Creation of Low-Loss Dual-Ring Optical Filter via Temporal Coupled Mode Theory and Direct Binary Search Inverse Design
Abstract
1. Introduction
2. Theoretical Analysis
2.1. Theoretical Analysis of Dual-Ring Optical Filter
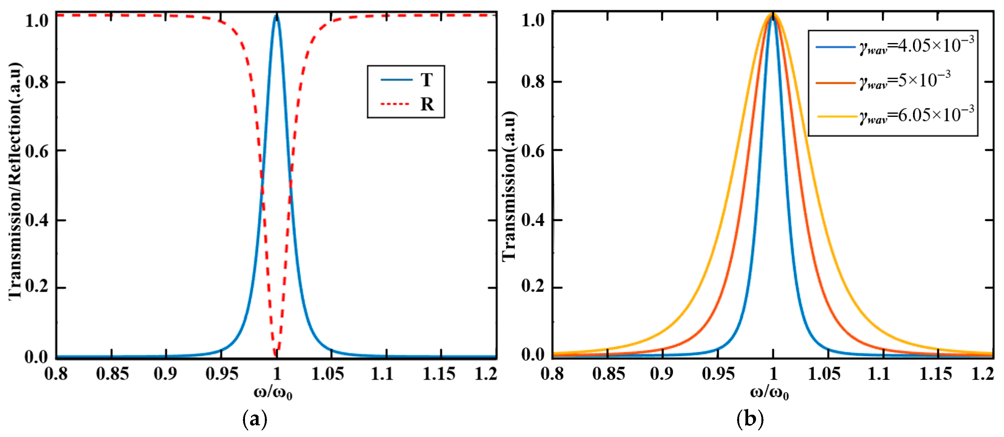
2.2. An Analysis of the Frequency Deviation
2.3. Analysis of Intrinsic Loss in MRR
3. Device Design
3.1. The Working Principle of DBS
| Algorithm 1. Direct Binary Search Method for Dual-Ring Filter Design |
![]() |
3.2. Design of Dual-Ring Optical Filter
4. Numerical Calculations
4.1. Optimization Based on DBS
4.2. Transmission Spectra
4.3. Steady-State Field Distribution
4.4. The Fabrication Tolerance of the Device
- (1)
- The radius of air holes in the coupling structure is . We changed the value of to observe its influence on the device’s performance. From Figure 12, we can observe that the change in has a great influence on the insertion loss and extinction ratio of the device. Better performance (transmittance ≥ 80%) can be achieved when the air holes’ radius of is changed from 45.8 nm to 57.2 nm. Otherwise, the transmission efficiency of the device will decrease due to the weak coupling coefficient between rings and waveguides. When , the insertion loss reaches the lowest point. Hence, the fabrication tolerance range for air holes (diameter) in the coupling structure is 22.8 nm.
- (2)
- The radii of the rings in our proposed dual-ring filter are and , respectively. Since changing the radius of either MRR-a or MRR-b will cause mismatch in the resonant wavelength, we changed the value of to observe its influence on the device’s performance. From Figure 13, we can observe that the change in has a great impact on the insertion loss and extinction ratio of the proposed device. Transmittance can exceed 80% when is between 4792.8 nm and 4807.3 nm. However, as the radius perturbation of MRR-a increases, the insertion loss of the device will increase due to the mismatch between the primary resonant peaks of MRR-a and MRR-b. Therefore, the fabrication tolerance for the radius is 14.5 nm.
- (3)
- When analyzing the impact of temperature fluctuations t on device performance, we employed a step of 0.8 K to simulate the temperature change. We utilized the “DEVICE” and “Interconnect” modules in Lumerical software to calculate the insertion loss of the device at temperatures ranging from 280 K to 320 K. When the temperature of silicon changes, the refractive index changes. This causes the resonant peaks of the rings to shift and affects the maximum transmittance. From Figure 14, we can observe that the change in temperature t has relatively little effect on the insertion loss of the device considering the transmittance is higher than 90% when t is between 295 K and 305 K. However, the insertion loss will increase significantly if the temperature variation becomes greater. This is because the temperature fluctuations causes a change in the effective refractive index of the silicon material. Furthermore, the resonant peak of the ring has shifted, and it is unable to confine the light wave at the operation wavelength. Therefore, the temperature tolerance range of the proposed device is from 295 K to 305 K.
5. Discussion
| Reference | Method | Insertion Loss (dB) | Extinction Ratio (dB) | FSR (nm) | Line Width (nm) | |
|---|---|---|---|---|---|---|
| [25] | Manual | 2.2 | 11.5 | 35 | 475 | 0.4 |
| [27] | Manual | 0.36 | 25.07 | 7.8 | 0.5 | |
| [15] | Manual | 18.5 | 5.8 | 15.76 | - | 10 |
| [26] | Manual | 5.6 | 13 | 9 | - | 1 |
| [14] | Manual | 1 | 5.78 | 72 | - | 0.62 |
| [20] | DBS | 0.86 | 16.8 | 70 | - | |
| [21] | DBS | 0.759 | 10.06 | 50 | - | |
| [22] | DBS | 0.5 | 20 | 40 | - | |
| [23] | DBS | 0.82 | 18.1 | 35 | 2 | |
| This work | DBS | 0.3 | 22 | 86 | 0.3 |
6. Conclusions
Author Contributions
Funding
Institutional Review Board Statement
Informed Consent Statement
Data Availability Statement
Conflicts of Interest
References
- Wang, L.; Wang, X.; Pan, S. Microwave Photonics Empowered Integrated Sensing and Communication for 6G. IEEE Trans. Microw. Theory Tech. 2025, 1–21. [Google Scholar] [CrossRef]
- Ma, W.; Wang, R.; Liu, J.; Li, W. High-Performance Integrated Microwave Photonic Transceiver for Dual-Band Synthetic Aperture Radar. J. Light. Technol. 2024, 42, 7482–7490. [Google Scholar] [CrossRef]
- Tian, X.; Li, L.; Nguyen, L.; Yi, X. Integrated Microwave Photonic Sensors Based on Microresonators. Adv. Sens. Res. 2024, 3, 2300145. [Google Scholar] [CrossRef]
- Liu, F.; Tang, Z.; Wu, R.; Tang, L.; Van Thourhout, D.; Pan, S. Silicon Integrated Microwave Photonic Mixer Based on Cascaded ring Resonator Modulators. IEEE Photonics Technol. Lett. 2024, 36, 333–336. [Google Scholar] [CrossRef]
- Qin, X.; Shi, T.; Wang, Z.; Shi, H.; Chen, J. Research progress of narrow-linewidth external cavity diode lasers. Instrumentation 2024, 45, 63–78. [Google Scholar]
- Mala, A.; Mandal, S. Modelling and performance analysis of cascaded asymmetrical quadruple micro-optical ring resonator as an optical filter. Opt. Quant. Electron. 2023, 55, 969–994. [Google Scholar] [CrossRef]
- Foroughifar, A.; Saghaei, H.; Veisi, E. Design and analysis of a novel four-channel optical filter using ring resonators and line defects in photonic crystal microstructure. Opt. Quant. Electron. 2021, 53, 101–113. [Google Scholar] [CrossRef]
- Qasrawi, A.F. Thickness-Controlled Ti Optical Filters Designed for Tunable Terahertz Technology. Phy. Status Solidi B 2025, 262, 2400648. [Google Scholar] [CrossRef]
- Huang, Y.; Li, Y.; Zhu, H.; Tong, G.; Zhang, H.; Zhang, W.; Zhou, S.; Sun, R.; Zhang, Y.; Li, L.; et al. Theoretical investigation into spectral characteristics of a semiconductor laser with dual-FBG external cavity. Opt. Commun. 2011, 284, 2960–2965. [Google Scholar] [CrossRef]
- Wei, J.; Zhu, C.; Yu, Y.; Wang, R.; Yu, S. Low-loss silicon waveguide and an ultrahigh-Q silicon ring resonator in the 2 µm wave band. Opt. Lett. 2024, 49, 3271–3274. [Google Scholar] [CrossRef]
- Ma, X.X.; Zhao, Y.; Yao, H.; Deng, J.Y.; Wu, J.Y.; Hu, Z.F.; Chen, K.X. Compact and Highly Sensitive Refractive Index Sensor Based on Embedded Double-Ring Resonator Using Vernier Effect. IEEE Photonics J. 2023, 15, 1–9. [Google Scholar] [CrossRef]
- Guo, Y.; Li, X.; Jin, M.; Lu, L.; Xie, J.; Chen, J.; Zhou, L. Hybrid integrated external cavity laser with a 172-nm tuning range. APL Photonics 2022, 7, 066101–066109. [Google Scholar] [CrossRef]
- Calo, C.; Benyahya, K.; Mardoyan, H.; Charbonnier, P.; Sacchetto, D.; Zervas, M.; Mekhazni, K.; Lanteri, D.; Gariah, H.; Fortin, C.; et al. Hybrid InP-SiN microring-resonator based tunable laser with high output power and narrow linewidth for high capacity coherent systems. In Proceedings of the 2022 Optical Fiber Communications Conference and Exhibition (OFC), San Diego, CA, USA, 6–10 March 2022; pp. 1–3. [Google Scholar]
- Lin, T.; Lu, F.; Zhou, P.; Chen, Y.; Jiang, J.; Hu, G.; Yun, B.; Cui, Y. Ultrabroadband vernier cascaded microring filters based on dispersive Si3N4 waveguides. J. Opt. 2024, 26, 025802. [Google Scholar] [CrossRef]
- Yang, L.; Dong, B.; Shao, Q.; Zhang, S.; Chen, Z. Short Carbon Nanotube Nano-Film-Based Polymer/SiO2 Hybrid Waveguide Micro-Ring Filter. ACS Appl. Mater. Interfaces 2023, 15, 28555–28562. [Google Scholar] [CrossRef] [PubMed]
- Bhai, R.K.C.; Flagg, E.B. Narrow-bandwidth tunable optical filter stabilized by Newton’s rings fringe analysis. Appl. Opt. 2024, 63, 3117–3122. [Google Scholar]
- Stratakis, I.; Avraam, C.; Kastritsis, D. Ultra-narrowband dual-cavity Bragg grating ring resonator optical filter. Opt. Commun. 2025, 577, 131330. [Google Scholar] [CrossRef]
- Molesky, S.; Lin, Z.; Piggott, A.Y. Inverse design in nanophotonics. Nat. Photonics 2018, 12, 659–670. [Google Scholar] [CrossRef]
- Shen, B.; Wang, P.; Polson, R. An integrated-nanophotonics polarization beamsplitter with 2.4 × 2.4 μm2 footprint. Nat. Photonics 2015, 9, 378–382. [Google Scholar] [CrossRef]
- Lin, J.; Wang, P.; Fu, Q.; Chen, W.; Dai, S.; Kong, D.; Chen, H.; Li, J.; Dai, T.; Yang, J. Low-loss and broadband polarization-insensitive high-order mode pass filter based on photonic crystal and tapered coupler. Opt. Lett. 2023, 48, 3347–3350. [Google Scholar] [CrossRef]
- Wang, Z.; Li, Z.; Hou, X.; Zhang, J. Reverse design of multifunctional demultiplexing devices. Photonics Nanostruct. 2024, 58, 101246. [Google Scholar] [CrossRef]
- Zhou, S.; Wang, Z.; Nong, J.; Li, H.; Du, T.; Ma, H.; Li, S.; Deng, Y.; Zhao, F.; Zhang, Z.; et al. Optimized wideband and compact multifunctional photonic device based on Sb2S3 phase change material. Opt. Express 2024, 32, 8506–8519. [Google Scholar] [CrossRef]
- Yuan, H.; Huang, J.; Wang, Z.; Zhang, J.; Deng, Y.; Lin, G.; Wu, J.; Yang, J. An ultra-compact dual-channel multimode wavelength demultiplexer based on inverse design. Results Phys. 2021, 27, 104489. [Google Scholar] [CrossRef]
- Ma, H.; He, X.; Zhu, G. Different-mode power splitters based on a multi-dimension direct-binary-search algorithm. Opt. Express 2023, 31, 27393–27406. [Google Scholar] [CrossRef] [PubMed]
- Babu, D.L.; Sreenivasulu, T. 4-Channel DWDM demultiplexer on silicon photonic crystal slab. Sadhana 2021, 46, 14. [Google Scholar] [CrossRef]
- Cassese, T.; Giambra, M.A.; Sorianello, V.; De Angelis, G.; Midrio, M.; Pantouvaki, M.; Van Campenhout, J.; Asselberghs, I.; Huyghebaert, C.; D’Errico, A.; et al. Capacitive actuation and switching of add–drop graphene-silicon micro-ring filters. Photonics Res. 2017, 5, 762–766. [Google Scholar] [CrossRef]
- Delphi, G.; Olyaee, S.; Seifouri, M.; Mohebzadeh-Bahabady, A. Design of low cross-talk and high-quality-factor 2-channel and 4-channel optical demultiplexers based on photonic crystal nano-ring resonator. Photonic Netw. Commun. 2019, 38, 250–257. [Google Scholar] [CrossRef]














| Parameter | Value | Parameter | Value |
|---|---|---|---|
| d | |||
| DBS region | |||
| Footprint | D |
Disclaimer/Publisher’s Note: The statements, opinions and data contained in all publications are solely those of the individual author(s) and contributor(s) and not of MDPI and/or the editor(s). MDPI and/or the editor(s) disclaim responsibility for any injury to people or property resulting from any ideas, methods, instructions or products referred to in the content. |
© 2025 by the authors. Licensee MDPI, Basel, Switzerland. This article is an open access article distributed under the terms and conditions of the Creative Commons Attribution (CC BY) license (https://creativecommons.org/licenses/by/4.0/).
Share and Cite
Hu, Y.; Wang, T.; Zhou, W.; Hu, B. Creation of Low-Loss Dual-Ring Optical Filter via Temporal Coupled Mode Theory and Direct Binary Search Inverse Design. Photonics 2025, 12, 681. https://doi.org/10.3390/photonics12070681
Hu Y, Wang T, Zhou W, Hu B. Creation of Low-Loss Dual-Ring Optical Filter via Temporal Coupled Mode Theory and Direct Binary Search Inverse Design. Photonics. 2025; 12(7):681. https://doi.org/10.3390/photonics12070681
Chicago/Turabian StyleHu, Yuchen, Tong Wang, Wen Zhou, and Bo Hu. 2025. "Creation of Low-Loss Dual-Ring Optical Filter via Temporal Coupled Mode Theory and Direct Binary Search Inverse Design" Photonics 12, no. 7: 681. https://doi.org/10.3390/photonics12070681
APA StyleHu, Y., Wang, T., Zhou, W., & Hu, B. (2025). Creation of Low-Loss Dual-Ring Optical Filter via Temporal Coupled Mode Theory and Direct Binary Search Inverse Design. Photonics, 12(7), 681. https://doi.org/10.3390/photonics12070681


