 2015, 150, 114–120. [Google Scholar] [CrossRef]
- Comerón, A.; Muñoz-Porcar, C.; Rocadenbosch, F.; Rodríguez-Gómez, A.; Sicard, M. Current Research in Lidar Technology Used for the Remote Sensing of Atmospheric Aerosols. Sensors 2017, 17, 1450. [Google Scholar] [CrossRef] [PubMed]
- Fernald, F.G. Analysis of atmospheric lidar observations: Some comments. Appl. Opt. 1984, 23, 652–653. [Google Scholar] [CrossRef]
- Xian, J.; Sun, D.; Xu, W.; Han, Y.; Zheng, J.; Peng, J.; Yang, S. Urban air pollution monitoring using scanning Lidar. Environ. Pollut. 2020, 258, 113696. [Google Scholar] [CrossRef]
- Ma, X.; Wang, C.; Han, G.; Ma, Y.; Li, S.; Gong, W.; Chen, J. Regional Atmospheric Aerosol Pollution Detection Based on LiDAR Remote Sensing. Remote Sens. 2019, 11, 2339. [Google Scholar] [CrossRef]
- Ong, P.M.; Lagrosas, N.; Shiina, T.; Kuze, H. Surface Aerosol Properties Studied Using a Near-Horizontal Lidar. Atmosphere 2020, 11, 36. [Google Scholar] [CrossRef]
- Zhao, Q.; Su, H.; Yi, M.; Yu, D.; Xu, C. Aerosol Horizontal Distribution Detected by Lidar in Excavation Stage of Construction Site Foundation Pit. Chin. J. Lasers 2021, 48, 2010001. [Google Scholar] [CrossRef]
- Collis, R.T.H. Lidar for routine meteorological observations. Bull. Am. Meteorol. Soc. 1969, 50, 688–694. [Google Scholar] [CrossRef]
- Kunz, G.J.; Leeuw, G. Inversion of lidar signals with the slope method. Appl. Opt. 1993, 32, 3249–3256. [Google Scholar] [CrossRef]
- Mao, F.; Gong, W.; Logan, T. Linear segmentation algorithm for detecting layer boundary with lidar. Opt. Exp. 2013, 21, 26876–26887. [Google Scholar] [CrossRef] [PubMed]
- Mao, F.; Li, J.; Li, C.; Gong, W.; Min, Q.; Wang, W. Nonlinear physical segmentation algorithm for determining the layer boundary from lidar signal. Opt. Exp. 2015, 23, 1589–1602. [Google Scholar] [CrossRef]
- Mao, F.; Wang, W.; Min, Q.; Gong, W. Approach for selecting boundary value to retrieve Mie-scattering lidar data based on segmentation and two-component fitting methods. Opt. Exp. 2015, 23, 604–613. [Google Scholar] [CrossRef]
- Rocadenbosch, F.; Comerón, A.; Albiol, L. Statistics of the slope-method estimator. Appl. Opt. 2000, 39, 6049–6057. [Google Scholar] [CrossRef]
- Rocadenbosch, F.; Comerón, A.; Pineda, D. Assessment of lidar inversion errors for homogeneous atmospheres. Appl. Opt. 1998, 37, 2199–2206. [Google Scholar] [CrossRef]
- Sun, G.; Qin, L.; Zhang, S.; He, F.; Tan, F.; Jing, X.; Hou, Z. A new method of measuring boundary value of atmospheric extinction coefficient. Acta. Phys. Sin. 2018, 67, 054205. [Google Scholar]
- Marchant, C.C.; Moon, T.K.; Gunther, J.H. An Iterative Least Square Approach to Elastic-Lidar Retrievals for Well-Characterized Aerosols. IEEE Trans. Geosci. Remote Sens. 2010, 48, 2430–2444. [Google Scholar] [CrossRef]
- Chen, T.; Zhao, Y.; Liu, D.; Yu, J.; Xu, L.; Wang, Y.; Zhou, J. Invertion of Micro-pulse lidar signals with a new calibration method. Chin. J. Lasers 2012, 39, 0514001. [Google Scholar] [CrossRef]
- Jorg, A. The extinction-to-backscatter ratio of tropospheric aerosol: A numerical study. J. Atmos. Ocean. Technol. 1998, 15, 1043–1050. [Google Scholar]
- Müller, D.; Ansmann, A.; Mattis, I.; Tesche, M.; Wandinger, U.; Althausen, D.; Pisani, G. Aerosol-type-dependent lidar ratios observed with Raman lidar. J. Geophys. Res. 2007, 112, D16202. [Google Scholar] [CrossRef]
- Lolli, S.; Vivone, G.; Lewis, J.R.; Sicard, M.; Welton, E.J.; Campbell, J.R.; Comerón, A.; D’Adderio, L.P.; Tokay, A.; Giunta, A.; et al. Overview of the New Version 3 Micropulse Nework (MPLNET) Automatic Precipitation Detection Algorithm. Remote Sens. 2020, 12, 71. [Google Scholar] [CrossRef]
- Bedoya-Velásquez, A.E.; Ceolato, R.; Titos, G.; Bravo-Aranda, J.A.; Casans, A.; Patrón, D.; Fernández-Carvelo, S.; Guerrero-Rascado, J.L.; Alados-Arboledas, L. Synergy between Short-Range Lidar and In Situ Instruments for Determining the Atmospheric Boundary Layer Lidar Ratio. Remote Sens. 2024, 16, 1583. [Google Scholar] [CrossRef]










Disclaimer/Publisher’s Note: The statements, opinions and data contained in all publications are solely those of the individual author(s) and contributor(s) and not of MDPI and/or the editor(s). MDPI and/or the editor(s) disclaim responsibility for any injury to people or property resulting from any ideas, methods, instructions or products referred to in the content. |
© 2026 by the authors. Licensee MDPI, Basel, Switzerland. This article is an open access article distributed under the terms and conditions of the Creative Commons Attribution (CC BY) license.
Share and Cite
Zhao, M.; Chen, J.; Zheng, J.; Meng, D.; Yang, J.; Zhuang, P.; Yang, K.; Wang, C.; Xie, C. A Novel Method for Boundary Value Determination in the Fernald Inversion for Horizontal Lidar Measurements. Photonics 2026, 13, 162. https://doi.org/10.3390/photonics13020162
Zhao M, Chen J, Zheng J, Meng D, Yang J, Zhuang P, Yang K, Wang C, Xie C. A Novel Method for Boundary Value Determination in the Fernald Inversion for Horizontal Lidar Measurements. Photonics. 2026; 13(2):162. https://doi.org/10.3390/photonics13020162
Chicago/Turabian StyleZhao, Ming, Jianfeng Chen, Jun Zheng, Deshuo Meng, Jinqiang Yang, Peng Zhuang, Kang Yang, Chunke Wang, and Chenbo Xie. 2026. "A Novel Method for Boundary Value Determination in the Fernald Inversion for Horizontal Lidar Measurements" Photonics 13, no. 2: 162. https://doi.org/10.3390/photonics13020162
APA StyleZhao, M., Chen, J., Zheng, J., Meng, D., Yang, J., Zhuang, P., Yang, K., Wang, C., & Xie, C. (2026). A Novel Method for Boundary Value Determination in the Fernald Inversion for Horizontal Lidar Measurements. Photonics, 13(2), 162. https://doi.org/10.3390/photonics13020162

