Next Article in Journal
Angle-Scanning and Size-Scaling Pixelated Quasi-BIC Metasurface Array for Broadband Terahertz Fingerprint Biosensing
Next Article in Special Issue
Research on Signal Processing Methods for White-Light-Driven Resonant Fiber Optic Gyroscope
Previous Article in Journal
Solar-Blind Mobile Deep Ultraviolet Optical Communication Utilizing Photomultiplier Tubes
Previous Article in Special Issue
Structure-Modulated Long-Period Fiber Gratings: A Review
 
 
Font Type:
Arial Georgia Verdana
Font Size:
Aa Aa Aa
Line Spacing:
Column Width:
Background:
Article

A High-Extinction-Ratio Resonator for Suppressing Polarization Noise in Hollow-Core Photonic-Crystal Fiber Optic Gyro

The School of Instrumentation Science and Engineering, Harbin Institute of Technology, Harbin 150001, China
*
Author to whom correspondence should be addressed.
Photonics 2025, 12(11), 1126; https://doi.org/10.3390/photonics12111126
Submission received: 1 July 2025 / Revised: 22 October 2025 / Accepted: 7 November 2025 / Published: 14 November 2025
(This article belongs to the Special Issue Optical Fiber Sensors: Design and Application)

Abstract

Polarization-induced noise remains a primary source of bias drift, fundamentally limiting the performance of hollow-core photonic-crystal fiber optic gyroscopes (HC-RFOGs). To overcome this limitation, we propose and demonstrate a novel resonator design with an intrinsically high polarization extinction ratio (PER). The resonator’s core innovation is a four-port coupler architecture that strategically integrates a pair of polarization beam splitters (PBSs) with conventional beam splitters (BSs). This configuration functions as a high-fidelity polarization filter, suppressing undesired polarization states for both clockwise and counter-clockwise propagating light within the hollow-core fiber loop. Our theoretical model predicts that the effective in-resonator PER can exceed 48 dB, which is sufficient to mitigate polarization-related errors for tactical-grade applications. Experimental validation of a prototype HC-RFOG incorporating this resonator yields a bias instability of 1.34°/h and an angle random walk (ARW) of 0.078 ° / h (with a 200 s averaging time). These results confirm that engineering a high-polarization-extinction-ratio resonator (HPERR) is a potent and direct pathway to substantially reducing polarization noise and advancing the performance of HC-RFOGs.

1. Introduction

Similarly to the interferometric fiber optic gyroscope (IFOG), the resonator fiber optic gyroscope (RFOG) is a Sagnac effect–based angular velocity sensor. The concept of RFOG was first proposed by Meyer and Ezekiel in 1981 as a second generation of fiber-optic gyroscope [1]. Hollow-core photonic-crystal fibers (HC-PCFs) exhibit significant advantages in low temperature sensitivity and suppressed nonlinear effects compared to conventional polarization-maintaining fibers (PMFs), Thus, hollow-core photonics-crystal fiber gyroscopes (HC-RFOGs) have demonstrated potential for applications in navigation and high-precision sensing [2]. However, numerous sources of noise can degrade their performance, preventing them from fully meeting the requirements of practical applications.
Polarization noise related to temperature is considered one of the primary optical noise sources limiting the performance improvement of the HC-RFOG [3]. The resonator consists of a coupler and a fiber loop sensitive to angular velocity. Due to the inevitable presence of alignment angle errors within the coupler, two eigenstates emerge in the resonator [4]. Alignment angle errors, which refer to the slight angular misalignments between the polarization axes of the fiber ports and the principal axes of optical components like the PBS. The relative position of the resonance curves corresponding to these two polarization eigenstates (ESOP) shifts as the birefringence value of the fiber loop changes. When the change in the product of the birefringence and the resonator length equals an integer multiple of the optical wavelength, the relative position of the resonance curves associated with the two polarization eigenstates undergoes a periodic shift [5]. When detecting angular velocity, the presence of these unintended polarization eigenstates leads to bias drift [6,7].
Many researchers have analyzed the impact of polarization noise on bias stability of the RFOG. R.J. Mears et al. from the University of Southampton compared schemes using high-birefringence fibers with different attenuation levels and proposed utilizing polarizing beam splitters external to the resonator to reduce bias drift [8]. Graeme McRobbie et al. from the University of Strathclyde employed the Jones matrix to elucidate the generation of polarization errors in the RFOG. They proposed and validated an intra-cavity polarizer scheme to enhance the reciprocity of RFOGs [9]. G.A. Sanders et al. from Honeywell introduced a 90-degree polarization rotation technique to decouple polarization effects from temperature variations, thereby reducing bias drift in RFOGs [7]. Xijing Wang from the University of Tokyo proposed a dual 90-degree rotational splice method to exclusively excite a desired polarization eigenstate, though this requires stringent temperature control [10]. Huilian et al. from Zhejiang University demonstrated that dual 90-degree rotational splicing combined with single-polarization fibers effectively mitigates polarization-induced bias noise [11]. The research team led by Lishuang from Beihang University made foundational progress by developing and validating a single polarization resonator structure based on hollow-core photonic-crystal fiber (HCPCF) to suppress undesired polarization eigenstates. Their experimental results confirmed enhanced long-term stability, though the polarization noise suppression capability remained limited, highlighting the need for further improvements in resonator cavity polarization crosstalk suppression [12].
In parallel with efforts to optimize resonator architecture, other research has targeted different subsystems to enhance overall performance. For instance, subsequent work by Jiao et al. focused on the light source, developing low-noise multi-frequency lasers that improved the bias stability to 5.8°/h [13]. Others have explored advanced signal processing, with recent work demonstrating high performance through detection methods based on phase-shift keying (PSK) modulation [14]. Furthermore, theoretical investigations continue to explore alternative device structures, such as those based on nonlinear photonic nanoring resonators, to analyze rotation sensing from a fundamental perspective [15].
While these approaches show progress by addressing laser noise, signal processing, or alternative structures, the direct and robust suppression of polarization noise within the HC-PCF resonator itself remains a fundamental challenge and a key pathway to higher performance. This paper introduces and experimentally validates a novel high-extinction-ratio resonator (HPERR) architecture designed specifically to mitigate polarization-induced errors at their source. We first developed a rigorous mathematical model for the polarization-related bias, with simulations confirming that the HPERR design achieves high-fidelity suppression of undesired polarization states. Experimental implementation of this architecture yielded a significant, bias stability improvement in gyroscope performance from to.
The structure of this paper is arranged as follows: Section 2 introduces the basic principles and structure of the high-extinction-ratio resonator. Section 3 establishes a detailed mathematical model and conducts simulation analysis. Section 4 presents the experimental setup and test results, comparing them with theoretical predictions. Finally, Section 5 summarizes the entire paper.
This paper introduces and experimentally validates a novel high-extinction-ratio resonator (HPERR) architecture designed to mitigate polarization-induced errors. We first developed a rigorous mathematical model for the polarization-related bias, with simulations confirming that the HPERR design achieves high-fidelity suppression of undesired polarization states. Experimental implementation of this architecture yielded a significant, bias stability improvement in gyroscope performance from 17.26 ° / h to 1.34 ° / h .

2. Principles and Structures

The optical polarization coupler within the HPERR is illustrated in Figure 1a. It consists of four ports (Port 1, Port 2, Port 3, Port 4), a pair of beam splitter prisms (BSP1 and BSP2), and a pair of PBSs (P1 and P2). Counterclockwise-propagating light containing two polarization eigenstates (ESOP1 and ESOP2) enters the cavity through Port 2. Upon reaching BSP2, a portion of the light is transmitted out of the HPERR, while the remaining light is reflected toward P2. At P2, the undesired polarization eigenstate (ESOP2) is reflected and experiences first-stage attenuation, while the desired polarization eigenstate (ESOP1) passes through P2 and propagates into Port 4. The light then traverses the ring and arrives at Port 3. From Port 3, it propagates to P1. Here, ESOP2 are reflected by P1, undergoing second-stage attenuation, while the desired polarization state continues through P1 to BSP1. At BSP1, a fraction of the light is reflected toward Port 1, and the remaining light re-circulates within the resonator for a second round of propagation. The full resonator structure is depicted in Figure 1b. This dual-attenuation process for the undesired polarization state is the core mechanism for achieving a high effective polarization extinction ratio (PER), which is key to suppressing polarization noise. The quantitative mathematical model linking the structure to its effective PER will be developed in the following section.
The transfer function H , transmission efficiency η , and finesse F of ESOP1 in the HERR can be expressed as
H = A 2 1 2 B cos ( 2 π f τ ) + B 2
η = A 2 1 B 2
F = π arccos 2 B 1 + B 2
A = α D α C α R
B = α P L 1 R
α P L = α P α B α L α C
Among these, α D represents the coupling loss between different fiber ports, α C represents the coupling loss between the same fiber ports, α P represents the loss of the PBS, α B represents the loss of the BSP, α L represents the loss incurred when light propagates one full cycle within a HCPCF ring of length, R represents the reflection coefficient of the BSP, f represents the laser’s central frequency, τ represents the time it takes for light to propagate one full cycle within the resonator, α P L represents the periodic loss per round trip of light in the resonator.
To achieve high sensitivity of the HC-RFOG, it is necessary to optimize the controllable parameters of the resonator. As shown in Figure 2a, when α P L is a constant, the relationship between intensity of the resonance curve and R is simulated. As it tells that the smaller the value of R , the smaller the maximum intensity of the resonance curve. Figure 2b shows the simulated results of the relationship between F and R when α P L takes different values. It can be observed that, F decreases as R increasing with under constant α P L . Figure 2c shows the simulated relationship between η and R when α P L takes different values. As it shows that η increases as R increases with constant α P L . F η is the primary parameter determining the final sensitivity of the RFOG [16]. Figure 2d shows the simulated relationship between F η and R when α P L takes different values. From the figure, it can be seen that when α P L takes different values, an appropriate R value can be selected to achieve the maximum value of F η .

3. Mathematical Modeling and Simulation

The temperature-dependent bias drift of RFOGs arises from undesirable polarization eigenstates. When the phase difference between two co-propagating polarization eigenstates in the resonator reaches an integer multiple of 2 π during propagation, their optical powers become balanced, maximizing polarization-induced errors.
To eliminate such polarization errors, a resonator supporting only single-polarization eigenstate transmission becomes essential. This requirement stems from the fact that polarization-mode dispersion and birefringence effects in optical cavities critically influence error dynamics.
For a resonator with incident ports, the electric field intensities of clockwise (CW) and counterclockwise (CCW) propagating lights can be expressed as
E C W _ 0 = e i ζ C W cos ( φ C W ) s i n ( φ C W ) ; E C C W _ 0 = e i ζ C C W cos ( φ C C W ) s i n ( φ C C W )
Let φ C W and φ C C W denote the angles between the polarization directions of CW and CCW propagating lights and the polarization axis of the fiber, respectively. Let ζ C W and ζ C C W represent the phases of the CW and CCW lights. For computational simplicity, these phases are initialized to φ C W = φ C C W = 0 , ζ C W = ζ C C W = 0 . The transmission matrices for components within the resonator are defined as follows
C + = cos θ sin θ sin θ cos θ ;         C = cos θ sin θ sin θ cos θ C e + = cos ϕ sin ϕ sin ϕ cos ϕ ; C e = cos ϕ sin ϕ sin ϕ cos ϕ
C t = α B S P 1 R 0 0 1 R
C P 1 = C P 2 = α P 0 0 α P P B S
C r = α B S P R e i π 0 0 α P B S R e i π
C L C W = α L e i β L e i 1 2 ( Δ β L + ω ) 0 0 e i 1 2 ( Δ β L + ω )
C L C C W = α L e i β L e i 1 2 ( Δ β L ω ) 0 0 e i 1 2 ( Δ β L ω )
β = π f ( n x + n y ) c ; Δ β = 2 π f ( n x n y ) c
Here, C + is transmission matrix for CW light propagating between the polarizing beam splitter and the coupler port, C is transmission matrix for CCW light propagating between the PBS and the coupler port, C e + is transmission matrix for CW light between the PBS and the beam splitter. C e is transmission matrix for CCW light between the PBS and the BS, C P 1 , C P 2 correspond to Jones matrices of PBS1 and PBS2, respectively, which mathematically describe their polarization-separating function discussed in Section 2. C t is transmission Jones matrix of the beam splitter, C r is reflection Jones matrix of the BS. C L is transmission matrix of the fiber ring, θ is misalignment angle between the coupler port fiber and the PBS, ϕ is Installation misalignment angle between the beam splitter and the PBS, PER corresponds polarization extinction ratio of the PBS, respectively, β is average propagation constant of the HCPCF, Δ β is birefringence-induced propagation constant difference in the HCPCF. n x and n y represent the refractive indices of the slow and fast axes of the HCPCF, respectively. c denotes the speed of light in vacuum ω is phase difference between CW and CCW light induced by the angular velocity sensed by the resonator.
As previously discussed, the core of this resonator design is to achieve a high effective polarization extinction ratio P E R e q . This key parameter can be mathematically expressed as:
E i = E x i E y i = e i μ e i ( μ + ψ )
E 0 = E x 0 E y 0 = C P 1 C e + C e + C P 2 E i
P E R e q = log 10 ( E y 0 / E x 0 )
Among that, E i denotes the normalized electric field intensity of light incident on the first PBS, E o represents the normalized electric field intensity transmitted through the second PBS, μ represents the common phase shared by E x i and E y i , ψ denotes the phase difference between E x i and E y i . The photocurrent I C W and I C C W detected by photodetectors can be expressed as
R C W _ i n = α D C + C P 1 C e + C r C +
R C W _ o u t = α D C + C r C e + C P 2 C +
T C W = C + C P 1 C e + C t C t C e + C P 2 C + α C C L
E C W _ o u t = R C W _ o u t ( I T C W ) 1 C L R C W _ i n E C W _ 0
R C C W _ i n = α D C C P 2 C e C r C
R C C W _ o u t = α D C C r C e C P 2 C
T C C W = C C P 2 C e C t C t C e C P 1 C α C C L
E C C W _ o u t = R C C W _ o u t ( I T C C W ) 1 C L R C C W _ i n E C C W _ 0
I C W = E C W _ o u t E C W _ o u t
I C C W = E C C W _ o u t E C C W _ o u t
Here, R C W _ i n , R C C W _ i n denote the Jones matrices of the two beams incident on the resonator from Port1 and Port2, respectively, R C W _ o u t and R C C W _ o u t represent the Jones matrices of the light propagating from the resonator to photodetectors, T C W , T C C W correspond to the round-trip Jones matrices for CW and CCW propagation within the resonator, E C W _ o u t , E C C W _ o u t describe the electric field equations of the two optical paths arriving at the photodetector, while I C W and I C C W represent the photocurrent intensities of the two detected signals. The resonant frequencies f C W and f C C W corresponding to CW and CCW paths of the resonator can be derived by
I C W f f C W = 0   ; I C C W f f C C W = 0
The bias error Ω e of the gyro induced by polarization noise can be represented as
Ω e = 2 π λ D ( f C W f C C W )
In Equation (8), λ denotes the optical wavelength, while D denotes the diameter of the fiber loop.
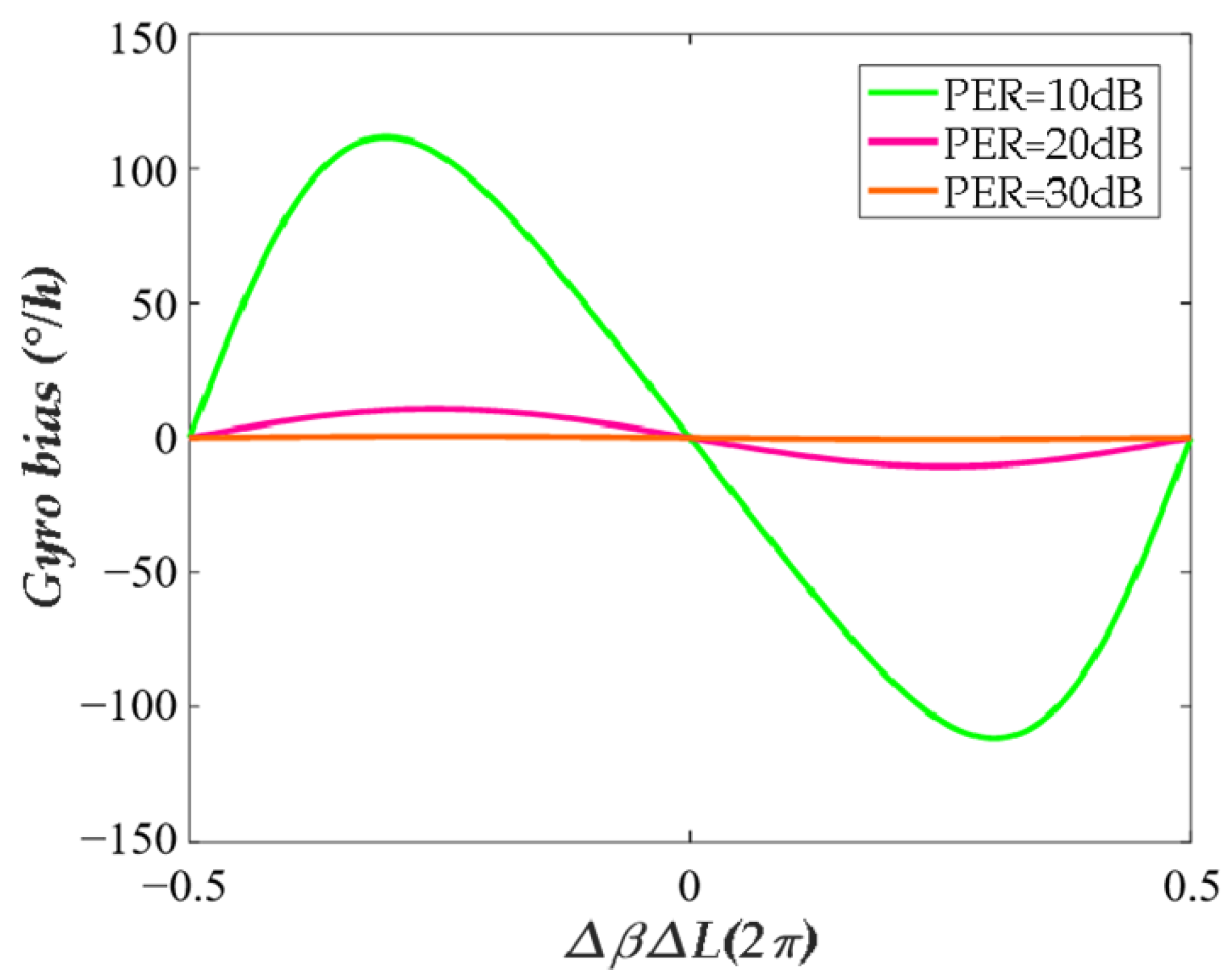
As the phase difference ΔβΔL between the two co-propagating polarization eigenstates varies from 0 to 2π (where ΔL = Δn * L, L is the length of the HCPCF loop, Δn is the fiber’s birefringence and Δβ is the propagation constant difference induced by the Δn), their respective resonance curves drift relative to each other. This drift causes a shift in the servo system’s frequency locking point, which is incorrectly demodulated as a Sagnac frequency shift, thereby generating the gyro bias error Ωe.
It is important to clarify the assumptions made in this model. The model is not entirely idealized, as it explicitly incorporates the finite polarization extinction ratio of the polarizing beam splitters (PER_PBS) within their Jones matrices (Equations (11) and (12)). However, to maintain a tractable model, secondary effects such as cross-polarization and crosstalk in the beam splitters, as well as optical leakage between the coupler ports, have been omitted. While these non-ideal effects are considered minor, they likely contribute to the observed discrepancies between the simulation results and the experimental data.
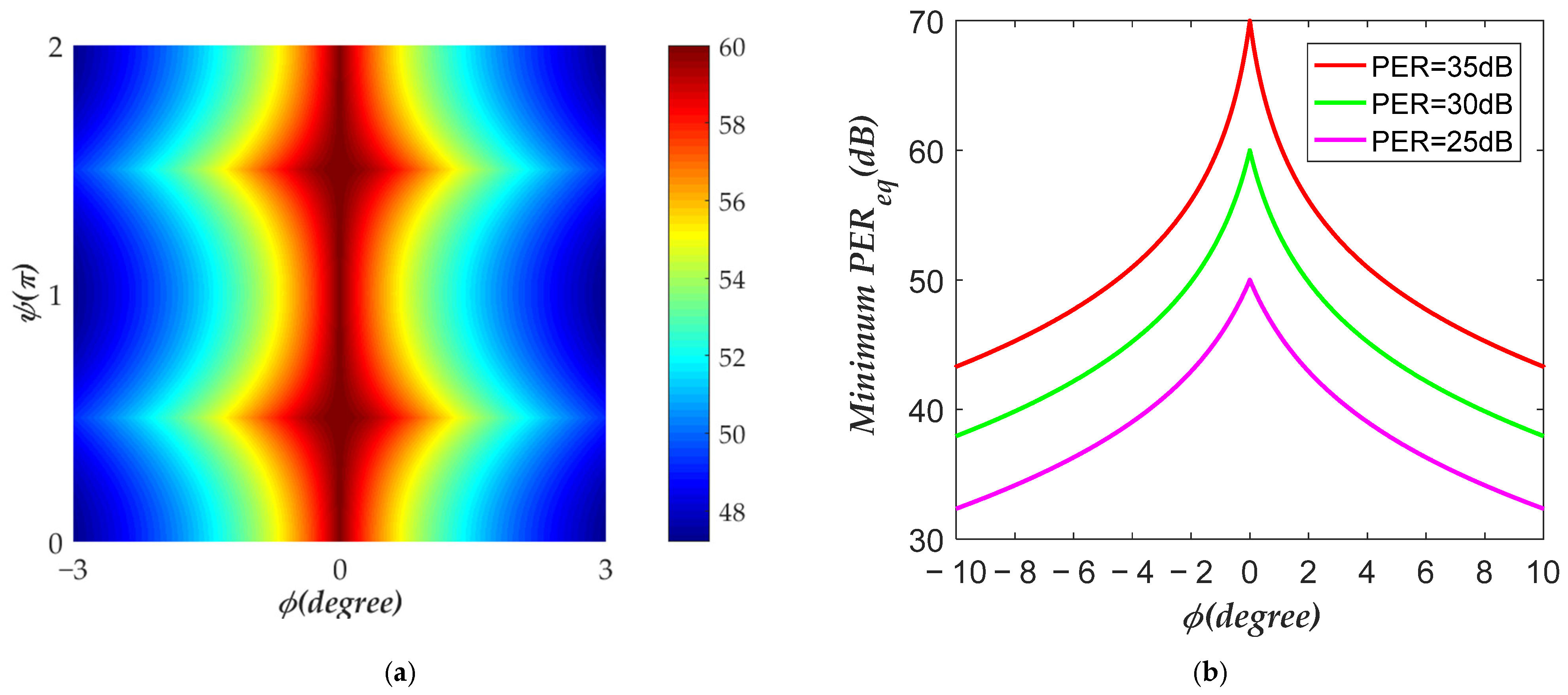
φ C W , φ C W and θ are set to 5 ° . The PBS and the BSP within the coupler are fixed in grooves laser-etched into the silicon substrate. The range of ϕ is 3 ° ~ 3 ° . α is set to 0.9 dB , and P E R is set to 30 dB . Figure 3a shows a simulation of the relationship between P E R e q and ϕ as ψ varies from 0 to 2 π . As the absolute value of ϕ decreases, P E R e q increases, and this variation exhibits periodic behavior depending on the value of ψ . Figure 3b shows the simulation of the relationship between the minimum value of P E R e q and ϕ . As PER increases, the rate at which ϕ decreases with the absolute value of P E R e q becomes faster. Figure 4 presents the simulation of the relationship between Ω e and Δ β Δ L . The larger the P E R , the stronger the resonator’s ability to suppress polarization noise. When P E R is 30 dB reaches a certain value, the theoretical value of Ω e is less than 0.1 ° / h . The 48 dB value cited in the abstract is derived from these simulations, representing the lower limit of the effective PER achievable under the specified simulation conditions, as illustrated in Figure 3.

4. Experimental Results and Discussions

The sensing coil in our experiment was constructed using a commercial hollow-core photonic-crystal fiber (HC-PCF), model HC-1550-02 from NKT Photonics (as shown in Figure 5). This fiber is designed for a central wavelength of 1550 nm, featuring a hollow core with a diameter of 10 ± 1 µm and a mode field diameter of 9 ± 1 µm. A critical characteristic for our application is its specified attenuation of 30 dB/km at 1550 nm. The fundamental advantage of this fiber is that over 95% of the optical power is confined within the air core, which drastically reduces material nonlinearities—a key factor in mitigating noise sources within the gyroscope.
The system configuration of the HC-RFOG employing the HPERR is illustrated in Figure 6. Light from a tunable narrow-linewidth laser is split by a coupler into two beams of equal optical power. These two beams are separately modulated by phase modulators PM1 and PM2 with different-frequency sine waves 45 KHz and 46 KHz. By adjusting the amplitude of these sine waves, bias drift arising from backscattering can be effectively suppressed. In addition, the phase modulator is also the core component of the closed-loop frequency-locking servo system. By modulating the phase of light and demodulating it with a lock-in amplifier, an error signal proportional to the deviation of the laser frequency from the resonance peak can be obtained. This signal is fed back to the PI controller, thereby precisely locking the laser frequency to the resonance peak, which is a necessary technology for achieving high-precision RFOG. Photodetectors PD1 and PD2 convert the CCW and CW optical signals emerging from the resonator into electrical signals, respectively. In the signal processing module SP1, the CCW signal is first routed through a lock-in amplifier LIA1 and then fed into a PI controller to stabilize the laser’s frequency. As a result, the laser is locked to the resonant frequency of the CCW optical path. In the signal processing module SP2, the CW signal passes through a lock-in amplifier LIA2 and a low-pass filter LPF. The digital output from SP2 is subsequently taken as the angular rate measured by the HC- RFOG.
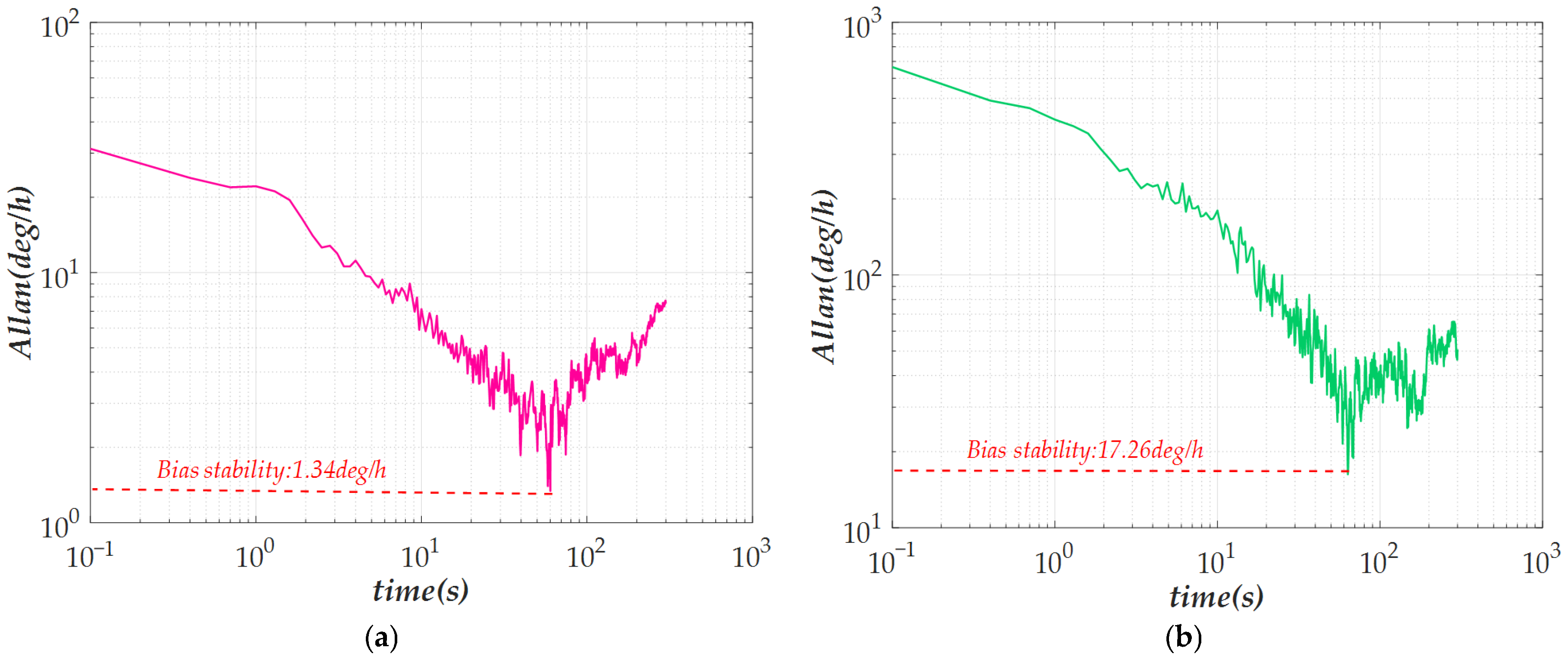
The HC-RFOG employing the HPERR scheme was tested. The measured resonator is shown in Figure 7. This result is attributed to the HPERR architecture, in which the dual-PBS configuration acts as a high-fidelity cascaded filter, selecting and attenuating the undesired polarization state twice. Only a single polarization state was excited within the resonator. The periodic loss is 0.9 dB, R is 0.05, and F is 20. Meanwhile, η is 8.4% and F η is 5.9. Furthermore, the Allan deviation is analyzed based on 1200 s gyros precision tests. As shown in Figure 8a, the bias stability within 200 s of averaging is 1.34 ° / h , and the ARW was 0.078 ° / h . At the same time, the Allan deviation of the HC-RFOG without the HPERR scheme is also analyzed. As shown in Figure 8b, its bias stability is 17.26 ° / h , and the ARW was 0.34 ° / h . Compared with the HC-RFOG without the HPERR scheme, the bias stability of the HC-RFOG employing the HPERR scheme improved by a factor of 13, and the ARW improved by a factor of 4.
Compared to earlier studies that also employed hollow-core photonic-crystal fiber (HC-PCF), the results presented in this paper represent a significant performance breakthrough. For example, Jiao et al. achieved a bias instability of 2.0°/h in 2017 using a transmissive single-beam splitter resonator, which was already a notable advancement at the time. Subsequently, in 2018, they further improved long-term bias stability to 20°/h by adopting a single-polarization resonator based on a micro-optic polarization coupler. In contrast, this study introduces an innovative high-polarization-extinction-ratio resonator (HPERR) architecture, achieving a bias instability of 1.34°/h—approximately 20 times better than the aforementioned study, respectively. This comparison clearly demonstrates that even when using conventional HC-PCF of the same type, the proposed HPERR architecture exhibits exceptional capability in suppressing polarization noise, serving as the key factor enabling an order-of-magnitude leap in performance. Consequently, the precision of HC-RFOG has been elevated from industrial or basic tactical grade to the threshold of high-end tactical grade and even navigation grade.

5. Conclusions

In this study, we primarily focus on verifying the principle effectiveness of the High-Polarization-Extinction-Ratio Resonator (HPERR) in suppressing polarization noise, so the experiments were conducted in a relatively stable laboratory environment. We believe that this solution has inherent advantages in terms of environmental adaptability. First, the hollow-core photonic-crystal fiber (HC-PCF) used in the research inherently exhibits significantly lower temperature sensitivity and nonlinear effects compared to traditional polarization-maintaining fibers. This fundamentally reduces errors caused by temperature fluctuations. Second, the core design of our HPERR aims to achieve an extremely high polarization extinction ratio, making the resonator less sensitive to residual birefringence fluctuations induced by stress, vibration, or temperature changes, thereby maintaining a more stable single-polarization operation. Nevertheless, comprehensive environmental adaptability tests—including temperature cycling tests over a wide temperature range and performance evaluations under various vibration conditions—are crucial for validating the tactical-grade application potential of this gyroscope. This aspect will be the focus of our next phase of research, during which we will develop a more robust and compact integrated prototype and conduct systematic environmental stability tests.
In conclusion, we have successfully designed and demonstrated a high-polarization-extinction-ratio resonator (HPERR) that effectively suppresses polarization-induced noise in HC-RFOGs by ensuring high-fidelity, single-polarization-state operation. The prototype gyroscope achieved a bias instability of 1.34 ° / h and an angle random walk of 0.078 ° / h over a 200 s averaging time, performance metrics that validate the design’s suitability for tactical-grade applications. While these results are significant, a performance gap remains between the experimental data and the theoretical limit. Our analysis indicates that this discrepancy is primarily caused by residual backscattering noise, which was not completely suppressed. Therefore, mitigating backscattering-induced errors represents the next critical step in our research and is essential for unlocking the full potential of this high-performance HC-RFOG architecture.

Author Contributions

Software, L.L.; Writing—original draft, W.M.; Writing—review & editing, W.M.; Visualization, F.Y.; Funding acquisition, H.Z. All authors have read and agreed to the published version of the manuscript.

Funding

The APC was funded by [ASFC-2023Z074077001].

Data Availability Statement

The original data contributions presented in the study are included in the article; further inquiries can be directed to the corresponding authors.

Conflicts of Interest

The authors declare no conflict of interest.

References

  1. Meyer, R.E.; Ezekiel, S.; Stowe, D.W.; Tekippe, V.J. Passive Fiber-Optic Ring Resonator for Rotation Sensing. Opt. Lett. 1984, 8, 644–646. [Google Scholar] [CrossRef] [PubMed]
  2. Smith, S.P. Position, Navigation, and Timing Technologies in the 21st Century: Integrated Satellite Navigation, Sensor Systems, and Civil Applications. Inert. Navig. Sens. 2020, 2, 1413–1434. [Google Scholar]
  3. Jiao, H.; Feng, L.; Wang, J.; Wang, K.; Yang, Z. Transmissive single-beam-splitter resonator optic gyro based on a hollow-core photonic-crystal fiber. Opt. Lett. 2017, 42, 3016–3019. [Google Scholar] [CrossRef] [PubMed]
  4. Iwatsuki, K.; Hotate, K.; Higashiguchi, M. Eigenstate of polarization in a fiber ring resonator and its effect in an optical passive ring-resonator gyro. Appl. Opt. 1986, 25, 2606–2612. [Google Scholar] [CrossRef] [PubMed]
  5. Sanders, G.A.; Rouse, G.F.; Strandjord, L.K.; Demma, N.A.; Miesel, K.A.; Chen, Q.Y. Resonator Fiber-Optic Gyro Using LiNbO3 Integrated Optics At 1.5-m Wavelength. Proc. SPIE 1989, 985, 202–210. [Google Scholar]
  6. Liu, H.; Wang, W.; Wang, J.; Feng, L.; Zhi, Y. In-line polarizer used in all-0°-splice resonator fiber-optic gyro. Appl. Opt. 2013, 52, 7821–7825. [Google Scholar] [CrossRef] [PubMed]
  7. Sanders, G.A.; Smith, R.B.; Rouse, G.F. Novel Polarization-Rotating Fiber Resonator For Rotation Sensing Applications. In Fiber Optic and Laser Sensors VII; SPIE: Pune, India, 1990. [Google Scholar] [CrossRef]
  8. Mears, R.J.; Varnham, M.P.; Payne, D.N.; Barlow, A.J. Polarisation control in resonant-ring fibre gyroscopes. In Proceedings of the Event: 2nd International Conference on Optical Fiber Sensors, Stuttgart, Germany, 5–7 September 1984. [Google Scholar] [CrossRef]
  9. Mcrobbie, G.; Andonovic, I.; Culshaw, B.; Malvern, A. Effect on gyro drift with an in-loop polarizer in an optical passive ring resonator. Proc. SPIE 1992. [Google Scholar] [CrossRef]
  10. Wang, X.; He, Z.; Hotate, K. Polarization-noise suppression by twice 90° polarization-axis rotated splicing in resonator fiber optic gyroscope. In Proceedings of the 2009 Conference on Lasers and Electro-Optics and 2009 Conference on Quantum electronics and Laser Science Conference, Baltimore, MD, USA, 2–4 June 2009. [Google Scholar]
  11. Yan, Y.; Ma, H.; Jin, Z. Reducing polarization-fluctuation induced drift in resonant fiber optic gyro by using single-polarization fiber. Opt. Express 2015, 23, 2002–2009. [Google Scholar] [CrossRef] [PubMed]
  12. Jiao, H.; Feng, L.; Liu, N.; Yang, Z. Improvement of long-term stability of hollow-core photonic-crystal fiber optic gyro based on single-polarization resonator. Opt. Express 2018, 26, 8645–8655. [Google Scholar] [CrossRef] [PubMed]
  13. Rezaei, A.; Khavasi, A.; Karkhaneh, A.D. Theoretical investigation and optimization of rotation sensing in the new photonic crystal gyroscope based on the Sagnac effect using nonlinear photonic resonators. Mod. Phys. Lett. B 2024, 38, 2450137. [Google Scholar]
  14. Liu, Y.; Zhang, G.; Song, N.; Lin, J. Detection Method of Resonant Fiber Optic Gyroscope with Hollow-Core Photonic Crystal Fiber Based on Phase-Shift Keying Modulation. J. Lightwave Technol. 2023, 41, 7715–7723. [Google Scholar]
  15. Feng, L.; Wang, J.; Zhi, Y.; Tang, Y.; Wang, Q.; Li, H.; Wang, W. Transmissive resonator optic gyro based on silica waveguide ring resonator. Opt. Express 2014, 22, 27565–27575. [Google Scholar] [CrossRef] [PubMed]
  16. Ma, H.; Yu, X.; Jin, Z. Reduction of polarization-fluctuation induced drift in resonator fiber optic gyro by a resonator integrating in-line polarizers. Opt. Lett. 2012, 37, 3342–3344. [Google Scholar] [CrossRef] [PubMed]
Figure 1. Schematic of the High-Polarization-Extinction-Ratio Resonator (HPERR). (a) Detailed view of the four-port optical coupler, illustrating the propagation path of counter-clockwise (CCW) light. The desired polarization state (ESOP1) is transmitted through the polarizing beam splitters (P1 and P2), while the undesired state (ESOP2) is reflected and attenuated. (b) The complete structure of the HPERR, showing the integration of the coupler with the hollow-core photonic-crystal fiber (HCPCF) loop.
Figure 1. Schematic of the High-Polarization-Extinction-Ratio Resonator (HPERR). (a) Detailed view of the four-port optical coupler, illustrating the propagation path of counter-clockwise (CCW) light. The desired polarization state (ESOP1) is transmitted through the polarizing beam splitters (P1 and P2), while the undesired state (ESOP2) is reflected and attenuated. (b) The complete structure of the HPERR, showing the integration of the coupler with the hollow-core photonic-crystal fiber (HCPCF) loop.
Photonics 12 01126 g001
Figure 2. Simulation results for the key performance parameters of the HPERR as a function of reflection coefficient (R) and periodic attenuation (αPL). (a) The shape of the resonance curve, where the color scale represents the normalized output intensity. (b) The finesse (F) of the resonator, indicating the sharpness of the resonance peak. (c) The on-resonance transmission efficiency (T), representing the fraction of light transmitted through the resonator at the resonance frequency. (d) The primary performance parameter (F × T), which is proportional to the gyroscope’s ultimate sensitivity.
Figure 2. Simulation results for the key performance parameters of the HPERR as a function of reflection coefficient (R) and periodic attenuation (αPL). (a) The shape of the resonance curve, where the color scale represents the normalized output intensity. (b) The finesse (F) of the resonator, indicating the sharpness of the resonance peak. (c) The on-resonance transmission efficiency (T), representing the fraction of light transmitted through the resonator at the resonance frequency. (d) The primary performance parameter (F × T), which is proportional to the gyroscope’s ultimate sensitivity.
Photonics 12 01126 g002
Figure 3. Simulations of effective polarization extinction ratio PEReq of the resonator. (a) PEReq and (b) minimum PEReq.
Figure 3. Simulations of effective polarization extinction ratio PEReq of the resonator. (a) PEReq and (b) minimum PEReq.
Photonics 12 01126 g003
Figure 4. Simulation of the relationship between bias drift and ∆βL.
Figure 4. Simulation of the relationship between bias drift and ∆βL.
Photonics 12 01126 g004
Figure 5. Cross-sectional photo of HC-PCF.
Figure 5. Cross-sectional photo of HC-PCF.
Photonics 12 01126 g005
Figure 6. Schematic and Photo of the HC-RFOG System.
Figure 6. Schematic and Photo of the HC-RFOG System.
Photonics 12 01126 g006
Figure 7. Measurement of the Resonance Curve.
Figure 7. Measurement of the Resonance Curve.
Photonics 12 01126 g007
Figure 8. Allan deviation of HC-RFOG output (a) with HPERR and (b) without HPERR.
Figure 8. Allan deviation of HC-RFOG output (a) with HPERR and (b) without HPERR.
Photonics 12 01126 g008
Disclaimer/Publisher’s Note: The statements, opinions and data contained in all publications are solely those of the individual author(s) and contributor(s) and not of MDPI and/or the editor(s). MDPI and/or the editor(s) disclaim responsibility for any injury to people or property resulting from any ideas, methods, instructions or products referred to in the content.

Share and Cite

MDPI and ACS Style

Miao, W.; Zhao, H.; Yu, F.; Li, L. A High-Extinction-Ratio Resonator for Suppressing Polarization Noise in Hollow-Core Photonic-Crystal Fiber Optic Gyro. Photonics 2025, 12, 1126. https://doi.org/10.3390/photonics12111126

AMA Style

Miao W, Zhao H, Yu F, Li L. A High-Extinction-Ratio Resonator for Suppressing Polarization Noise in Hollow-Core Photonic-Crystal Fiber Optic Gyro. Photonics. 2025; 12(11):1126. https://doi.org/10.3390/photonics12111126

Chicago/Turabian Style

Miao, Weiqi, Huachuan Zhao, Fei Yu, and Lingyu Li. 2025. "A High-Extinction-Ratio Resonator for Suppressing Polarization Noise in Hollow-Core Photonic-Crystal Fiber Optic Gyro" Photonics 12, no. 11: 1126. https://doi.org/10.3390/photonics12111126

APA Style

Miao, W., Zhao, H., Yu, F., & Li, L. (2025). A High-Extinction-Ratio Resonator for Suppressing Polarization Noise in Hollow-Core Photonic-Crystal Fiber Optic Gyro. Photonics, 12(11), 1126. https://doi.org/10.3390/photonics12111126

Note that from the first issue of 2016, this journal uses article numbers instead of page numbers. See further details here.

Article Metrics

Back to TopTop