Research on Signal Processing Methods for White-Light-Driven Resonant Fiber Optic Gyroscope
Abstract
1. Introduction
2. Structures and Principles
2.1. Structures of W-RFOG
2.2. Principles of W-RFOG
3. Mathematical Modeling and Simulation
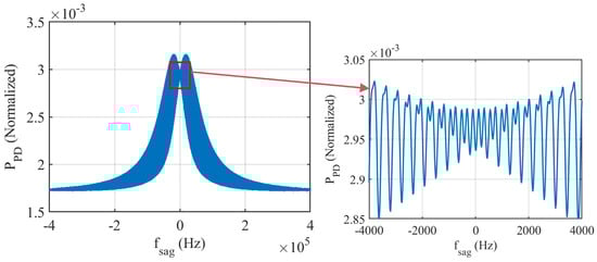
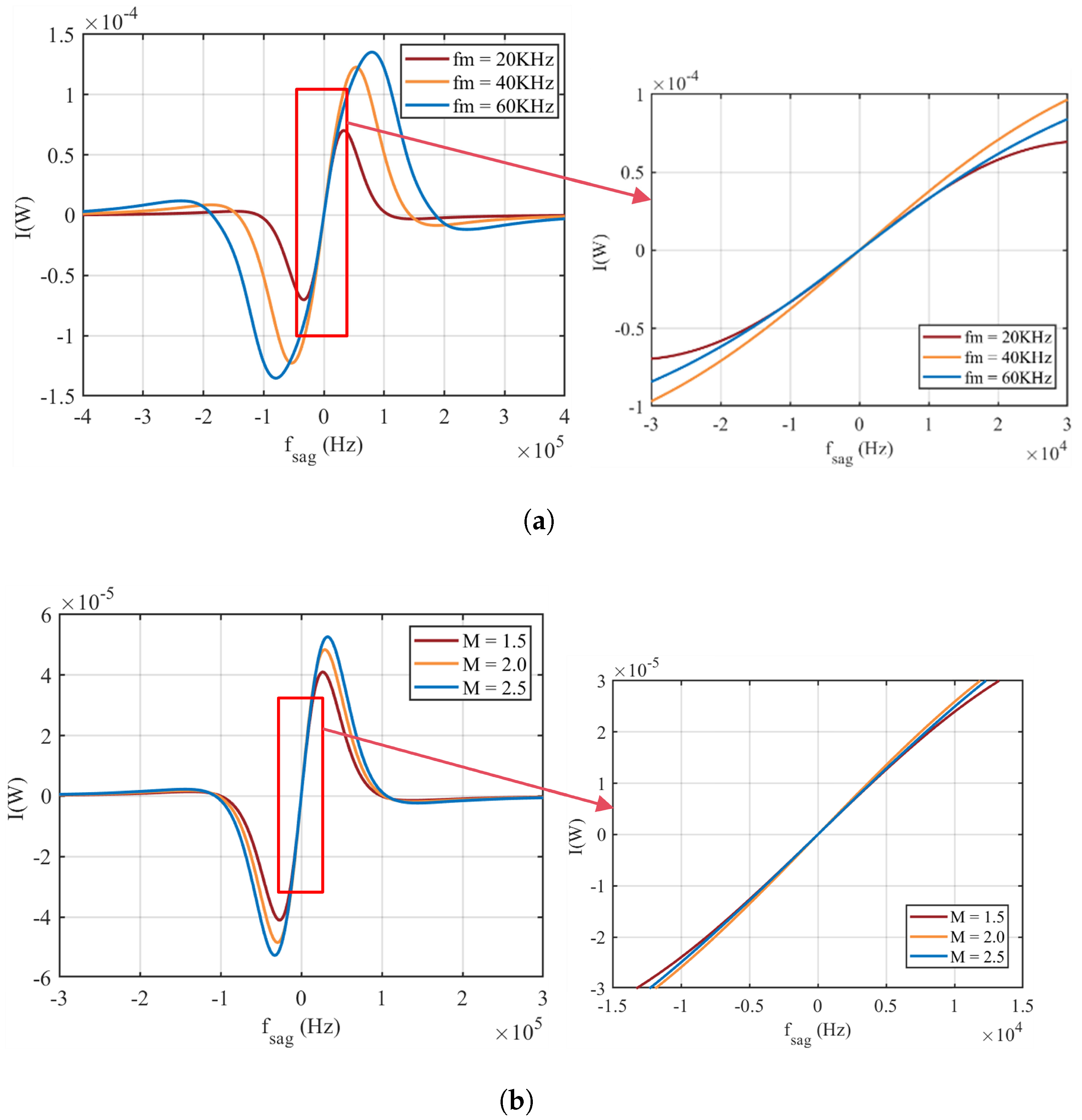
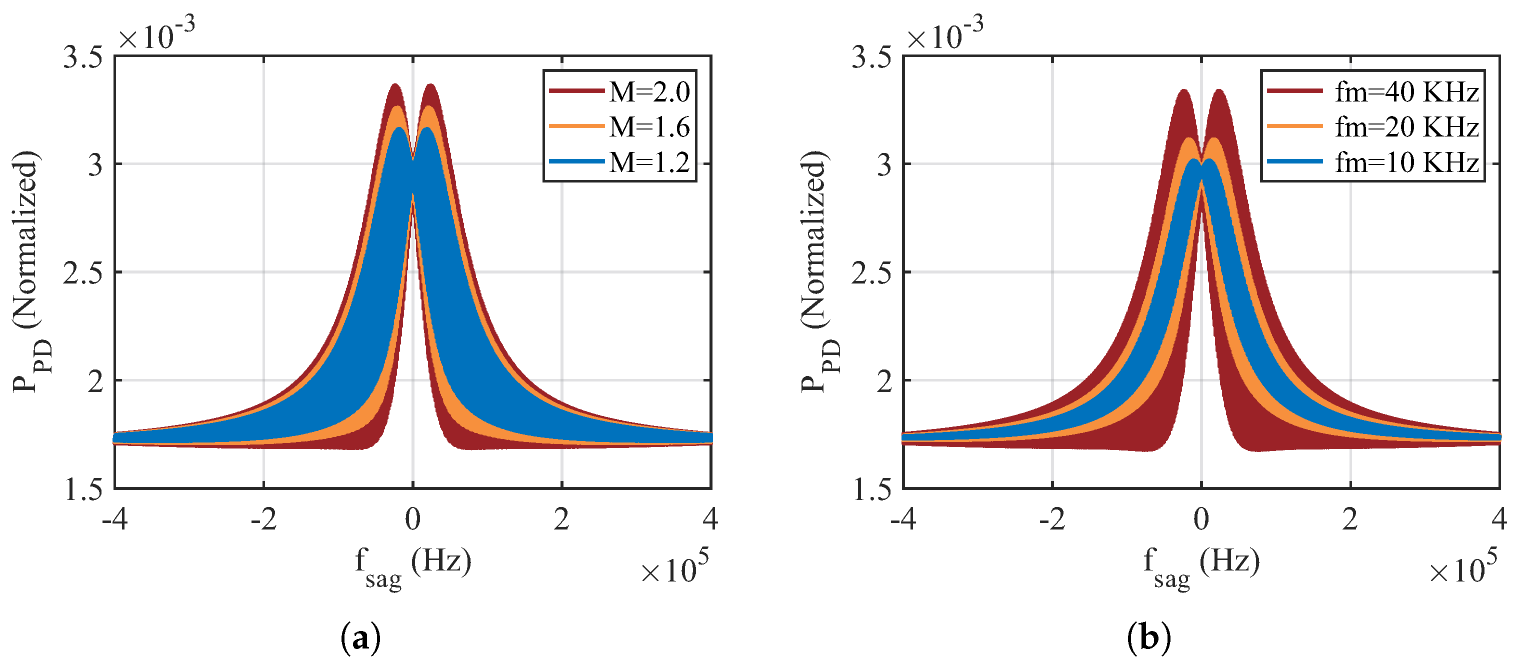
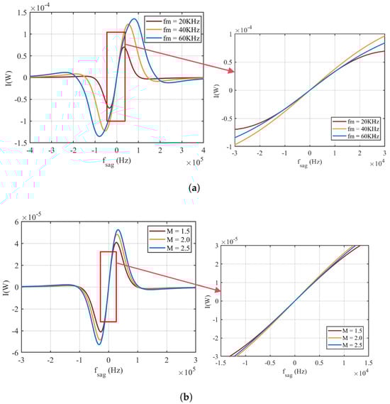
3.1. W-RFOG with Triangular Wave Modulation Technology
3.2. W-RFOG with Sine Wave Modulation Technology
4. Experimental Results and Discussions
5. Conclusions
Author Contributions
Funding
Data Availability Statement
Conflicts of Interest
References
- Udd, E. An overview of the development of fiber gyros. In Optical Waveguide and Laser Sensors; Lieberman, R.A., Sanders, G.A., Scheel, I.U., Eds.; International Society for Optics and Photonics; SPIE: Cergy Pontoise, France, 2020; Volume 11405, p. 1140502. [Google Scholar]
- Wei, W. Development of new inertial technology and its application in aerospace field. Infrared Laser Eng. 2016, 45, 301001. [Google Scholar] [CrossRef]
- Liu, Y.; Wang, C.; Luo, G.; Ji, W. Design and applications of drilling trajectory measurement instrumentation in an ultra-deep borehole based on a fiber-optic gyro. Geosci. Instrum. Methods Data Syst. 2020, 9, 79–104. [Google Scholar] [CrossRef]
- Suo, X.; Yu, H.; Wu, X. Integrated Interferometric Fiber Optic Gyroscope Employing a Photo-Electronic Chip. IEEE Photonics Technol. Lett. 2022, 34, 1250–1253. [Google Scholar] [CrossRef]
- Liu, C.; Gao, C.; Yang, H.; Xu, X.; Song, N. Review on Stimulated Brillouin Scattering Effects and Their Applications in Integrated Optical Gyroscopes. Chin. J. Lasers 2022, 49, 192–206. [Google Scholar]
- Meyer, R.E.; Ezekiel, S.; Stowe, D.W.; Tekippe, V.J. Passive fiber-optic ring resonator for rotation sensing. Opt. Lett. 1983, 8, 644–646. [Google Scholar] [CrossRef] [PubMed]
- Hu, J.; Liu, S.; Liu, L.; Ma, H. Closed-Loop Resonant Fiber-Optic Gyroscope with a Broadband Light Source. J. Light. Technol. 2023, 41, 6088–6093. [Google Scholar] [CrossRef]
- Li, Y.; Bai, Y.; Zhang, S.; Bu, H.; Wenyao, L. Research on frequency locking and error feedback technology of resonant optical microcavity gyro. Electron. Meas. Technol. 2025, 48, 142–149. [Google Scholar]
- Wang, J.; Li, J.; Lan, S. Design and realization of a scheme for differential resonant hollowcore photonic crystal fiber gyro. J. Chin. Inert. Technol. 2020, 28, 802–808. [Google Scholar]
- Descampeaux, M.; Feugnet, G.; Bretenaker, F.; Debord, B.; Benabid, F.; Gérôme, F.; Amrani, F. Impact of Photonic Bandgap Hollow-Core Fiber Loss Wavelength Dependence on the Performance of RFOG. In Proceedings of the 2022 IEEE International Symposium on Inertial Sensors and Systems (INERTIAL), Avignon, France, 8–11 May 2022; pp. 1–4. [Google Scholar]
- Zhao, S.; Liu, Q.; Ma, H.; He, Z. White-light-driven resonant fiber-optic gyro based on round trip filtering scheme. Opt. Lett. 2022, 47, 1137–1140. [Google Scholar] [CrossRef]
- Li, H.; Lin, Y.; Liu, L.; Ma, H.; Jin, Z. Signal processing improvement of passive resonant fiber optic gyroscope using a reciprocal modulation-demodulation technique. Opt. Express 2020, 28, 18103–18111. [Google Scholar] [CrossRef] [PubMed]
- Zhao, S.; Liu, Q.; Liu, Y.; Ma, H.; He, Z. Navigation-grade resonant fiber-optic gyroscope using ultra-simple white-light multibeam interferometry. Photonics Res. 2022, 10, 542–549. [Google Scholar] [CrossRef]
- Wu, F.; Li, J.; Lan, S.; Gao, T.; Cheng, J.; Yue, Y. Angle random walk improvement method of theSLD-light-source-driven resonant fiber optic gyroscope. J. Chin. Inert. Technol. 2022, 30, 359–364. [Google Scholar]
- Liu, S.; Hu, J.; Wang, Y.; Liu, Q.; Ma, H.; He, Z. Broadband source-driven resonant micro-optic gyroscope based on a multi-turn waveguide-type ring resonator. Opt. Lett. 2023, 48, 1152–1155. [Google Scholar] [CrossRef]
- Wang, Z.; Wang, G.; Kumar, S.; Marques, C.; Min, R.; Li, X. Recent Advancements in Resonant Fiber Optic Gyro—A Review. IEEE Sens. J. 2022, 22, 18240–18252. [Google Scholar] [CrossRef]
- Liu, S.; Hu, J.; Wang, Y.; Wang, H.; Liu, L.; Ma, H. Improving the Performance of Broadband Source-Driven Resonant Fiber-Optic Gyroscopes. J. Light. Technol. 2024, 42, 6417–6423. [Google Scholar] [CrossRef]
- Xu, C.; Yang, L.; Wang, Y.; Chen, Z.; Jin, T.; Zhang, Y. Suppression of RIN in broadband source-driven RFOG using a light intensity fluctuation offset technique. Opt. Commun. 2025, 580, 131588. [Google Scholar] [CrossRef]
- Liu, S.; Liu, L.; Hu, J.; Li, H.; Liu, Q.; Ma, H.; He, Z. Performance of a resonant fiber-optic gyroscope based on a broadband source. Appl. Opt. 2022, 61, 4971–4979. [Google Scholar] [CrossRef]
- Liu, S.; Liu, L.; Hu, J.; Liu, Q.; Ma, H.; He, Z. Reduction of relative intensity noise in a broadband source-driven RFOG using a high-frequency modulation technique. Opt. Lett. 2022, 47, 5100–5103. [Google Scholar] [CrossRef] [PubMed]
- Xu, K.; Zhou, Y.; Xue, F.; Wang, Y.; Liu, W.; Tang, J.; Liu, J. Resonant fiber optic gyroscope driven by a broadband light source based on an over-coupled state fiber ring resonator. Appl. Opt. 2024, 63, 4840–4847. [Google Scholar] [CrossRef]
- Wang, Y.; Liu, S.; Hu, J.; Li, B.; Ma, H. Resonant fiber-optic gyroscope driven by broadband source with low cost and high accuracy. Acta Opt. Sin. 2025, 45, 153–160. [Google Scholar]
- Yan, B.; Li, J.; Wu, F.; Lan, S.; Cao, K.; Yue, Y. Analysis of the influence of modulation and demodulation parameters on the angular random walk of resonant fiber optic gyroscopes. J. Chin. Inert. Technol. 2025, 33, 722–726. [Google Scholar]
- Lan, S.; Li, J.; Wu, F.; Yan, B.; Su, Z.; Yue, Y. Analysis of resonance characteristics of resonant fiber opticgyroscope with broadband spectrum light source. J. Chin. Inert. Technol. 2024, 32, 300–307. [Google Scholar]
- Li, R.; He, J. Research on the Effects of Modulation Signal Frequencyto Resonator Fiber Optic Gyroscopes. Chin. J. Sens. Actuators 2007, 20, 2400–2403. [Google Scholar]
- Miao, W.; Zhao, H.; Yu, F.; Li, L. A High-Extinction-Ratio Resonator for Suppressing Polarization Noise in Hollow-Core Photonic-Crystal Fiber Optic Gyro. Photonics 2025, 12, 1126. [Google Scholar] [CrossRef]


















| Modulation Waveforms | Sensitivity Coefficient ( W/Hz) |
|---|---|
| 70 KHz Sine Wave | 8.55 |
| 31.5 KHZ Triangular Wave | 3.00 |
| Modulation Waveforms | ARW () | BI (deg/h) |
|---|---|---|
| 70 KHz Sine Wave | 0.0259 | 0.0529 |
| 31.5 KHZ Triangular Wave | 0.0546 | 0.0656 |
Disclaimer/Publisher’s Note: The statements, opinions and data contained in all publications are solely those of the individual author(s) and contributor(s) and not of MDPI and/or the editor(s). MDPI and/or the editor(s) disclaim responsibility for any injury to people or property resulting from any ideas, methods, instructions or products referred to in the content. |
© 2026 by the authors. Licensee MDPI, Basel, Switzerland. This article is an open access article distributed under the terms and conditions of the Creative Commons Attribution (CC BY) license.
Share and Cite
Yang, W.; Zhu, H.; Gao, W.; Li, L.; Wang, G. Research on Signal Processing Methods for White-Light-Driven Resonant Fiber Optic Gyroscope. Photonics 2026, 13, 124. https://doi.org/10.3390/photonics13020124
Yang W, Zhu H, Gao W, Li L, Wang G. Research on Signal Processing Methods for White-Light-Driven Resonant Fiber Optic Gyroscope. Photonics. 2026; 13(2):124. https://doi.org/10.3390/photonics13020124
Chicago/Turabian StyleYang, Wenjing, Hongtao Zhu, Wei Gao, Lingyu Li, and Guochen Wang. 2026. "Research on Signal Processing Methods for White-Light-Driven Resonant Fiber Optic Gyroscope" Photonics 13, no. 2: 124. https://doi.org/10.3390/photonics13020124
APA StyleYang, W., Zhu, H., Gao, W., Li, L., & Wang, G. (2026). Research on Signal Processing Methods for White-Light-Driven Resonant Fiber Optic Gyroscope. Photonics, 13(2), 124. https://doi.org/10.3390/photonics13020124

