Next Article in Journal
3D Printed Galilean Telescope for Low-Vision Patients
Previous Article in Journal
A 5 kW Near-Single-Mode Oscillating–Amplifying Fiber Laser Employing a Broadband Output Coupler with Simultaneous Raman Suppression and Spectral Narrowing
 
 
Font Type:
Arial Georgia Verdana
Font Size:
Aa Aa Aa
Line Spacing:
Column Width:
Background:
Article

Switchable Single- and Dual-Wavelength Yb:YAG Laser Enabled by a Dual-Confocal Resonator

by
Enhuai Liang
1,2,3,4,
Zhiqi Zhou
1,2,3,4,
Menghua Jiang
1,2,3,4,*,
Wenbin Qin
1,2,3,4,
Youqiang Liu
1,2,3,4,
Yinhua Cao
1,2,3,4 and
Zhiyong Wang
1,2,3,4
1
School of Physics and Optoelectronic Engineering, Beijing University of Technology, Beijing 100124, China
2
Beijing Engineering Research Center for Laser Application Technology, Beijing University of Technology, Beijing 100124, China
3
Key Laboratory of Cross-Scale Laser Forming Manufacturing Technology, Ministry of Education, Beijing University of Technology, Beijing 100124, China
4
Institute of Advanced Semiconductor Optoelectronic Technology, Laser Engineering Research Institute, Beijing University of Technology, Beijing 100124, China
*
Author to whom correspondence should be addressed.
Photonics 2025, 12(8), 814; https://doi.org/10.3390/photonics12080814
Submission received: 2 July 2025 / Revised: 6 August 2025 / Accepted: 12 August 2025 / Published: 14 August 2025

Abstract

In this manuscript, we demonstrated a switchable single-/dual-wavelength Yb:YAG laser based on intracavity loss modulation in a dual-confocal resonator configuration. The laser employed a dual-confocal resonator with a length of 175 mm that enabled the controlled adjustment of geometric losses through precise angular modulation of the output coupler, achieving stable switching between single- and dual-wavelength operations. Under a maximum pump power of 20.98 W, the laser delivered 1.868 W of single-wavelength output at 1050 nm with an optical-to-optical (O–O) conversion efficiency of 8.9%, exhibiting excellent power stability (RMS < 0.6%). When it was switched to a dual-wavelength operation at 1030 nm and 1050 nm, the total output power reached 0.376 W with respective powers of 0.180 W (1030 nm) and 0.196 W (1050 nm), corresponding to a 1.792% O–O conversion efficiency and a power stability of RMS < 3.0%. When it was switched to single-wavelength operation at 1030 nm, the maximum output power reached 0.193 W with a 0.920% O–O conversion efficiency and a power stability of RMS < 1.5%. These experimental results confirm that the controlled modulation of geometric losses in a dual-confocal resonator provides an effective approach for achieving flexible wavelength switching while maintaining stable output performance. This methodology offers promising potential for expanding the application scope of dual-wavelength lasers in precision optical systems.

1. Introduction

All-solid-state dual-wavelength laser technology has demonstrated unique advantages in fields such as lidar [1,2], photonic imaging [3], and ultrafast science [4] through synergistic emission of characteristic wavelength pairs. By employing the broad spectral gain characteristics of Nd- or Yb-doped crystals and resonator mode engineering, stable outputs at typical wavelength pairs, such as 1061/1064 nm, 1062.7/1066.6 nm, and 1030/1050 nm, were achieved. Current approaches for realizing dual-wavelength solid-state laser outputs include the following: (1) Insertion of birefringent filter (BRF) [5,6] into a resonator, enabling dual-wavelength emission through angular tuning of the BRF; (2) Bonded crystals [7,8] or gradient-doped crystals, which exploit material-specific properties to generate fixed wavelength combinations; (3) Specialized operational conditions [9], such as utilizing a shared upper energy level in the crystal that supports dual-wavelength transitions to achieve dual-wavelength operation at a specific temperature; (4) Modulation of resonator length [10], where adjustments to the resonator length alter the oscillating beam radius of different wavelength modes to enable dual-wavelength operation.
In 2018, Manjooran et al. [5] employed a W-shaped resonator with a Yb:CALGO crystal and, by angular tuning of a BRF, achieved a dual-wavelength laser emission at 1043.9 and 1048.8 nm, delivering a maximum output power of 2.1 W with an O–O conversion efficiency of 14.09%. In 2019, Mohamed et al. [8] utilized a flat–flat resonator with an Nd:YVO4/Nd:GdVO4 composite crystal, realizing a dual-wavelength operation with a maximum output power of 3.765 W and an O–O conversion efficiency of 48.9%. In 2024, Lang et al. [9] utilized a flat–flat resonator with a Yb:YAG crystal, achieving a dual-wavelength emission at 1030 and 1049 nm under low-temperature conditions (80 K), with a maximum output power of 13.16 W and an O–O conversion efficiency of 25.6%. In 2024, Zhuang et al. [10] utilized a Z-shaped resonator with a Yb:YAG crystal and, by modulating the resonator length to control the oscillating beam size, achieved a dual-wavelength output with a uniform intensity profile, achieving a total power of 0.93 W at a pump power of 10 W, with an O–O conversion efficiency of 9.3%.
These approaches for dual-wavelength laser generation have some limitations, the method of incorporating a BRF in a resonator introduces insertion loss, leading to degradations of output power and O–O conversion efficiency. The method of bonded crystals or gradient-doped designs typically requires customized gain media, imposing limitations on material flexibility. The method of operational condition control demands stringent control precision for environmental parameters such as temperature. The method of resonator length modulation exhibits sensitivity to resonator length variations, necessitating precise cavity length adjustments. The method of intracavity pumping requires wavelength matching between the absorption and emission bands of the crystals, which constrains material selection and design versatility.
In this work, we developed a compact diode-end-pumped Yb:YAG laser capable of switching between single- and dual-wavelength operation. The laser employed a dual-confocal resonator architecture, where active modulation of intracavity geometric losses enabled stable dual-wavelength operation at 1030 nm and 1050 nm. Additionally, dynamic switching between dual-wavelength operation and single-wavelength modes (1050 nm or 1030 nm) was achieved through controlled adjustment of geometric losses. At the maximum pump power of 20.98 W, the single-wavelength output at 1050 nm delivered a total power of 1.868 W with an O–O conversion efficiency of 8.9%. By angularly modulating the output coupler, the output laser was switched to dual-wavelength operation, the combined output power of 1030 nm and 1050 nm reached 0.376 W with an O–O conversion efficiency of 1.792%. When configured for single-wavelength output at 1030 nm, the maximum output power was 0.193 W with an O–O conversion efficiency of 0.920%. This study leverages active intracavity geometric loss modulation to manipulate mode competition and loss balance, thereby enabling flexible switching between single- and dual-wavelength outputs. Notably, this method eliminates the need for additional optical components while ensuring high stability and switchable wavelength performance, offering a novel strategy for advancing research in multi-wavelength lasers.

2. Theoretical Analysis

The simplified energy-level diagram of the Yb:YAG is depicted in Figure 1. As illustrated, Yb3+ ions possess only two primary energy levels, with the 1030 nm and 1050 nm transitions sharing a common upper energy level, resulting in intense mode competition between the two wavelengths. The stimulated absorption and emission cross-section spectra of 12 at.% Yb:YAG are presented in Figure 2 [11]. From the stimulated emission cross-section shown in Figure 2b, the Yb:YAG crystal exhibits a significantly larger emission cross-section at 1030 nm with a prominent peak, granting it a dominant advantage over the 1050 nm transition during mode competition. However, the stimulated absorption cross-section spectrum in Figure 2a reveals a minor absorption peak at 1030 nm, which induces reabsorption effects that degrade the conversion efficiency of the 1030 nm laser. To achieve stable dual-wavelength lasing at 1030 nm and 1050 nm, the reabsorption effect at 1030 nm must be harnessed to suppress its transition efficiency, thereby balancing the mode competition between the two wavelengths.
To suppress the conversion efficiency of the 1030 nm laser by leveraging the reabsorption effect, the optimal crystal length method was employed. The concept of optimized crystal length [12], as defined by Bourdet and Bartnicki, refers to a critical crystal length at which the pump intensity precisely sustains population inversion between the ground and excited states. When the crystal exceeds this critical length, the laser at the corresponding wavelength experiences suppression or degradation of conversion efficiency due to reabsorption. The optimized crystal length L o u t is defined as follows:
L o u t = 1 f p f l × ln R m R s 1 g 0 β 1 α
g 0 = σ p N Y b f l 1 + f u j
where g 0 represents the linear gain coefficient, α denotes the absorption coefficient, R m is the reflectivity of the rear resonator mirror, and R s corresponds to the reflectivity of the output coupler. The term N Y b indicates the doping concentration of the Yb3+ ions, while σ p defines the stimulated emission cross-section of the ground-state energy level. The terms f p and f l represent the Boltzmann occupation factors (BOFs) of the upper and lower laser energy levels, respectively. The equations f p = f l 1 f l 1 + f u j , f l = f l k f l k + f u 1 , f j k represent the BOFs corresponding to the Stark-split sublevels, where j denotes the upper or lower energy level, and k identifies the specific Stark sublevel. The equation β = I p m i n I p ( 0 ) is defined as the transmittance corresponding to the population inversion threshold induced by a single-pass pump. The equation I p m i n = f l f p f l denotes the minimum pump intensity required to bleach the gain medium, while I p ( 0 ) represents the incident pump intensity. The parameters and corresponding data used in the formula are summarized in Table 1.
The simulated results of the optimized crystal length are illustrated in Figure 3. As shown, the optimized crystal lengths corresponding to the 1030 nm and 1050 nm laser oscillations exhibit consistent trends with respect to variations in crystal doping concentration and pump intensity. The optimized crystal length decreases as the doping concentration increases, and increases with higher pump intensity. Under identical doping concentrations and pump intensities, the optimized crystal length for the 1050 nm laser oscillation consistently exceeds that of the 1030 nm oscillation. Consequently, the output wavelength can be controlled by adjusting the Yb3+ doping concentration and pump intensity in the Yb:YAG crystal. Based on the simulations, a Yb:YAG crystal with 10 at.% doping concentration and 4 mm length was selected to favor the 1050 nm laser oscillation in mode competition. Since the 4 mm crystal length exceeds the optimized length required for the 1030 nm oscillation, the 1030 nm laser transition is suppressed due to strong reabsorption effects, while the 1050 nm transition remains unaffected by reabsorption, thereby promoting emission at 1050 nm.
After suppressing the 1030 nm laser oscillation, further regulation of the output intensities between the 1030 nm and the 1050 nm oscillations is carried out. Based on the energy-level structure shown in Figure 1 and the derived rate equations, the threshold pump power is formulated in Equation (3) [14]. As evident from Equation (3), the intracavity loss δ serves as a critical parameter for adjusting the threshold pump powers of both the 1030 nm and the 1050 nm laser transitions, as follows:
P t h = π h ν p 2 f p η p τ 1 exp α L ω p 2 ¯ + ω 0 2 δ 2 σ l + f l C Y b L
where P t h is the threshold pump power, h is Planck’s constant, ν p is the pump frequency, f p and f l are the BOFs for the upper and lower laser energy levels, respectively, η p is the pump quantum efficiency, τ is the upper-level lifetime, α is the absorption coefficient of the laser crystal for pump laser, σ l is the stimulated emission cross-section of the upper energy level, C Y b is the Yb3+ ion doping concentration, L is the crystal length, ω p and ω 0 are the pump beam waist radius and oscillating beam waist radius, respectively, and δ is the total intracavity loss, including output coupling and parasitic losses. The spectroscopic parameters of the Yb:YAG used in the simulations are summarized in Table 2.
Figure 4 presents the simulation results for the total intracavity loss increasing from 10% to 30%. When the intracavity loss is 10%, the threshold pump power for the 1050 nm laser is lower than that for the 1030 nm laser, resulting in the dominant 1050 nm laser oscillation in mode competition. When the intracavity loss increases to 20%, the threshold pump powers for both the 1030 nm and 1050 nm oscillations rise with the increasing loss. Notably, the threshold pump power for the 1050 nm laser increases at a faster rate than that for the 1030 nm laser, forming a distinct overlap region with the crystal length of 3.5 mm to 4.5 mm. At a crystal length of 4 mm, the threshold pump powers for both wavelengths coincide completely, enabling balanced mode competition between the 1030 nm and the 1050 nm laser oscillations. When the intracavity loss further increases to 30%, the threshold pump power for the 1050 nm laser exceeds that of the 1030 nm laser, leading to the dominant 1030 nm laser oscillation in mode competition.
The simulation results demonstrate that, when the intracavity loss is 20%, a complete overlap of the threshold pump powers for the 1030 nm and 1050 nm lasing occurs at a crystal length of 4 mm, which is highly favorable for dual-wavelength operation, and stable dual-wavelength output can be achieved. Furthermore, the simulations reveal that precise adjustment of the intracavity loss facilitates continuous tuning of the relative intensities between the 1030 nm and the 1050 nm laser oscillations. This capability allows for flexible switching between single- and dual-wavelength outputs without additional optical components.

3. Experimental Setup

A schematic setup of the dual-confocal resonator Yb:YAG laser is illustrated in Figure 5. A 940 nm fiber-coupled laser diode (LD) was employed as the pump source, with the fiber core diameter of 105 μm, the numerical aperture (NA) of 0.22, and a maximum output power of 20.98 W. The pump laser was delivered through a 1:0.8 collimation-focusing lens group, consisting of two plane-convex lenses with focal lengths of 50 mm and 40 mm, respectively, coated with high-transmission coatings (T > 99.5%) at 650–1100 nm. The spot size at the focal plane was measured by a Thorlabs CCD BC106N (Thorlabs, Newton, NJ, USA), which was 90.6 μm in the X-axis and 92.15 μm in the Y-axis. A bulk Yb:YAG with dimensions of 3 × 3 × 4 mm3 was employed, with a doping concentration of 10 at.%. The end facets of the Yb:YAG were coated with high-transmission coatings (T > 99.85%) at 900–1100 nm, the lateral surfaces were wrapped with indium foil and mounted in a copper heat sink to ensure efficient thermal management. The dual-confocal resonator configuration was selected for its superior capability in dual-wavelength intensity modulation. When employing conventional linear resonators for dual-wavelength operation, angular adjustment of the output coupler can induce mode misalignment and loss variation, but achieving balanced dual-wavelength output remains challenging. By contrast, the critically stable nature of the dual-confocal resonator renders it sensitive to mirror angular displacement. This sensitivity enables precise intensity modulation of both wavelength components through controlled mirror tilting, thereby facilitating balanced dual-wavelength output with uniform intensity. Consequently, the dual-confocal resonator consisted of a dichroic mirror (DM), an output coupler (OC), and two high-reflectivity mirrors (HR1 and HR2), with a total resonator length of 175 mm. The distance from DM to OC was 55 mm, while the distances from OC to HR1 and from DM to HR2 were both 45 mm. The separation between HR1 and HR2 was 30 mm. The DM was a plane-concave optic with a radius of curvature of 50 mm. Its pump-facing surface was coated with a high-transmission coating (T > 99.8%) at 800–1000 nm, while the concave surface was coated with a high-transmission coating (T > 98%) at 940 nm and a high-reflectivity coating (R > 99.9%) at 1020–1200 nm. The OC was also a plane-concave mirror with a 50 mm radius of curvature, coated on its concave surface with a partial-reflection coating (T = 0.6%) at 1000–1100 nm. Both HR1 and HR2 were plane-concave mirrors with a 30 mm radius of curvature, coated with high-reflectivity films (R > 99.9%) at 750–1250 nm. The distribution of the intracavity oscillating laser beam radius and pump beam radius within the resonator, calculated using the ABCD matrix method for the dual-confocal cavity, is shown in Figure 6. The experimental diagram of the dual-confocal resonator Yb:YAG laser is illustrated in Figure 7. To minimize the impact of linear dispersion caused by reflection angles in the resonator, all intracavity reflection angles were maintained below 10°. The dual-confocal resonator exhibited characteristic dual-output beams with defined angular separation. These two distinct output directions were designated as direction 1 and direction 2, respectively.

4. Results and Discussion

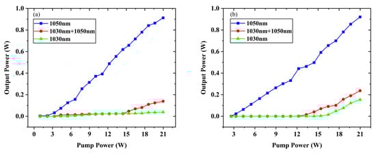
By actively controlling the intracavity geometric losses through angular adjustment of the output coupler in the dual-confocal resonator, the output with controllable wavelengths was achieved. This enabled the stable operation of a single-wavelength at 1050 nm, a dual-wavelength at 1030 nm and 1050 nm, or a single-wavelength at 1030 nm. The relationship between the output power and pump power for these configurations is presented in Figure 8.
As shown in Figure 8, the output powers of the three distinct wavelength configurations (1050 nm single-wavelength, 1030/1050 nm dual-wavelength, and 1030 nm single-wavelength) in both direction 1 and direction 2 increased with rising pump power, exhibiting nearly identical growth trends across the two directions. In direction 1, the 1050 nm single-wavelength laser demonstrated a faster output power increase with pump power, achieving a maximum output power of 0.913 W and an O–O conversion efficiency of 4.35%. For the dual-wavelength operation, the maximum output power reached 0.139 W with an O–O conversion efficiency of 0.663%, while the 1030 nm single-wavelength laser attained 0.039 W and 0.185% in power and O–O conversion efficiency, respectively. Direction 2 exhibited higher output power compared to direction 1. Specifically, the 1050 nm single-wavelength laser in direction 2 achieved a maximum output power of 0.955 W with an O–O conversion efficiency of 4.55%. For dual-wavelength operation, the maximum output power reached 0.237 W with an O–O conversion efficiency of 1.129%, while the 1030 nm single-wavelength laser delivered 0.154 W with an O–O conversion efficiency of 0.591%. The total dual-wavelength output power measured 0.376 W, with individual contributions of 0.180 W at 1030 nm and 0.196 W at 1050 nm, yielding a 1030 nm to 1050 nm power ratio of 1:1.09. The combined O–O conversion efficiency for the dual-wavelength operation was 1.792%. The experimental results demonstrated that, under low intracavity loss conditions, the 1030 nm laser oscillation was suppressed due to reabsorption effects, while the 1050 nm laser oscillation dominated in mode competition. As the intracavity loss increased, the 1030 nm transition began to oscillate owing to its larger stimulated emission cross-section and higher emission peak intensity, enabling simultaneous emission of 1030 nm and 1050 nm wavelengths. Careful adjustment of the intracavity loss enabled the generation of a dual-wavelength output with balanced intensities. However, the total output power of the dual-wavelength operation decreased compared to the 1050 nm single-wavelength operation due to increased intracavity losses. When the loss was further increased, the 1050 nm transition failed to sustain oscillation because of its smaller stimulated emission cross-section, resulting in the 1030 nm single-wavelength output. At this stage, the output power decreased further due to the significantly higher intracavity losses. The significantly lower O–O efficiency of the dual-wavelength laser compared to that of the 1050 nm laser arises from the following factors: (1) The low stimulated emission cross-section at 1050 nm necessitates crystal length optimization to maximally suppress the 1030 nm emission, which is strongly affected by reabsorption. In the dual-wavelength operation, the 1030 nm transition suffers compounded losses from both reabsorption and intracavity loss ( δ ), while the low emission cross-section at 1050 nm further reduces efficiency under increased δ . The requirement for balanced intensities between the two wavelengths critically limits overall efficiency, though relaxing this constraint would rapidly improve it. (2) The low transmission (0.6%) of the commercial shelf output coupler compromises efficiency. Future efforts will focus on custom high-transmission output couplers with theoretically optimized parameters to enhance O–O efficiency.
Output laser spectra were characterized using a YOKOGAWA AQ6370C (Yokogawa Electric Corporation, Tokyo, Japan) optical spectrum analyzer. At a pump power of 20.98 W, the wavelength switching characteristics of the dual-confocal resonator output in direction 1 and direction 2 are shown in Figure 9 and Figure 10, respectively.
The beam quality of the dual-wavelength lasers in direction 1 and direction 2 were measured, as shown in Figure 11 and Figure 12. The beam quality factors M 2 in direction 1 were 1.99 and 2.19 in the horizontal and vertical directions, respectively, while those in direction 2 were 1.60 and 1.63 in the horizontal and vertical directions, respectively. When operating at a single-wavelength of 1050 nm, beam quality factors M x 2 = 1.65 and M y 2 = 1.53 were achieved in direction 1, while near-diffraction-limited performance with M x 2 = 1.03 and M y 2 = 1.07 were achieved in direction 2. When operating at a single-wavelength of 1030 nm, beam quality factors M x 2 = 2.12 and M y 2 = 2.54 were obtained in direction 1, while those in direction 2 were M x 2 = 1.81 and M y 2 = 1.76 .
The beam quality in direction 1 is slightly inferior to direction 2. This difference is attributable to the angular effect of OC. Due to the tilt angle of the OC, a shift of the oscillating beam in direction 1 within the resonator is introduced, resulting in mode mismatch, which excites higher-order modes and degrades the M 2 factor. Simultaneously, the tilted OC causes more losses in direction 1, which can be indicated by the higher threshold of direction 1. Compared to direction 2, it is necessary to pass through the Yb:YAG crystal at least once more to obtain sufficient gain to output the laser, the photons propagate along the following paths: Yb:YAG Crystal → OC → HR1 → HR2 → DM →Yb:YAG Crystal→ OC, ultimately output along direction 1. In direction 2, photons propagate along the following paths: Yb:YAG Crystal → DM → HR2 → HR1 → OC. Due to the lower impact of the tilt angle of OC on the losses, the laser is output at a lower threshold. When photons reach the OC, according to the designed transmittance of the OC, a portion of the photons output while the residual photons are reflected to the crystal. This difference makes the output laser in direction 1 more severely affected by the thermal lens.
The power stability of the output laser for 30 min operation was measured for three wavelength configurations: the 1050 nm single-wavelength, the 1030 nm and 1050 nm dual-wavelength, and the 1030 nm single-wavelength. The results are presented in Figure 13. For the 1050 nm single-wavelength operation, the power fluctuation RMS in direction 1 was 0.41%, while that in direction 2 was 0.57%. For the 1030 nm and 1050 nm dual-wavelength operation, the RMS increased to 2.79% in direction 1 and 2.39% in direction 2. For the 1030 nm single-wavelength operation, the RMS values were 1.34% in direction 1 and 0.98% in direction 2. The experimental results demonstrated satisfactory power stability of all three wavelength configurations. Specifically, the single-wavelength output laser with 1050 nm or 1030 nm exhibited higher power stability compared to the 1030 nm and 1050 nm dual-wavelength output. This discrepancy arose because the dual-wavelength operation shares a common upper energy level of the Yb:YAG, leading to intense mode competition between the two wavelengths. Consequently, the dual-wavelength output exhibits significantly degraded power stability, with its RMS power fluctuations being more than four times higher than those of the 1050 nm single-wavelength operation.

5. Conclusions

This work demonstrates a single-/dual-wavelength switchable Yb:YAG laser based on a dual-confocal resonator architecture, where active modulation of intracavity geometric losses enables flexible wavelength control. By angularly adjusting the output coupler to regulate geometric losses, stable switching between the 1050 nm single-wavelength, the 1030 nm and 1050 nm dual-wavelength, and the 1030 nm single-wavelength operations was achieved. At the maximum pump power of 20.98 W, the laser delivered 1.868 W total output power in the 1050 nm single-wavelength operation with an O–O conversion efficiency of 8.9%. In the 1030 nm and 1050 nm dual-wavelength operation, the total output power reached 0.376 W, corresponding to an O–O conversion efficiency of 1.792%, while the 1030 nm single-wavelength output achieved 0.193 W with an O–O conversion efficiency of 0.920%. For dual-wavelength operation, the 1030 nm and 1050 nm lasers contributed 47.9% and 52.1% of the total power, respectively. This work demonstrates a switchable single-/dual-wavelength laser with balanced dual-wavelength intensity, which can serve as a viable laser source for applications such as terahertz wave generation.

Author Contributions

Conceptualization, E.L.; methodology, E.L.; software, E.L.; validation, E.L. and Z.Z.; formal analysis, E.L.; investigation, E.L.; resources, M.J.; data curation, E.L.; writing—original draft preparation, E.L.; writing—review and editing, E.L. and M.J.; visualization, E.L.; supervision, M.J., W.Q., Y.L., Y.C. and Z.W.; project administration, M.J.; funding acquisition, M.J. All authors have read and agreed to the published version of the manuscript.

Funding

Beijing Natural Science Foundation (No. L241061).

Institutional Review Board Statement

Not applicable.

Informed Consent Statement

Not applicable.

Data Availability Statement

Data underlying the results presented in this manuscript are not publicly available at this time but may be obtained from the authors upon reasonable request.

Conflicts of Interest

The authors declare no conflicts of interest.

References

  1. Duan, Z.; Zhao, G.; Zhu, S.; Lian, M.; Li, Y.; Zhang, W.; Svanberg, S. Atmospheric Mercury Pollution in the Xi’an Area, China, Studied by Differential Absorption Lidar. Atmosphere 2020, 12, 27. [Google Scholar] [CrossRef]
  2. Chen, Z.; Yu, Y.; Ruan, Y.; Nie, B.; Xi, J.; Guo, Q.; Tong, J. Dual-Frequency Doppler LiDAR Based on External Optical Feedback Effect in a Laser. Sensors 2020, 20, 6303. [Google Scholar] [CrossRef] [PubMed]
  3. Xu, Y.; Lin, Y.; Gao, S.; Shen, J. Study on Mechanism of Release Oxygen by Photo-Excited Hemoglobin in Low-Level Laser Therapy. Lasers Med. Sci. 2018, 33, 135–139. [Google Scholar] [CrossRef] [PubMed]
  4. Xu, N.; Ge, W.; Bai, Z.; Yan, X.; Shi, Y.; Han, X.; Wu, X.; Lin, X.; Li, M. High-Energy, High-Beam-Quality, Dual-Wavelength Picosecond Laser Source for Ultraremote Spatial-Target Ranging. Opt. Commun. 2025, 583, 131659. [Google Scholar] [CrossRef]
  5. Manjooran, S.; Loiko, P.; Major, A. A Discretely Tunable Dual-Wavelength Multi-Watt Yb:CALGO Laser. Appl. Phys. B 2018, 124, 13. [Google Scholar] [CrossRef]
  6. Waritanant, T.; Major, A. Dual-Wavelength Operation of a Diode-Pumped Nd:YVO4 Laser at the 1064.1 & 1073.1 Nm and 1064.1 & 1085.3 Nm Wavelength Pairs. Appl. Phys. B 2018, 124, 87. [Google Scholar] [CrossRef]
  7. Yu, H.; Li, Y.; Moazzam, F.; Lin, L.; Gao, B. Orthogonally Polarized Dual-Wavelength Nd:GdVO4/Nd:YVO4 Laser at 1341 and 1342 Nm with Adjustable Power Ratio. PLoS ONE 2025, 20, e0317875. [Google Scholar] [CrossRef] [PubMed]
  8. Mohamed, M.; Zhang, B.; Ma, Q.; Kneller, J.; Xu, C.-Q. Efficient Dual-Wavelengths Continuous Mode Lasers by End-Pumping of Series Nd:YVO4 and Nd:GdVO4 Crystals and Speckle Reduction Study. Photonics 2019, 6, 53. [Google Scholar] [CrossRef]
  9. Lang, B.-T.; Song, Y.-J.; Zong, N.; Chen, Z.-Z.; Bo, Y.; Peng, Q.-J. Wavelength-Switching Performance and Thermal Lens Effect of Cryogenic Yb:YAG Lasers. Opt. Mater. Express 2024, 14, 922–930. [Google Scholar] [CrossRef]
  10. Zhuang, F.; Wang, D.; Yang, H.; Lin, C.; Qiu, W.; Lin, Z. Design and Wavelength Selection of Compact Dual-Wavelength Yb:YAG Lasers with a Z-Shaped Cavity. Opt. Commun. 2024, 572, 130993. [Google Scholar] [CrossRef]
  11. Koerner, J.; Vorholt, C.; Liebetrau, H.; Kahle, M.; Kloepfel, D.; Seifert, R.; Hein, J.; Kaluza, M.C. Measurement of Temperature-Dependent Absorption and Emission Spectra of Yb:YAG, Yb:LuAG, and Yb:CaF2 between 20 °C and 200 °C and Predictions on Their Influence on Laser Performance. J. Opt. Soc. Am. B 2012, 29, 2493–2502. [Google Scholar] [CrossRef]
  12. Bourdet, G.L.; Bartnicki, E. Generalized Formula for Continuous-Wave End-Pumped Yb-Doped Material Amplifier Gain and Laser Output Power in Various Pumping Configurations. Appl. Opt. 2006, 45, 9203–9209. [Google Scholar] [CrossRef] [PubMed]
  13. Pirri, A.; Toci, G.; Li, J.; Feng, Y.; Xie, T.; Yang, Z.; Patrizi, B.; Vannini, M. A Comprehensive Characterization of a 10 at.% Yb:YSAG Laser Ceramic Sample. Materials 2018, 11, 837. [Google Scholar] [CrossRef] [PubMed]
  14. Zhang, X.; Ju, Y.; Wang, Y. Diode-End-Pumped Room Temperature Tm,Ho:YLF Lasers. Opt. Express 2005, 13, 4056–4063. [Google Scholar] [CrossRef] [PubMed]
Figure 1. The energy diagram of the Yb3+ ion.
Figure 1. The energy diagram of the Yb3+ ion.
Photonics 12 00814 g001
Figure 2. Absorption and emission cross-sections of 12 at.% Yb:YAG at different temperatures [11]: (a) absorption cross section of 12 at.% Yb:YAG; (b) emission cross section of 12 at.% Yb:YAG.
Figure 2. Absorption and emission cross-sections of 12 at.% Yb:YAG at different temperatures [11]: (a) absorption cross section of 12 at.% Yb:YAG; (b) emission cross section of 12 at.% Yb:YAG.
Photonics 12 00814 g002
Figure 3. The optimal crystal length versus crystal doping concentration and pump power intensity.
Figure 3. The optimal crystal length versus crystal doping concentration and pump power intensity.
Photonics 12 00814 g003
Figure 4. Threshold pump power versus crystal length for the 1030 nm and 1050 nm laser at 10% to 30% total resonator loss: (a) total intracavity loss of 10%; (b) total intracavity loss of 20%; (c) total intracavity loss of 30%.
Figure 4. Threshold pump power versus crystal length for the 1030 nm and 1050 nm laser at 10% to 30% total resonator loss: (a) total intracavity loss of 10%; (b) total intracavity loss of 20%; (c) total intracavity loss of 30%.
Photonics 12 00814 g004
Figure 5. Schematic setup of the dual-confocal resonator Yb:YAG laser.
Figure 5. Schematic setup of the dual-confocal resonator Yb:YAG laser.
Photonics 12 00814 g005
Figure 6. Calculated beam radius distribution within the dual-confocal resonator.
Figure 6. Calculated beam radius distribution within the dual-confocal resonator.
Photonics 12 00814 g006
Figure 7. Experimental diagram of the dual-confocal resonator Yb:YAG laser.
Figure 7. Experimental diagram of the dual-confocal resonator Yb:YAG laser.
Photonics 12 00814 g007
Figure 8. The output power of the dual-confocal resonator Yb:YAG laser: (a) the output power of lasers with different wavelengths versus pump power in direction 1; (b) the output power of lasers with different wavelengths versus pump power in direction 2.
Figure 8. The output power of the dual-confocal resonator Yb:YAG laser: (a) the output power of lasers with different wavelengths versus pump power in direction 1; (b) the output power of lasers with different wavelengths versus pump power in direction 2.
Photonics 12 00814 g008
Figure 9. Switchable spectra of the output laser in direction 1 of the dual-confocal resonator.
Figure 9. Switchable spectra of the output laser in direction 1 of the dual-confocal resonator.
Photonics 12 00814 g009
Figure 10. Switchable spectra of the output laser in direction 2 of the dual-confocal resonator.
Figure 10. Switchable spectra of the output laser in direction 2 of the dual-confocal resonator.
Photonics 12 00814 g010
Figure 11. The beam quality of dual-wavelength lasers in direction 1.
Figure 11. The beam quality of dual-wavelength lasers in direction 1.
Photonics 12 00814 g011
Figure 12. The beam quality of dual-wavelength lasers in direction 2.
Figure 12. The beam quality of dual-wavelength lasers in direction 2.
Photonics 12 00814 g012
Figure 13. Stability of output power at three wavelengths.
Figure 13. Stability of output power at three wavelengths.
Photonics 12 00814 g013
Table 1. Simulation parameters for optimal crystal length.
Table 1. Simulation parameters for optimal crystal length.
Parameters (Unit)Value
Yb3+ ion doping concentration N Y b 1.38 × 10−27
Rear resonator mirror reflectivity R m 1
Output coupler reflectivity R s 99.4%
Pump wavelength λ (nm)940
BOF of the ground-state energy level f l 1 0.875
BOF of the lower laser level of the 1030 nm transition f l 3 0.040~0.050
BOF of the lower laser level of the 1050 nm transition f l 5 0.015~0.025
BOF of the upper laser level f u 1 0.772
Yb3+ doping concentration C Y b 10 at.%
Stimulated emission cross-section at the ground-state energy level σ p (cm−2)0.8 × 10−20
Stimulated emission cross-section for the 1030 nm laser (cm−2) [13]1.8 × 10−20
Stimulated emission cross-section for the 1050 nm laser (cm−2) [13]0.5 × 10−20
Table 2. Simulation parameters for threshold pump power versus crystal length.
Table 2. Simulation parameters for threshold pump power versus crystal length.
Parameters (Unit)Value
BOF of the lower laser level of the 1030 nm transition f l 3 0.040~0.050
BOF of the lower laser level of the 1050 nm transition f l 5 0.015~0.025
Pump quantum efficiency η p 95%
Upper-level lifetime τ (μs)951
Crystal length L (mm)4
Pump beam waist radius ω p (μm)42.0
Oscillating beam waist radius ω 0 (μm)52.5
Total intracavity loss δ 10~30%
Disclaimer/Publisher’s Note: The statements, opinions and data contained in all publications are solely those of the individual author(s) and contributor(s) and not of MDPI and/or the editor(s). MDPI and/or the editor(s) disclaim responsibility for any injury to people or property resulting from any ideas, methods, instructions or products referred to in the content.

Share and Cite

MDPI and ACS Style

Liang, E.; Zhou, Z.; Jiang, M.; Qin, W.; Liu, Y.; Cao, Y.; Wang, Z. Switchable Single- and Dual-Wavelength Yb:YAG Laser Enabled by a Dual-Confocal Resonator. Photonics 2025, 12, 814. https://doi.org/10.3390/photonics12080814

AMA Style

Liang E, Zhou Z, Jiang M, Qin W, Liu Y, Cao Y, Wang Z. Switchable Single- and Dual-Wavelength Yb:YAG Laser Enabled by a Dual-Confocal Resonator. Photonics. 2025; 12(8):814. https://doi.org/10.3390/photonics12080814

Chicago/Turabian Style

Liang, Enhuai, Zhiqi Zhou, Menghua Jiang, Wenbin Qin, Youqiang Liu, Yinhua Cao, and Zhiyong Wang. 2025. "Switchable Single- and Dual-Wavelength Yb:YAG Laser Enabled by a Dual-Confocal Resonator" Photonics 12, no. 8: 814. https://doi.org/10.3390/photonics12080814

APA Style

Liang, E., Zhou, Z., Jiang, M., Qin, W., Liu, Y., Cao, Y., & Wang, Z. (2025). Switchable Single- and Dual-Wavelength Yb:YAG Laser Enabled by a Dual-Confocal Resonator. Photonics, 12(8), 814. https://doi.org/10.3390/photonics12080814

Note that from the first issue of 2016, this journal uses article numbers instead of page numbers. See further details here.

Article Metrics

Back to TopTop