Next Article in Journal
Dielectric Catenary Metasurface for Broadband and High-Efficiency Anomalous Reflection
Previous Article in Journal
Research on Field-of-View Reconstruction Technology of Specific Bands for Spatial Integral Field Spectrographs
 
 
Font Type:
Arial Georgia Verdana
Font Size:
Aa Aa Aa
Line Spacing:
Column Width:
Background:
Article

Temperature-Dependent Polarization Characterization and Birefringence Inversion in Super-Twisted Nematic Liquid Crystals

1
School of Microelectronics & Data Science, Anhui University of Technology, Maanshan 243002, China
2
Zhejiang Meteorology Science Institute, Hangzhou 310017, China
*
Authors to whom correspondence should be addressed.
Photonics 2025, 12(7), 683; https://doi.org/10.3390/photonics12070683
Submission received: 10 May 2025 / Revised: 10 June 2025 / Accepted: 20 June 2025 / Published: 7 July 2025

Abstract

The temperature-dependent polarization performance of super-twisted nematic liquid crystals (STN-LCs) when used as polarizers has garnered considerable scholarly attention. In this study, the transmittance of an STN-LC cell was measured under incident light wavelengths of 650 nm, 532 nm, and 405 nm over the temperature range of 30 °C to 100 °C. The STN-LC cell was employed both as the sample under test and as an analyzer in a rotational measurement setup to investigate how its polarization properties vary with temperature. The results indicate that the LC cell exhibits the characteristics of a linear polarizer under red light (650 nm) and violet laser (405 nm) across the full temperature range. However, under green laser (532 nm), when the temperature exceeds 60 °C, its extinction ratio is poor, suggesting its unsuitability for polarization applications under such conditions. A birefringence inversion formula was derived using the transmittance difference method, which effectively eliminates the influence of the glass substrates on the measured transmittance of the LC layer. Utilizing this method, a simple optical setup consisting of a polarizer and photodetector was constructed to accurately extract the birefringence of the LC. The birefringence of super-twisted nematic liquid crystal can be obtained by the transmittance difference method, which is low-cost, has a simple optical path, and is convenient for temperature-controlled experimental measurements of the liquid crystal cell. The findings of this study provide methodological support for the precise determination of birefringence in LCs exhibiting linear polarization characteristics.

1. Introduction

Liquid crystals (LCs) represent a distinct state of matter that exists between the liquid and crystalline phases, combining the fluidity of liquids with the ordered molecular arrangement and anisotropic properties of crystals. Owing to these unique features, LCs have found widespread applications in the development of LC gratings, phase modulators, and displays. Seongyong Cho et al. proposed a tunable blue-phase LC grating in which blue-phase LCs are embedded within a polymer lattice. Under the influence of the electric field, the lattice constant of the grating can be modulated without altering the molecular alignment mode, enabling continuous tuning of the reflection wavelength. This type of grating shows potential for applications in tunable photonics and optical couplers in augmented reality systems [1]. By infiltrating low-birefringence chiral LCs into a polymer lattice, cholesteric LC films can be fabricated. These films inherit the intrinsic reflective properties of cholesteric LCs along with the mechanical flexibility of polymers, making them suitable for flexible reflective displays, color pixels in digital photography, as well as printing and colored coatings for various objects [2]. Notaros M. et al. developed an LC phase modulator that operates by applying an external electric field to the LC layer. This modulates the phase shift along the length of a silicon nitride waveguide by controlling the LC birefringence through molecular reorientation. Such a phase modulator can be utilized for dynamic displays and projection systems, underwater optical communications, and LiDAR sensing technologies [3]. In the terahertz domain, the refractive index and birefringence of dual-frequency LCs can be tuned by continuously adjusting the frequency and amplitude of an alternating electric field. This tunability stems from the rotation of LC molecules induced by the alternating electric field. Experimental results have shown that a 600 μm thick LC cell can function as either a quarter-wave or half-wave plate across different frequency bands [4]. Other researchers have explored the feasibility of using electrically tunable high-refractive-index wedge-shaped LC cells for edge imaging. Experimental evidence suggests that such LC cells can not only achieve broadband edge imaging but also enable real-time switching between edge-enhanced and original images through appropriate voltage control [5]. Alex Hegyi et al. leveraged the controllable birefringence of LC layers to construct a hyperspectral imaging sensor resembling a Michelson interferometer. By modulating the relative optical path length between two beams of polarized light, the polarization state of the light passing through the LC can be interferometrically measured. This sensor stands out for its low cost, compact size, and simplicity, making it readily integrable into existing imaging sensor platforms [6]. Alireza Moheghi et al. developed a novel polarizing light waveguide plate based on polymer-stabilized nematic LCs for LCD edge illumination. The waveguide plate enhances the optical efficiency of LCDs by converting unpolarized light into polarized light through selective scattering [7].
The polarization state of electromagnetic waves, defined by the orientation, phase, and coherence of oscillation, plays a critical role in determining the nature of light-matter interactions. The transmission and scattering of light are fundamentally influenced by the polarization state of the incident light. Polarized light finds extensive applications in diverse fields such as interferometric measurements, logic gate operations, biomedical imaging, data storage, quantum communication, and quantum information processing [8,9,10].
The refractive index and dielectric constant are key parameters characterizing the anisotropy of LC molecules. In applied optics and photonics, polarization control via external drivers is highly desirable for enhancing the flexibility of optical systems. Uan M. et al. investigated the polarization behavior of liquid crystal variable retarders operating in transmission mode under varying applied voltages. Their study focused on phase retardation, optical axis orientation, and depolarization effects in the output light. Accurate characterization of these polarization properties enables improved device performance and more reliable prediction of potential errors during operation [11]. Richard L. Sutherland et al. examined the polarization characteristics of holographic polymer-dispersed liquid crystal (HPDLC) gratings, concluding that the variations in LC alignment distributions are the primary cause of differences in polarization behavior across diverse HPDLC gratings [12]. By injecting nematic LCs into the gap between two equilateral prisms, an electrically tunable polarization beam splitter can be constructed. When voltage is applied, the device produces polarized output, whereas in the absence of an external voltage, the incident light is reflected by the LC layer without beam splitting. Such beam splitters offer advantages such as bistability, large splitting angles, broad fabrication tolerances, low cost, and ease of manufacturing [8]. LC polarization gratings can also be employed to develop highly efficient polarization beam splitters. The anisotropic properties of LC materials used in these gratings can be electrically modulated. At present, photosensitive LC polymers and photoalignment techniques are widely adopted in the fabrication of such gratings [13].
In addition to enabling the fabrication of beam splitters, LCs can also be used to manipulate the propagation direction of polarized light [14,15]. Polymer network-90° twisted nematic LCs allow linearly polarized light incident from one direction to pass through the twisted structure under an appropriate external voltage, resulting in an output beam with a polarization direction rotated by 90°. However, when the same linearly polarized light enters from the opposite direction, it encounters multiple LC domains with refractive index mismatches and is scattered as a result [16]. By cascading two polymer LC polarization lenses with different diopters, a beam steering angle extender can be realized. This configuration enables continuous beam deflection when integrated with a small-angle steering mechanism [17]. Yang Yanling et al. developed an achromatic polarization rotator composed of three twisted nematic LC cells. The polarization state of transmitted light can be controlled by modulating the orientation of LC molecules through applied voltage. Under voltage control, the device achieves a transmittance exceeding 97.9%, and its achromatic characteristics remain nearly unaffected when the LC cell thickness varies between 2.2 μm and 2.5 μm. This design achieves high contrast, excellent achromaticity, and fast response, fulfilling the performance requirements for polarization rotators [18]. Some researchers have also combined asymmetrical pore array designs with electrically tunable polarization rotators using twisted nematic LCs. These devices can realize mixed color states by adjusting the polarization of incident light [19].
A lot of commercial liquid crystal displays (LCDs) are based on twisted nematic (TN) or various super-twisted nematic (STN) effects, which have undergone extensive development and enhancement over the last 25 years and are still improving [20,21]. Modern liquid crystal materials and the advanced TFT-TN displays result in color displays of more than one million pixels [21]. Under the action of burst driving voltage, the polarization-independent phase modulator can be made with 180° STN-LC [22]. Light valves are devices that can be used to control the amount of light that passes through them or to protect privacy. By controlling the voltage applied to the dye-doped super-twisted nematic liquid crystal, the amount of light passing through it can be controlled so that the dye-doped super-twisted nematic liquid crystal can function as a light valve [23].
Wu. S. T. and others developed a method using phase difference measurement technology, or the method of polarized light interference, to obtain the birefringence of liquid crystals [24,25,26]. This technique’s uniqueness lies in its convenience, accuracy, and ability to measure the birefringence of liquid crystals at discrete wavelengths. However, this method relies on expensive instruments such as spectrometers, and the experimental procedures and data processing are relatively complex. The Abbe refractometer can measure the birefringence index of liquid crystals, but the space for placing objects is small, making it impossible to use large-volume temperature controllers for controlling the temperature of the tested liquid crystals [27]. G. Pathak and others proposed a method to measure the birefringence of liquid crystals using transmittance technique [28], which primarily involves equipment such as lasers, polarizers, photoelectric detectors, and digital storage oscilloscopes.
This study investigates the temperature-dependent polarization behavior of super-twisted nematic liquid crystals (STN-LCs) under laser illumination at wavelengths of 650 nm, 532 nm, and 405 nm. In addition, it explores a method for measuring and calculating the birefringence of STN-LCs using a simple optical setup. The findings provide methodological support for birefringence measurement in LCs and other anisotropic crystalline materials.

2. Temperature Dependence of Light Transmittance in LCs

2.1. Experimental Measurement

The empty STN-LC cell used in the experiment was constructed by sealing two pieces of conductive glass, each pre-rubbed for alignment, using adhesive spacers. A nematic LC mixture doped with chiral agents CB15 (3%) was injected into the empty cell, which was then sealed to form the STN-LC sample for experimentation. The liquid crystal used is the mixed liquid crystal GXG-5002, featuring a melting temperature of −30 °C and a clearing temperature of 110 °C, respectively. GXG-5002 is provided by Yantai Xanhua Technology Group Co., Ltd. in Yantai, China. When the laser wavelength is 650 nm and the temperature is 30 °C, the birefringence of the liquid crystal is 0.156. Δε = 14 (1 KHz, 25 °C). The thickness of the liquid crystal layer in the cell is 7 μm and is uniform. At 26 °C, the twist angle of the liquid crystal was measured to be 102°. The experimental setup for measuring the transmittance of the STN-LC cell as a function of temperature is shown in Figure 1. The components are as follows: (1) laser power supply, (2) laser, (3) beam splitter, (4) and (5) photodetectors, (6) LC cell, (7) temperature controller, and (8) and (9) photodetector power supplies. The error of the temperature controller is ±0.2 °C. The laser beam emitted from the laser is divided into two paths by the beam splitter. One path passes through the beam splitter and then through the LC cell before reaching photodetector 5; this is the measurement beam path. The other path is reflected by the beam splitter and directed to photodetector 4, serving as the reference beam path. Given that the splitting ratio of the beam splitter is known, the total output power of the laser and the actual power incident on the LC cell can be determined from the measurement obtained by photodetector 4 in the reference path. Subsequently, the transmittance of the LC cell can be calculated based on the transmitted power recorded by photodetector 5. The measurement accuracy of the photodetector is ±1 μW.

2.2. Data Analysis

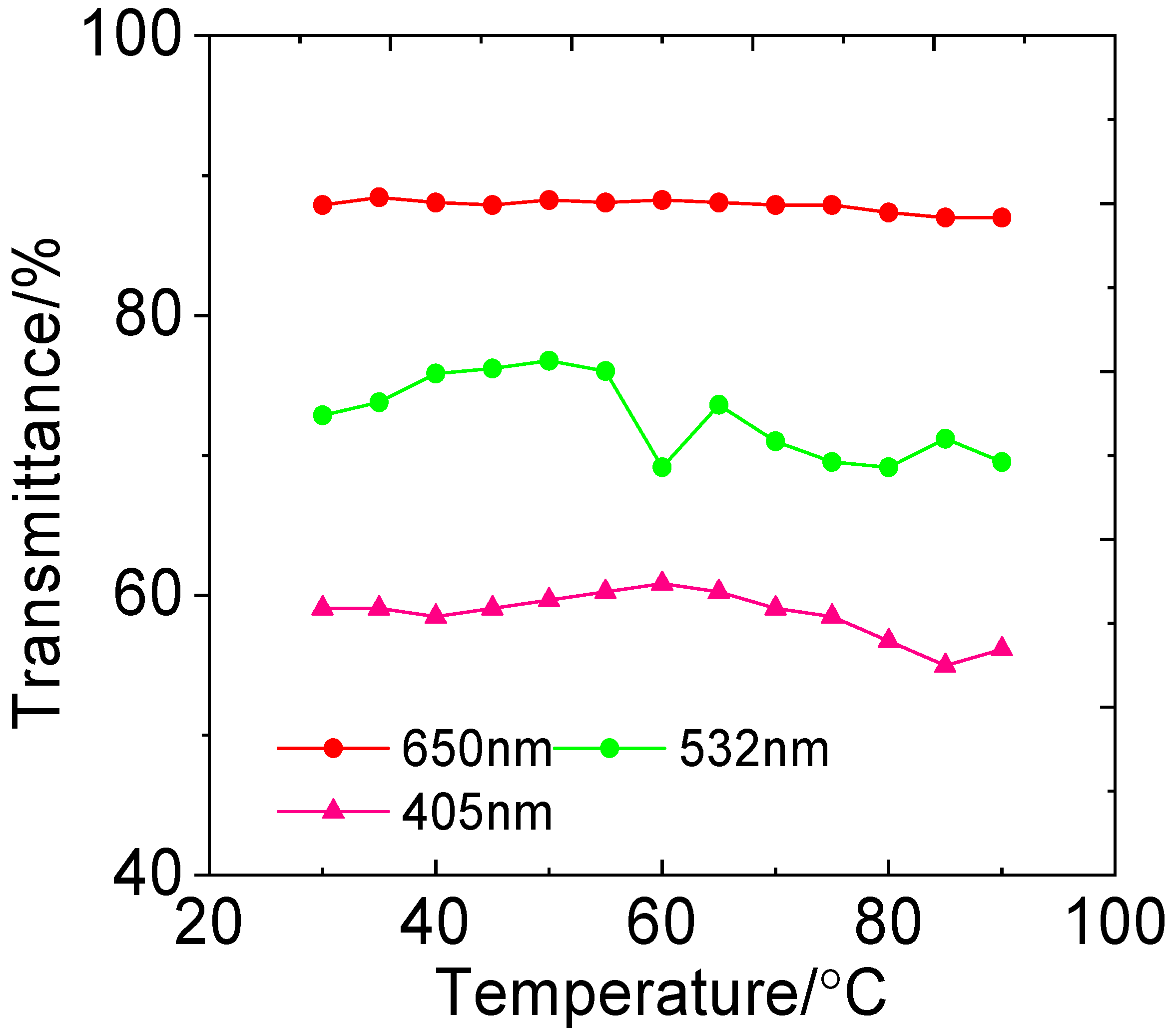
Figure 2 illustrates the transmittance of the LC cell as a function of temperature under incident light at three different wavelengths. It can be observed that the transmittance varies significantly depending on the wavelength of the incident light. Over the temperature range of 30 °C to 100 °C, the average transmittance values of the LC cell under 650 nm (red), 532 nm (green), and 405 nm (violet) laser illumination are 87.8%, 72.7%, and 57.4%, respectively.
For all three wavelengths, the transmittance generally increases with temperature initially and then decreases. However, the specific transmittance values, as well as the temperatures corresponding to the peak and inflection points, differ. When the incident light is 650 nm (red), the transmittance of the LC cell reaches its maximum at 35 °C and begins to decline above 75 °C. For 532 nm (green) and 405 nm (violet) lasers, the maximum transmittance is observed at approximately 50 °C and 60 °C, respectively. Beyond these temperatures, the transmittance exhibits a downward trend. A more detailed analysis reveals that the amplitude of transmittance variation across the 30 °C to 100 °C range differs substantially by wavelength. With a red laser at 650 nm, the transmittance varies by only 1.4%, indicating negligible fluctuation. In other words, the LC cell maintains relatively stable transmittance within this temperature range under red light. Conversely, when illuminated with green (532 nm) and violet (405 nm) lasers, the average transmittance drops to 72.7% and 57.4%, respectively, with variation amplitudes of 14.6% and 10.9%. Notably, significant changes in transmittance for all three wavelengths occur primarily above 60 °C. Below this threshold, the transmittance remains relatively stable except at a few specific temperatures.

3. Temperature-Dependent Polarization Characterization of LC Cells

3.1. Polarization Characteristics of the LC Cell as a Function of Temperature Under Red Light Illumination

The experimental optical path is based on the optical path shown in Figure 1, with a polarizer added in front of the LC cell. The incident light is perpendicular to the polarizer, and the incident surface of the LC cell is parallel to that of the polarizer. Both the LC cell and the polarizer were freely rotatable over a range of 0° to 360°. At room temperature, the LC cell was rotated to identify the angle at which the power measured by photodetector 5 in Figure 1 reached a minimum, this position was defined as 0°, marking the initial angle θ for LC cell rotation. During the experiment, the LC cell was rotated clockwise, with a fixed angular interval Δθ between successive measurements. After each measurement, the LC cell was returned to the 0° position. For clarity, this technique of measuring the polarization characteristics of the LC cell is referred to as the rotational measurement method in this study. In this setup, no analyzer (i.e., an additional polarizer) was placed after the LC cell. The LC cell functioned both as the device under test and as an analyzer. Linearly polarized light, after passing through the polarizer, entered the LC cell. If the LC layer possesses the characteristics of a linear polarizer, then rotating the LC cell through a full cycle should yield a transmittance curve consistent with Malus’s law. Otherwise, deviations from the ideal Malus’s law curve would indicate a departure from ideal linear polarization behavior. The rotational measurement method enables the characterization of the polarization properties and extinction ratio of the LC cell while also providing insights into molecular alignment distributions within the LC layer and whether the material behaves as a uniaxial crystal.
Figure 3 shows the relationship between the transmitted power of the LC cell and the rotation angle, obtained via the rotational measurement method. To eliminate the influence of fluctuations in laser output power, all power values in the curves were calibrated using data from the reference beam path. As shown in Figure 3a, in the temperature range of 0 °C to 60 °C and under 650 nm red laser illumination, the extinction performance of the LC cell slightly deteriorates with increasing temperature, though the overall variation remains small.
One of the key indicators of the polarization performance of LCs is the extinction ratio. According to the literature, the polarization extinction ratio of LC cells can be calculated using the following formula:
R = I min I max
where Imin and Imax represent the minimum and maximum light intensities of transmitted beam, respectively. Under 650 nm illumination at 30 °C, the extinction ratio of the LC cell is 0.034. At 40 °C, 50 °C, and 60 °C, the extinction ratios increase slightly to 0.039, 0.046, and 0.040, respectively, indicating a minor deterioration in extinction performance with rising temperature, although the variation remains minimal. In the temperature range of 30 °C to 60 °C, when the LC cell is rotated to 270°, the difference between the maximum and minimum transmitted power is 0.05 mW. Taking the average transmitted power value of 1.50 mW over a full 0–360° rotation as a reference, the maximum relative error in the fluctuation of transmitted power is 3.33%. Analysis of the experimental data further reveals a slight difference in transmitted power values between rotation angles of 90° and 270°.
In the temperature range of 70 °C to 100 °C, when the polarization direction of the LC cell is perpendicular to that of the polarizer, its extinction performance improves with increasing temperature, as shown in Figure 3b. At 90 °C and 100 °C, the extinction ratio of the LC cell reaches 0, indicating a state of complete extinction.
Transmitted power is another important metric for evaluating whether the LC cell can function effectively as a polarizer. When the rotation angle θ of the LC cell is 90°, the transmitted power reaches a maximum of 1.53 mW at 100 °C. Under microscopic observation, the LC cell appears optically clear and transparent at this temperature. However, the LC layer inside the cell still retains its anisotropic nature, and its polarization performance remains excellent.
Overall, within the temperature range of 30 °C to 100 °C, the shape of the transmittance–temperature curve remains essentially unchanged. The transmittance values fluctuate only slightly within a narrow range, and the extinction ratio oscillates near 0. Therefore, when illuminated with a 650 nm red laser, the LC cell can effectively function as a polarizer throughout the entire temperature range.

3.2. Polarization Characteristics of the LC Cell as a Function of Temperature Under Green Laser Illumination

In this section, the 650 nm red laser used in §3.1 was replaced with a 532 nm green laser, while the experimental setup and measurement procedure remained unchanged. The resulting transmittance–temperature curves of the LC cell are displayed in Figure 4. At 30 °C, when the polarizing direction of the polarizer is parallel to that of the LC cell (θ = 90°), the measured optical power is 2.13 mW. As the LC cell is rotated through the full 0–360° range, the transmitted power curve follows a cosine-like trend.
As shown in Figure 4a, the LC cell demonstrates polarization behavior characteristic of a uniaxial crystal at 30–60 °C. When the polarizer’s principal polarization direction is perpendicular to that of the LC cell (θ = 0°), the transmitted powers measured at 30 °C, 40 °C, 50 °C, and 60 °C are 0.39 mW, 0.39 mW, 0.50 mW, and 0.51 mW, respectively. The corresponding maximum transmitted powers at these temperatures are 2.13 mW, 1.98 mW, 1.94 mW, and 1.58 mW. Using the extinction ratio formula for polarizing devices (Equation (1)), the extinction ratios between the LC cell and the polarizer at 30 °C, 40 °C, 50 °C, and 60 °C are calculated to be 0.181, 0.195, 0.258, and 0.323, respectively. These results indicate that the LC cell achieves optimal extinction performance at 30 °C. In other words, under 532 nm green laser illumination, the LC cell functions most effectively as a polarizer at 30 °C.
At 60 °C, the liquid crystal cell has an extinction ratio greater than 0.3 and is not suitable to be used as a polarizer.
In the temperature range of 70 °C to 100 °C, the LC cell was rotated from 0° to 360°, with transmitted power measurements taken at 30° intervals. The results are presented in Figure 4b. When the polarization direction of the polarizer is aligned with that of the LC cell, the transmitted powers recorded at 70 °C, 80 °C, 90 °C, and 100 °C are 1.53 mW, 1.65 mW, 1.50 mW, and 1.33 mW, respectively. The corresponding extinction ratios are 0.35, 0.35, 0.43, and 0.58. Clearly, the extinction ratio of the liquid crystal cell gradually increases as temperature rises, and at 100 °C, the extinction ratio even exceeds 0.5. As the temperature rises, the alignment of molecules in super-twisted nematic liquid crystals undergoes a transformation, accounting for the variation in the extinction ratio of liquid crystals as the temperature increases.
Within the temperature range of 70 °C to 100 °C, the average maximum transmitted power of the liquid crystal cell is 1.50 mW, while within the temperature range of 30 °C to 60 °C, the average maximum transmitted power is 1.91 mW. It can be seen that as the temperature increases, the overall trend of the transmitted power values is a decrease. In the temperature range of 70 °C to 100 °C, the curve between the transmission power and the rotation angle of the liquid crystal cell remains a cosine-like trend, and the liquid crystal cell still exhibits the polarization characteristics of a uniaxial crystal.
Analysis of the experimental data reveals that under 532 nm green laser illumination, the variation in transmitted power through the LC cell is markedly greater than that observed under 650 nm red laser. In the temperature range of 30 °C to 100 °C, the extinction ratio is always greater than 0.1, indicating poor extinction performance. When testing the polarization characteristics of liquid crystals using the rotational measurement method, important properties such as transmittance and extinction ratio can be obtained. This is of great significance for correctly understanding the molecular orientation distribution within the liquid crystal layer at a certain temperature.

3.3. Polarization Characteristics of the LC Cell as a Function of Temperature Under 405 nm Laser Illumination

In the experimental setup shown in Figure 1, a 405 nm laser was employed as the light source. A polarizer was positioned in front of the LC cell, and the cell was rotated. The angle corresponding to the minimum transmitted power measured by photodetector 5 was defined as the starting position (0°). Transmitted power was then recorded at 30° intervals as the LC cell was rotated through a full 360°. The resulting relationship between transmitted power and temperature is presented in Figure 5. As illustrated in Figure 5a, at 30 °C, with increasing temperature, the overall transmitted power exhibits a decreasing trend; however, a local maximum of 0.32 mW is observed at 60 °C. When the polarization direction of the polarizer is perpendicular to the principal polarization axis of the LC cell, the transmitted power approaches 0. Using Equation (1), the extinction ratio at 60 °C is calculated to be 0.103. By comparison, the extinction ratio at the same temperature under 650 nm laser illumination is 0.040. This indicates that at 60 °C, the extinction performance of the LC cell is slightly inferior when illuminated with 405 nm light compared to 650 nm light.
In the temperature range of 70 °C to 100 °C, the relationship between the LC cell’s transmittance and temperature is shown in Figure 5b. At 70 °C, the maximum transmitted power through the LC cell is 0.31 mW, which is nearly identical to the value observed at 60 °C. When the polarization direction of the polarizer is perpendicular to the principal polarization axis of the LC cell, the extinction ratio is 0, indicating excellent polarization performance and negligible depolarization effects. At 80 °C, when the principal polarization directions of the LC cell and the polarizer are aligned, the transmitted power decreases to 0.26 mW. However, as the temperature continues to increase, the transmitted power gradually rises, reaching 0.29 mW at 100 °C. At this temperature, the extinction ratio is 0.034, suggesting that the LC layer still exhibits polarization characteristics similar to those of a uniaxial crystal. The transmitted power–rotation angle curve is generally symmetrical between the angle range of 0–180° and 180–360°.
Within the temperature range of 30 °C to 100 °C, when using a 405 nm laser as the light source, the extinction ratio of the liquid crystal cell is slightly higher compared to when using a 650 nm laser as the light source. However, the extinction ratio values are all less than 0.1. The transmittance of the liquid crystal cell under a 405 nm light source is significantly lower than that under a 650 nm light source. Therefore, the liquid crystal cell used in this experiment is most suitable for use as a polarizer when illuminated with a 650 nm light source.

4. Determination of LC Layer Birefringence Using the Transmittance Difference Method

4.1. The Transmittance Difference Method

Functionally, an STN-LC cell acts not only as a phase retardation plate but also as a polarizing element. in the setup of Figure 1, a polarizer and an analyzer (another polarizer) are placed before and after the liquid crystal cell, respectively, with their polarization directions parallel, as shown in Figure 6. The names of each component in the optical path are as follows: (1) laser, (2) beam splitter, (3) polarizer, (4) temperature controller, (5) LC cell, (6) polarizer, (7) and (8) photoelectric detector.
The transmittance of the laser beam passing through a polarizer, a LC cell, and an analyzer can be represented by the following equation [29]:
T = ( ψ Y sin ψ sin Y + cos ψ cos Y ) + [ Ν 2 sin Y Y c o s ( ψ 2 θ ) ] 2
where Ψ denotes the twist angle of the STN-LC, θ is the rotation angle of the LC cell, and N represents the phase retardation introduced by the STN-LC. Specifically, N is given by N = 2πdΔn/λ, where d is the thickness of the LC layer, Δn is the birefringence of the LC material, and λ is the wavelength of the incident light, Y = [Ψ2 + (N/2)2]1/2. However, in practical experiments, the transmittance T measured by the photodetector is influenced by both the glass substrates and the LC layer. Since the LC cells used in these experiments are generally commercial or custom-fabricated products, the individual transmittance contributions of the glass and the LC layer at a specific wavelength are typically unknown. As a result, it is not feasible to directly calculate the birefringence of the LC layer using Equation (2).
To address this, for each wavelength and at a given temperature, the transmittance of the LC cell is measured at Δθ intervals as the polarizer is rotated, yielding a series of transmittance values corresponding to different rotation angles (θ1, θ2, θ3, …, θn−1, θn). Given that the angular interval between successive measurements is fixed at Δθ, the transmittance measured at the k-th rotation step can be expressed as follows:
T k = ( ψ Y sin ψ sin Y + cos ψ cos Y ) + [ Ν 2 sin Y Y c o s ( ψ 2 θ k ) ] 2
Similarly, the transmittance measured at the (k + 1)-th step is as follows:
T k + 1 = ( ψ Y sin ψ sin Y + cos ψ cos Y ) + [ Ν 2 sin Y Y c o s ( ψ 2 θ k + 1 ) ] 2
By subtracting Equation (3) from Equation (4) and rearranging, an expression for the transmittance difference between the k-th and (k + 1)-th measurements can be derived as a function of θ1:
T k + 1 T k = [ Ν 2 sin Y Y c o s ( ψ 2 θ k + 1 ) ] 2 [ Ν 2 sin Y Y c o s ( ψ 2 θ k ) ] 2 = N 2 sin Y Y 2 [ c o s ( ψ 2 θ k + 1 ) 2 c o s ( ψ 2 θ k ) 2 ] = N 2 sin Y Y 2 [ c o s ( ψ 2 θ k + 2 θ 1 ) 2 c o s ( ψ 2 θ k ) 2 ]
Let A = ψ 2 θ k
c o s ( ψ 2 θ k + 2 θ 1 ) 2 c o s ( ψ 2 θ k ) 2 = c o s ( A + 2 θ 1 ) 2 c o s ( A ) 2 = [ c o s ( A ) c o s ( 2 θ 1 ) + sin ( A ) sin ( 2 θ 1 ) ] 2 c o s ( A ) 2 = c o s ( A ) 2 sin ( 2 θ 1 ) 2 + s i n ( A ) 2 sin ( 2 θ 1 ) 2 + 2 c o s ( A ) c o s ( 2 θ 1 ) s i n ( A ) sin ( 2 θ 1 ) = sin ( 2 θ 1 ) 2 [ s i n ( A ) 2 c o s ( A ) 2 ] + 2 c o s ( A ) c o s ( 2 θ 1 ) s i n ( A ) sin ( θ 1 ) = sin ( 2 θ 1 ) 2 c o s ( 2 A ) + s i n ( 2 A ) sin ( 2 θ 1 ) c o s ( 2 θ 1 ) = sin ( 2 θ 1 ) [ s i n ( 2 A ) c o s ( 2 θ 1 ) sin ( 2 θ 1 ) c o s ( 2 A ) ] = [ s i n ( 2 A ) 2 θ 1 ] sin ( 2 θ 1 ) = sin ( 2 Ψ 4 θ k 2 θ 1 ) sin ( 2 θ 1 )
Substituting Equation (6) into Equation (5) gives the following:
T k + 1 T k = N 2 sin Y Y 2 sin ( 2 Ψ 4 θ k 2 θ 1 ) sin ( 2 θ 1 )
The glass substrates of the LC cell are isotropic and possess no polarization properties. Therefore, rotation of the LC cell does not affect the portion of transmittance contributed by the glass; in other words, the transmittance of the glass remains constant at a given experimental wavelength, irrespective of the rotation angle. In contrast, due to the polarization-sensitive nature of the LC layer, its transmittance changes with rotation. Consequently, the difference between Tk and Tk+1 reflects the variation in transmittance attributable solely to the LC layer between two adjacent rotation angles. This effectively eliminates the influence of the glass component in Equation (2) when calculating LC layer birefringence. This approach of determining birefringence is referred to as the transmittance difference method in this study.

4.2. Experiment and Results

Using the experimental setup from Figure 6, a 650 nm laser is used as the experimental laser source, and the transmittance difference method is employed for measuring the birefringence of the liquid crystal cell. Photoelectric 8 is used for measuring the intensity of the reference light path.
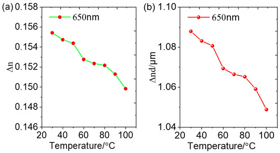
The starting position of the liquid crystal cell rotation is defined when the reading of photodetector 7 is minimized. The transmittance was then recorded at 10° intervals as the LC cell was rotated through a full 360°. The values of Tk+1, Tk in Equation (7) can be directly obtained from the experimental data. The twist angle of the super-twisted nematic liquid crystal is 102°. The thickness of the liquid crystal layer in the liquid crystal cell is 7 μm, θk = kθ1. Based on the experimental data measured at temperatures ranging from 30 °C to 100 °C and Equation (7), the specific values of the birefringence of the super-twisted liquid crystal at different temperatures are calculated. The resulting relationship between birefringence and temperature, as determined by this method, is presented in Figure 7a.
As illustrated in Figure 7a, the birefringence of the LC layer is 0.156 at 30 °C. As the temperature increases, the birefringence initially decreases, reaching 0.153 at 50 °C. Then, as temperature increases, the birefringence of the liquid crystal continuously decreases, reaching a value of 0.149 at 100 °C. Over the entire temperature range of 30 °C to 100 °C, the average birefringence of the tested LC layer is 0.153, with a maximum of 0.156 and a minimum of 0.149. The absolute and relative variations in birefringence are 0.007 and 4.60%, respectively. To minimize fluctuations in the calculated birefringence values, all data points in Figure 7 represent the average of six repeated measurements.
The main steps for determining the birefringence of super-twisted nematic liquid crystals using the transmittance difference method are as follows: (1) Set rotation angle step θ1. (2) The twist angle Ψ of the liquid crystal cell is obtained through experimental measurement. (3) According to the optical path in Figure 6, experiments were conducted to measure the transmittance of the liquid crystal cell at different rotation angles. (4) Based on Equation (7), the values of Δnd and Δn are obtained. The specific experimental steps are shown in Figure 8.
To further validate the accuracy of the proposed transmittance difference method, the birefringence of the STN-LC cell was independently measured at 30 °C via the polarization interference method under 650 nm laser illumination [24]. The obtained birefringence value was 0.1560, while the value calculated using Equation (7) was 0.1554. The negligible discrepancy between the two results confirms the accuracy and reliability of the birefringence values derived using the transmittance difference method presented in this study.
As is evident from the birefringence calculation process, even slight deviations in the LC layer thickness can lead to considerable changes in the computed birefringence. Therefore, accurate determination of the LC layer thickness is a prerequisite for reliably inverting the birefringence. In cases where the thickness is unknown, the experimental data from the transmittance difference method can still be combined with Equation (7) to obtain the product of Δn and d as a function of optical rotation angle, as shown in Figure 7b. Although the absolute thickness remains undetermined, it is constant for a given LC cell. Consequently, the temperature-dependent trend of Δnd mirrors the trend of Δn. This allows for accurate characterization of the birefringence variation across the temperature range of 30 °C to 100 °C, providing valuable insights for the design and optimization of LC-based optical devices. Moreover, in certain cases, the birefringence of an LC material can be independently measured using instruments such as an Abbe refractometer. When Δn is known but d is not, the method proposed in this study can be employed to first determine the product Δnd. By dividing this product, Δnd, by the known Δn, the precise thickness of the LC layer can then be deduced.
Preliminary experiments show that the transmittance difference method can be used to measure the birefringence of super-twisted and twisted nematic liquid crystals and is also suitable for liquid crystals with a twisted angle between 0 °C and 90 °C.
However, whether the transmittance difference method is suitable for determining the birefringence of general nematic liquid crystals or planar liquid crystals still requires further exploration.
The measurement of birefringence in super-twisted nematic liquid crystals requires that the transmittance-rotation angle curves for 0–180 °C and 180–360 °C be symmetrical to ensure that the measured birefringence values are the same in both the 0–180 °C and 180–360 °C ranges. This necessitates that the liquid crystal under test be a uniaxial crystal and that the incident laser be perpendicular to the liquid crystal cell. The incident laser is not perpendicular to the surface of the liquid crystal cell, making the measured transmission-rotation angle curves asymmetric, which is the main source of error in the birefringence index of the liquid crystal.

5. Conclusions

This study explored the transmittance of an STN-LC cell under laser illumination at wavelengths of 650 nm, 532 nm, and 405 nm. The measurement results show that the average transmittance is highest when the incident wavelength is 650 nm and lowest at 405 nm. For a given wavelength, the variation in transmittance with increasing temperature is relatively small. At room temperature, the STN-LC cell demonstrates good extinction performance under all three wavelengths, confirming its suitability for use as a linear polarizer. When illuminated with 650 nm and 405 nm lasers, the extinction ratio remains stable with rising temperature. It approaches 0 even at 100 °C, meaning that the STN-LC cell retains effective linear polarization characteristics under high-temperature conditions. However, under 532 nm illumination, the cell no longer functions effectively as a standard linear polarizer above 60 °C and exhibits multiaxial crystal-like polarization behavior at 100 °C. These findings indicate that the polarization characteristics of the STN-LC cell are strongly dependent on the wavelength of the incident light.
Based on the LC transmittance equation and the transmittance difference method, a formula was derived to calculate the birefringence of the LC layer. This method effectively circumvents the challenges posed by the unknown absorption effects of the glass substrates, which often obscure the intrinsic transmittance of the LC layer. When the LC layer thickness is known, based on experimental data obtained via the rotational measurement method, the birefringence can be accurately extracted using the transmittance difference method. This method requires only basic optical components, including a polarizer, the LC cell under test, a photodetector, and an optical power meter. This makes it both simple and cost-effective to implement, thus offering substantial potential for broader application.

Author Contributions

Conceptualization, H.L.; methodology, H.L., B.W. and Y.Q.; validation, H.L. and M.M.; data curation, H.L. and D.W.; funding acquisition, H.L.; writing—original draft preparation, H.L.; writing—review and editing, H.L., Y.Q. and M.M. All authors have read and agreed to the published version of the manuscript.

Funding

This research received support from the Anhui Province Science and Technology Innovation Project (Grant No. 2308085MD129) the Anhui Provincial Science and Technology Innovation Tackling Plan Project (Grant No. 202423i08050058).

Institutional Review Board Statement

Not applicable.

Informed Consent Statement

Not applicable.

Data Availability Statement

Data are contained within the article.

Conflicts of Interest

The authors declare no conflicts of interest.

References

  1. Cho, S.; Yoshida, H.; Ozaki, M. Tunable polarization volume gratings based on blue phase liquid crystals. Opt. Express 2022, 30, 1607–1614. [Google Scholar] [CrossRef] [PubMed]
  2. Li, Y.; Luo, D.; Peng, Z. Full-color reflective display based on narrow bandwidth templated cholesteric liquid crystal film. Opt. Mater. Express 2016, 7, 16–24. [Google Scholar] [CrossRef]
  3. Notaros, M.; Dyer, T.; Raval, M.; Baiocco, C.; Notaros, J.; Watts, M.R. Integrated visible-light liquid-crystal-based phase modulators. Opt. Express 2022, 30, 13790–13801. [Google Scholar] [CrossRef]
  4. Yu, J.; Chen, S.; Fan, F.; Cheng, J.; Xu, S.; Wang, X.; Chang, S. Tunable terahertz wave-plate based on dual-frequency liquid crystal controlled by alternating electric field. Opt. Express 2018, 26, 663–673. [Google Scholar] [CrossRef] [PubMed]
  5. Xie, J.; Zeng, T.; Zhou, Y.; Yuan, Y.; Zhou, Y.; Lin, T.; Jiang, X.; Fan, F.; Wen, S. Optical edge imaging based on the birefringence property and electro-optic tunability characteristic of the liquid crystals. Liq. Cryst. 2021, 48, 1953–1958. [Google Scholar] [CrossRef]
  6. Hegyi, A.; Martini, J. Hyperspectral imaging with a liquid crystal polarization interferometer. Opt. Express 2015, 23, 28742–28754. [Google Scholar] [CrossRef]
  7. Moheghi, A.; Nemati, H.; Yang, D. Polarizing light waveguide plate from polymer stabilized liquid crystals. Opt. Mater. Express 2015, 5, 1217–1223. [Google Scholar] [CrossRef]
  8. Sharma, V.; Sinha, A. Electrically controlled dual-mode polarization beam splitter using a nematic liquid crystal. Opt. Lett. 2023, 48, 2357–2360. [Google Scholar] [CrossRef]
  9. Bird, J.C.; Liang, F.; Solheim, B.H.; Shepherd, G.G. A polarizing Michelson interferometer for measuring thermospheric winds. Meas. Sci. Technol. 1995, 6, 1368–1378. [Google Scholar] [CrossRef]
  10. Braaf, B.; Vermeer, K.A.; de Groot, M.; Vienola, K.V.; de Boer, J.F. Fiber-based polarization-sensitive OCT of the human retina with correction of system polarization distortions. Biomed. Opt. Express 2014, 5, 2736–2758. [Google Scholar] [CrossRef]
  11. López-Téllez, J.M.; Bruce, N.C.; Rodríguez-Herrera, O.G. Characterization of optical polarization properties for liquid crystal-based retarders. Appl. Opt. 2016, 55, 6025–6033. [Google Scholar] [CrossRef] [PubMed]
  12. Sutherland, R.L. Polarization and switching properties of holographic polymer-dispersed liquid-crystal gratings. I. Theoretical model. J. Opt. Soc. Am. B 2002, 19, 2995–3003. [Google Scholar] [CrossRef]
  13. Zuo, K.; Shi, Y.; Luo, D. A review of two-dimensional liquid crystal polarization gratings. Crystals 2021, 11, 1015. [Google Scholar] [CrossRef]
  14. Qi, G.; Lin, X.; Sun, J.; Yang, X.; Liu, H.; Yan, K.; Zhao, H.; Chigrinov, V.G.; Kwok, H.S. Fast switching beam steering based on ferroelectric liquid crystal phase shutter and polarisation grating. Liq. Cryst. 2019, 46, 1383–1388. [Google Scholar]
  15. Li, Z. Design of Liquid Crystal Polarization Grating and Study of Its Beam Deflection Characteristics. Ph.D. Thesis, University of Chinese Academy of Sciences, Changchun, China, 2019. [Google Scholar]
  16. Liu, C.; Chen, W.; Cheng, K. Asymmetrical polarization-dependent scattering and reflection in a sole cell of polymer network-90 twisted nematic liquid crystals. Opt. Express 2017, 25, 22388–22403. [Google Scholar] [CrossRef]
  17. LI, Y.; Luo, Z.; Wu, S. High-precision beam angle expander based on polymeric liquid crystal polarization lenses for LiDAR applications. Crystals 2022, 12, 349. [Google Scholar] [CrossRef]
  18. Yang, Y.; Zhang, C.; Sun, Y.; Ma, H.; Sun, Y. Liquid crystal achromatic polarization rotato. Chin. J. Liq. Cryst. Dis. 2019, 34, 1131–1135. [Google Scholar]
  19. Liu, S.; Yu, H.; Jiang, M.; Ma, L.; Lu, Y.; Wei, Q. Dual diffraction bands of heliconical liquid crystal gratings. Phys. Rev. Appl. 2024, 8, 085201. [Google Scholar] [CrossRef]
  20. Bielak, M.; Stárek, R.; Krčmarský, V.; Mičuda, M.; Ježek, M. Accurate polarization preparation and measurement using twisted nematic liquid crystals. Opt. Express 2021, 29, 33037–33052. [Google Scholar] [CrossRef]
  21. Al Ghabshi, B. Configurations and Stability of Thin Films of Nematic Liquid Crystal. Ph.D. Thesis, University of Glasgow, Scotland, UK, 2021. [Google Scholar]
  22. Xue, L.; Steve, J.E.; Stephen, M.M. Polarization-Independent Nematic Liquid Crystal Phase Modulators. ACS Photonics 2025, 12, 2612–2623. [Google Scholar] [CrossRef]
  23. Hou, C.; Lin, T.; Mi, X.; He, M.; Chien, L. Modeling and optimization strategies for dye-doped super twisted nematic liquid crystal light valves. Opt. Mater. Express 2024, 12, 375–386. [Google Scholar] [CrossRef]
  24. Wu, S.; Efron, U.; Hess, L.V.D. Birefringence measurements of liquid crystals. Appl. Optics 1984, 23, 3911–3915. [Google Scholar] [CrossRef] [PubMed]
  25. Kohns, P.; Schirmer, J.; Muravski, A.A.; Yakovenko, S.Y.; Bezborodov, V.; Dãbrowski, R. Birefringence measurements of liquid crystals and an application: An achromatic waveplate. Liq. Cryst. 1996, 21, 841–846. [Google Scholar] [CrossRef]
  26. Huang, Y.; He, Z.; Wu, S.T. Fast-response liquid crystal phase modulators for augmented reality displays. Opt. Express 2017, 25, 32757–32766. [Google Scholar] [CrossRef]
  27. Edward, N.K.; Jerzy, K.; Zbigniew, R.; Leszek, J.; Roman, D.; Marek, K.; Wiktor, P.; Paweł, P.; Katarzyna, G.; Marek, O.; et al. High birefringence liquid crystal mixtures for electro-optical devices. Opt. Appl. 2012, 42, 167–180. [Google Scholar]
  28. Pathak, G.; Katiyar, R.; Agrahari, K.; Srivastava, A.; Dabrowski, R.; Garbat, K.; Manohar, R. Analysis of birefringence property of three different nematic liquid crystals dispersed with TiO2 nanoparticles. Opto-Electron. Rev. 2018, 26, 11–18. [Google Scholar] [CrossRef]
  29. Wu, S.; Yang, D. Reflective Liquid Crystal Displays; John Wiley & Sons: Hoboken, NJ, USA, 2001. [Google Scholar]
Figure 1. Experimental setup for measuring the transmittance of STN-LC cells as a function of temperature. (1) Laser power supply, (2) laser, (3) beam splitter, (4) and (5) photodetectors, (6) LC cell, (7) temperature controller, and (8) and (9) photodetector power supplies.
Figure 1. Experimental setup for measuring the transmittance of STN-LC cells as a function of temperature. (1) Laser power supply, (2) laser, (3) beam splitter, (4) and (5) photodetectors, (6) LC cell, (7) temperature controller, and (8) and (9) photodetector power supplies.
Photonics 12 00683 g001
Figure 2. Transmittance–temperature curves of the LC cell under incident light of different wavelengths. Red laser, 4 mW; green laser, 4 mW; violet laser, 1 mW.
Figure 2. Transmittance–temperature curves of the LC cell under incident light of different wavelengths. Red laser, 4 mW; green laser, 4 mW; violet laser, 1 mW.
Photonics 12 00683 g002
Figure 3. Transmittance–temperature curves of the LC cell under 650 nm red light illumination. Power of the red laser: 4 mW. (a) 30–60 °C; (b) 70–100 °C.
Figure 3. Transmittance–temperature curves of the LC cell under 650 nm red light illumination. Power of the red laser: 4 mW. (a) 30–60 °C; (b) 70–100 °C.
Photonics 12 00683 g003
Figure 4. Transmittance–temperature curves of the LC cell under 532 nm green laser illumination. Power of the green laser: 4 mW. (a) 30–60 °C; (b) 70–100 °C.
Figure 4. Transmittance–temperature curves of the LC cell under 532 nm green laser illumination. Power of the green laser: 4 mW. (a) 30–60 °C; (b) 70–100 °C.
Photonics 12 00683 g004
Figure 5. Transmittance–temperature curves of the LC cell under 405 nm violet laser illumination. Power of the violet laser: 1 mW. (a) 30–60 °C; (b) 70–100 °C.
Figure 5. Transmittance–temperature curves of the LC cell under 405 nm violet laser illumination. Power of the violet laser: 1 mW. (a) 30–60 °C; (b) 70–100 °C.
Photonics 12 00683 g005
Figure 6. The schematic diagram of the measuring optical path using the transmittance difference method. (1) Laser, (2) beam splitter, (3) polarizer, (4) temperature controller, (5) LC cell, (6) polarizer, (7) and (8) photoelectric detector.
Figure 6. The schematic diagram of the measuring optical path using the transmittance difference method. (1) Laser, (2) beam splitter, (3) polarizer, (4) temperature controller, (5) LC cell, (6) polarizer, (7) and (8) photoelectric detector.
Photonics 12 00683 g006
Figure 7. (a) Relationship between Δn and temperature; (b) Relationship between Δnd and temperature.
Figure 7. (a) Relationship between Δn and temperature; (b) Relationship between Δnd and temperature.
Photonics 12 00683 g007
Figure 8. Schematic diagram of transmittance difference method.
Figure 8. Schematic diagram of transmittance difference method.
Photonics 12 00683 g008
Disclaimer/Publisher’s Note: The statements, opinions and data contained in all publications are solely those of the individual author(s) and contributor(s) and not of MDPI and/or the editor(s). MDPI and/or the editor(s) disclaim responsibility for any injury to people or property resulting from any ideas, methods, instructions or products referred to in the content.

Share and Cite

MDPI and ACS Style

Liu, H.; Wang, B.; Mao, M.; Qian, Y.; Wang, D. Temperature-Dependent Polarization Characterization and Birefringence Inversion in Super-Twisted Nematic Liquid Crystals. Photonics 2025, 12, 683. https://doi.org/10.3390/photonics12070683

AMA Style

Liu H, Wang B, Mao M, Qian Y, Wang D. Temperature-Dependent Polarization Characterization and Birefringence Inversion in Super-Twisted Nematic Liquid Crystals. Photonics. 2025; 12(7):683. https://doi.org/10.3390/photonics12070683

Chicago/Turabian Style

Liu, Houtong, Bin Wang, Minjuan Mao, Yuanyuan Qian, and Dan Wang. 2025. "Temperature-Dependent Polarization Characterization and Birefringence Inversion in Super-Twisted Nematic Liquid Crystals" Photonics 12, no. 7: 683. https://doi.org/10.3390/photonics12070683

APA Style

Liu, H., Wang, B., Mao, M., Qian, Y., & Wang, D. (2025). Temperature-Dependent Polarization Characterization and Birefringence Inversion in Super-Twisted Nematic Liquid Crystals. Photonics, 12(7), 683. https://doi.org/10.3390/photonics12070683

Note that from the first issue of 2016, this journal uses article numbers instead of page numbers. See further details here.

Article Metrics

Back to TopTop