Non-Markovian Dynamics of Giant Atoms Embedded in an One-Dimensional Photonic Lattice with Synthetic Chirality
Abstract
1. Introduction
2. Theory
2.1. Model and Hamiltonian
2.2. Full-System Hamiltonian with Giant Atom
2.3. Real-Space Schrödinger Equation in the Single-Excitation Subspace
2.4. Self-Energy of a Giant Atom
2.5. Non-Markovian Dynamics
3. Results and Discussion
3.1. Bound States
3.2. Population Dynamics
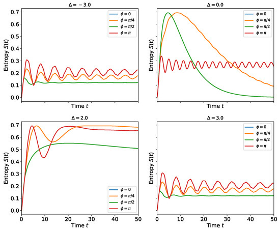
3.3. Entropy
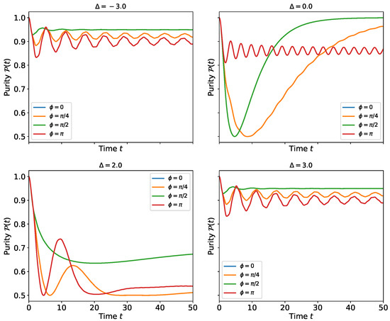
3.4. Purity
3.5. Photon-Emission Profile
3.6. Spacetime Evolution of the Photon Field
3.7. Physical Realization
4. Conclusions
Funding
Institutional Review Board Statement
Informed Consent Statement
Data Availability Statement
Conflicts of Interest
Appendix A. Derivation of the Self-Energy Expression
References
- Chang, D.E.; Douglas, J.S.; González-Tudela, A.; Hung, C.-L.; Kimble, H.J. Colloquium: Quantum matter built from nanoscopic lattices of atoms and photons. Rev. Mod. Phys. 2018, 90, 031002. [Google Scholar] [CrossRef]
- Sheremet, A.S.; Petrov, M.I.; Iorsh, I.V.; Poshakinskiy, A.V.; Poddubny, A.N. Waveguide quantum electrodynamics: Collective radiance and photon-photon correlations. Rev. Mod. Phys. 2023, 95, 015002. [Google Scholar] [CrossRef]
- Ciccarello, F.; Lodahl, P.; Schneble, D. Waveguide quantum electrodynamics. Opt. Photonics News 2024, 35, 34. [Google Scholar] [CrossRef]
- Hood, J.D.; Goban, A.; Asenjo-Garcia, A.; Lu, M.; Yu, S.P.; Chang, D.E.; Kimble, H.J. Atom–atom interactions around the band edge of a photonic crystal waveguide. Proc. Natl. Acad. Sci. USA 2016, 113, 10507. Available online: https://www.pnas.org/doi/pdf/10.1073/pnas.1603788113 (accessed on 17 May 2025). [CrossRef]
- Owens, J.C.; Panetta, M.G.; Saxberg, B.; Roberts, G.; Chakram, S.; Ma, R.; Vrajitoarea, A.; Simon, J.; Schuster, D.I. Chiral cavity quantum electrodynamics. Nat. Phys. 2022, 18, 1048–1053. [Google Scholar] [CrossRef]
- Scigliuzzo, M.; Calajò, G.; Ciccarello, F.; Perez Lozano, D.; Bengtsson, A.; Scarlino, P.; Wallraff, A.; Chang, D.; Delsing, P.; Gasparinetti, S. Controlling atom-photon bound states in an array of Josephson-junction resonators. Phys. Rev. X 2022, 12, 031036. [Google Scholar] [CrossRef]
- Kim, E.; Zhang, X.; Ferreira, V.S.; Banker, J.; Iverson, J.K.; Sipahigil, A.; Bello, M.; González-Tudela, A.; Mirhosseini, M.; Painter, O. Quantum electrodynamics in a topological waveguide. Phys. Rev. X 2021, 11, 011015. [Google Scholar] [CrossRef]
- Krinner, L.; Stewart, M.; Pazmiño, A.; Kwon, J.; Schneble, D. Spontaneous emission of matter waves from a tunable open quantum system. Nature 2018, 559, 589–592. [Google Scholar] [CrossRef]
- Stewart, M.; Kwon, J.; Lanuza, A.; Schneble, D. Dynamics of matter-wave quantum emitters in a structured vacuum. Phys. Rev. Res. 2020, 2, 043307. [Google Scholar] [CrossRef]
- Kockum, A.F.; Delsing, P.; Johansson, G. Designing frequency-dependent relaxation rates and Lamb shifts for a giant artificial atom. Phys. Rev. A 2014, 90, 013837. [Google Scholar] [CrossRef]
- Vadiraj, A.M.; Ask, A.; McConkey, T.G.; Nsanzineza, I.; Sandbo Chang, C.W.; Frisk Kockum, A.; Wilson, C.M. Engineering the level structure of a giant artificial atom in waveguide quantum electrodynamics. Phys. Rev. A 2021, 103, 023710. [Google Scholar] [CrossRef]
- Frisk Kockum, A.; Johansson, G.; Nori, F. Decoherence-free interaction between giant atoms in waveguide quantum electrodynamics. Phys. Rev. Lett. 2018, 120, 140404. [Google Scholar] [CrossRef]
- Kannan, B.; Ruckriegel, M.J.; Campbell, D.L.; Frisk Kockum, A.; Braumüller, J.; Kim, D.K.; Kjaergaard, M.; Krantz, P.; Melville, A.; Niedzielski, B.M.; et al. Waveguide quantum electrodynamics with superconducting artificial giant atoms. Nature 2020, 583, 775–779. [Google Scholar] [CrossRef]
- Carollo, A.; Cilluffo, D.; Ciccarello, F. Mechanism of decoherence-free coupling between giant atoms. Phys. Rev. Res. 2020, 2, 043184. [Google Scholar] [CrossRef]
- Soro, A.; Frisk Kockum, A. Chiral quantum optics with giant atoms. Phys. Rev. A 2022, 105, 023712. [Google Scholar] [CrossRef]
- Soro, A.; Muñoz, C.S.; Frisk Kockum, A. Interaction between giant atoms in a one-dimensional structured environment. Phys. Rev. A 2023, 107, 013710. [Google Scholar] [CrossRef]
- Du, L.; Guo, L.; Li, Y. Complex decoherence-free interactions between giant atoms. Phys. Rev. A 2023, 107, 023705. [Google Scholar] [CrossRef]
- Guo, L.; Frisk Kockum, A.; Marquardt, F.; Johansson, G. Oscillating bound states for a giant atom. Phys. Rev. Res. 2020, 2, 043014. [Google Scholar] [CrossRef]
- Guo, S.; Wang, Y.; Purdy, T.; Taylor, J. Beyond spontaneous emission: Giant atom bounded in the continuum. Phys. Rev. A 2020, 102, 033706. [Google Scholar] [CrossRef]
- Terradas-Briansó, S.; González-Gutiérrez, C.A.; Nori, F.; Martín-Moreno, L.; Zueco, D. Ultrastrong waveguide QED with giant atoms. Phys. Rev. A 2022, 106, 063717. [Google Scholar] [CrossRef]
- Noachtar, D.D.; Knörzer, J.; Jonsson, R.H. Nonperturbative treatment of giant atoms using chain transformations. Phys. Rev. A 2022, 106, 013702. [Google Scholar] [CrossRef]
- Lim, K.H.; Mok, W.K.; Kwek, L.C. Oscillating bound states in non-Markovian photonic lattices. Phys. Rev. A 2023, 107, 023716. [Google Scholar] [CrossRef]
- Gustafsson, M.V.; Aref, T.; Frisk Kockum, A.; Ekström, M.K.; Johansson, G.; Delsing, P. Propagating phonons coupled to an artificial atom. Science 2014, 346, 207–211. [Google Scholar] [CrossRef]
- Aref, T.; Delsing, P.; Ekström, M.K.; Frisk Kockum, A.; Gustafsson, M.V.; Johansson, G.; Leek, P.J.; Magnusson, E.; Manenti, R. Quantum acoustics with surface acoustic waves. In Superconducting Devices in Quantum Optics; Hadfield, R.H., Johansson, G., Eds.; Springer: Berlin, Germany, 2016; pp. 217–244. [Google Scholar]
- Manenti, R.; Frisk Kockum, A.; Patterson, A.; Behrle, T.; Rahamim, J.; Tancredi, G.; Nori, F.; Leek, P.J. Circuit quantum acoustodynamics with surface acoustic waves. Nat. Commun. 2017, 8, 975. [Google Scholar] [CrossRef]
- Noguchi, A.; Yamazaki, R.; Tabuchi, Y.; Nakamura, Y. Qubit-assisted transduction for a detection of surface acoustic waves near the quantum limit. Phys. Rev. Lett. 2017, 119, 180505. [Google Scholar] [CrossRef]
- Satzinger, K.J.; Zhong, Y.P.; Chang, H.-S.; Peairs, G.A.; Bienfait, A.; Chou, M.-H.; Cleland, A.Y.; Conner, C.R.; Dumur, É.; Grebel, J.; et al. Quantum control of surface acoustic-wave phonons. Nature 2018, 563, 661–665. [Google Scholar] [CrossRef]
- Moores, B.A.; Sletten, L.R.; Viennot, J.J.; Lehnert, K.W. Cavity quantum acoustic device in the multimode strong coupling regime. Phys. Rev. Lett. 2018, 120, 227701. [Google Scholar] [CrossRef]
- Bolgar, A.N.; Zotova, J.I.; Kirichenko, D.D.; Besedin, I.S.; Semenov, A.V.; Shaikhaidarov, R.S.; Astafiev, O.V. Quantum regime of a two-dimensional phonon cavity. Phys. Rev. Lett. 2018, 120, 223603. [Google Scholar] [CrossRef]
- Sletten, L.R.; Moores, B.A.; Viennot, J.J.; Lehnert, K.W. Resolving phonon fock states in a multimode cavity with a double-slit qubit. Phys. Rev. X 2019, 9, 021056. [Google Scholar] [CrossRef]
- Bienfait, A.; Satzinger, K.J.; Zhong, Y.P.; Chang, H.-S.; Chou, M.-H.; Conner, C.R.; Dumur, É.; Grebel, J.; Peairs, G.A.; Povey, R.G.; et al. Phonon-mediated quantum state transfer and remote qubit entanglement. Science 2019, 364, 368. [Google Scholar] [CrossRef]
- Andersson, G.; Suri, B.; Guo, L.; Aref, T.; Delsing, P. Non-exponential decay of a giant artificial atom. Nat. Phys. 2019, 15, 1123–1127. [Google Scholar] [CrossRef]
- Bienfait, A.; Zhong, Y.P.; Chang, H.-S.; Chou, M.-H.; Conner, C.R.; Dumur, É.; Grebel, J.; Peairs, G.A.; Povey, R.G.; Satzinger, K.J.; et al. Quantum erasure using entangled surface acoustic phonons. Phys. Rev. X 2020, 10, 021055. [Google Scholar] [CrossRef]
- Andersson, G.; Ekström, M.K.; Delsing, P. Electromagnetically induced acoustic transparency with a superconducting circuit. Phys. Rev. Lett. 2020, 124, 240402. [Google Scholar] [CrossRef]
- Joshi, C.; Yang, F.; Mirhosseini, M. Resonance fluorescence of a chiral artificial atom. Phys. Rev. X 2023, 13, 021039. [Google Scholar] [CrossRef]
- González-Tudela, A.; Muñoz, C.S.; Cirac, J.I. Engineering and harnessing giant atoms in high-dimensional baths: A proposal for implementation with cold atoms. Phys. Rev. Lett. 2019, 122, 203603. [Google Scholar] [CrossRef]
- Du, L.; Zhang, Y.; Wu, J.H.; Kockum, A.F.; Li, Y. Giant atoms in a synthetic frequency dimension. Phys. Rev. Lett. 2022, 128, 223602. [Google Scholar] [CrossRef]
- Guimond, P.O.; Vermersch, B.; Juan, M.L.; Sharafiev, A.; Kirchmair, G.; Zoller, P. A unidirectional on-chip photonic interface for superconducting circuits. Npj Quantum Inf. 2020, 6, 32. [Google Scholar] [CrossRef]
- Gheeraert, N.; Kono, S.; Nakamura, Y. Programmable directional emitter and receiver of itinerant microwave photons in a waveguide. Phys. Rev. A 2020, 102, 053720. [Google Scholar] [CrossRef]
- Zhang, Y.X.; Carceller, C.R.; Kjaergaard, M.; Sørensen, A.S. Charge-noise insensitive chiral photonic interface for waveguide circuit QED. Phys. Rev. Lett. 2021, 127, 233601. [Google Scholar] [CrossRef]
- Yin, X.-L.; Liu, Y.-H.; Huang, J.-F.; Liao, J.-Q. Single-photon scattering in a giant-molecule waveguide-QED system. Phys. Rev. A 2022, 106, 013715. [Google Scholar] [CrossRef]
- Zhang, Y.; Wang, Y.; Liu, Z.; Li, X.; Chen, H.; Zhou, J.; Zhang, Y.; Liu, Y.; Zhang, L.; Liu, J.; et al. Observation of non-Hermitian skin effect and topology in a non-Hermitian lattice. Optica 2022, 9, 565–571. [Google Scholar]
- Kannan, B.; Almanakly, A.; Sung, Y.; Di Paolo, A.; Rower, D.A.; Braumüller, J.; Melville, A.; Niedzielski, B.M.; Karamlou, A.; Serniak, K.; et al. On-demand directional microwave photon emission using waveguide quantum electrodynamics. Nat. Phys. 2023, 19, 394. [Google Scholar] [CrossRef]
- Wang, Z.Q.; Wang, Y.P.; Yao, J.; Shen, R.C.; Wu, W.J.; Qian, J.; Li, J.; Zhu, S.Y.; You, J.Q. Giant spin ensembles in waveguide magnonics. Nat. Commun. 2022, 13, 7580. [Google Scholar] [CrossRef]
- Guo, L.; Grimsmo, A.L.; Kockum, A.F.; Pletyukhov, M.; Johansson, G. Giant acoustic atom: A single quantum system with a deterministic time delay. Phys. Rev. A 2017, 95, 053821. [Google Scholar] [CrossRef]
- Karg, T.M.; Gouraud, B.; Treutlein, P.; Hammerer, K. Remote Hamiltonian interactions mediated by light. Phys. Rev. A 2019, 99, 063829. [Google Scholar] [CrossRef]
- Ask, A.; Fang, Y.-L.L.; Kockum, A.F. Synthesizing electromagnetically induced transparency without a control field in waveguide QED using small and giant atoms. arXiv 2020, arXiv:2011.15077. [Google Scholar]
- Du, L.; Li, Y. Single-photon frequency conversion via a giant Λ-type atom. Phys. Rev. A 2021, 104, 023712. [Google Scholar] [CrossRef]
- Feng, S.L.; Jia, W.Z. Manipulating single-photon transport in a waveguide-QED structure containing two giant atoms. Phys. Rev. A 2021, 104, 063712. [Google Scholar] [CrossRef]
- Cai, Q.Y.; Jia, W.Z. Coherent single-photon scattering spectra for a giant-atom waveguide-QED system beyond the dipole approximation. Phys. Rev. A 2021, 104, 033710. [Google Scholar] [CrossRef]
- Yin, X.-L.; Luo, W.-B.; Liao, J.-Q. Non-Markovian disentanglement dynamics in double-giant-atom waveguide-QED systems. Phys. Rev. A 2022, 106, 063703. [Google Scholar] [CrossRef]
- Gong, Z.; Bello, M.; Malz, D.; Kunst, F.K. Anomalous Behaviors of Quantum Emitters in Non-Hermitian Baths. Phys. Rev. Lett. 2022, 129, 223601. [Google Scholar] [CrossRef] [PubMed]
- Chen, Y.-T.; Du, L.; Guo, L.; Wang, Z.; Zhang, Y.; Li, Y.; Wu, J.-H. Nonreciprocal and chiral single-photon scattering for giant atoms. Commun. Phys. 2022, 5, 215. [Google Scholar] [CrossRef]
- Du, L.; Chen, Y.-T.; Zhang, Y.; Li, Y. Giant atoms with time-dependent couplings. Phys. Rev. Res. 2022, 4, 023198. [Google Scholar] [CrossRef]
- Du, L.; Zhang, Y.; Li, Y. A giant atom with modulated transition frequency. Front. Phys. 2023, 18, 12301. [Google Scholar] [CrossRef]
- Santos, A.C.; Bachelard, R. Generation of maximally entangled long-lived states with giant atoms in a waveguide. Phys. Rev. Lett. 2023, 130, 053601. [Google Scholar] [CrossRef]
- Wang, X.; Zhu, H.-B.; Liu, T.; Nori, F. Realizing quantum optics in structured environments with giant atoms. Phys. Rev. Res. 2024, 6, 013279. [Google Scholar] [CrossRef]
- Zhou, J.; Yin, X.-L.; Liao, J.-Q. Chiral and nonreciprocal single-photon scattering in a chiral-giant-molecule waveguide-QED system. Phys. Rev. A 2023, 107, 063703. [Google Scholar] [CrossRef]
- Gu, W.; Huang, H.; Yi, Z.; Chen, L.; Sun, L.; Tan, H. Correlated two-photon scattering in a one-dimensional waveguide coupled to two- or three-level giant atoms. Phys. Rev. A 2023, 108, 053718. [Google Scholar] [CrossRef]
- Xu, L.; Guo, L. Catch and release of propagating bosonic field with non-Markovian giant atom. New J. Phys. 2024, 26, 013025. [Google Scholar] [CrossRef]
- Longhi, S. Photonic simulation of giant atom decay. Opt. Lett. 2020, 45, 3017–3020. [Google Scholar] [CrossRef]
- Zhao, W.; Wang, Z. Single-photon scattering and bound states in an atom-waveguide system with two or multiple coupling points. Phys. Rev. A 2020, 101, 053855. [Google Scholar] [CrossRef]
- Wang, X.; Liu, T.; Kockum, A.F.; Li, H.-R.; Nori, F. Tunable chiral bound states with giant atoms. Phys. Rev. Lett. 2021, 126, 043602. [Google Scholar] [CrossRef] [PubMed]
- Longhi, S. Rabi oscillations of bound states in the continuum. Opt. Lett. 2021, 46, 2091–2094. [Google Scholar] [CrossRef] [PubMed]
- Yu, H.; Wang, Z.; Wu, J.-H. Entanglement preparation and nonreciprocal excitation evolution in giant atoms by controllable dissipation and coupling. Phys. Rev. A 2021, 104, 013720. [Google Scholar] [CrossRef]
- Vega, C.; Bello, M.; Porras, D.; González-Tudela, A. Qubit-photon bound states in topological waveguides with long-range hoppings. Phys. Rev. A 2021, 104, 053522. [Google Scholar] [CrossRef]
- Smith, A.; Johnson, B.; Lee, C.; Kumar, D.; Nguyen, E.; Patel, F.; Garcia, G.; Chen, H.; Wang, I.; Zhao, J.; et al. Enhanced light–matter interaction in hybrid nanophotonic structures. Nanophotonics 2021, 10, 567–578. [Google Scholar]
- Wang, X.; Li, H.-R. Chiral quantum network with giant atoms. Quantum Sci. Technol. 2022, 7, 035007. [Google Scholar] [CrossRef]
- Xiao, H.; Wang, L.; Li, Z.; Chen, X.; Yuan, L. Bound state in a giant atom-modulated resonators system. npj Quantum Inf. 2022, 8, 80. [Google Scholar] [CrossRef]
- Cheng, W.; Wang, Z.; Liu, Y.X. Topology and retardation effect of a giant atom in a topological waveguide. Phys. Rev. A 2022, 106, 033522. [Google Scholar] [CrossRef]
- Gong, Z.; Bello, M.; Malz, D.; Kunst, F.K. Bound states and photon emission in non-Hermitian nanophotonics. Phys. Rev. A 2022, 106, 053517. [Google Scholar] [CrossRef]
- Zhang, X.; Cheng, W.; Gong, Z.; Zheng, T.; Wang, Z. Superconducting giant atom waveguide QED: Quantum Zeno and anti-Zeno effects in ultrastrong coupling regime. arXiv 2022, arXiv:2205.03674. [Google Scholar]
- Du, L.; Guo, L.; Zhang, Y.; Kockum, A.F. Giant emitters in a structured bath with non-Hermitian skin effect. Phys. Rev. Res. 2023, 5, L042040. [Google Scholar] [CrossRef]
- Du, L.; Chen, Y.-T.; Zhang, Y.; Li, Y.; Wu, J.-H. Decay dynamics of a giant atom in a structured bath with broken time-reversal symmetry. Quantum Sci. Technol. 2023, 8, 045010. [Google Scholar] [CrossRef]
- Bello, M.; Cirac, J.I. Topological effects in two-dimensional quantum emitter systems. Phys. Rev. B 2023, 107, 054301. [Google Scholar] [CrossRef]
- Bag, R.; Roy, D. Quantum light-matter interactions in structured waveguides. Phys. Rev. A 2023, 108, 053717. [Google Scholar] [CrossRef]
- Jia, W.Z.; Yu, M.T. Atom-photon dressed states in a waveguide-QED system with multiple giant atoms. Opt. Express 2024, 32, 9495–9508. [Google Scholar] [CrossRef]
- Gao, Z.-M.; Li, J.-Q.; Li, Z.-W.; Liu, W.-X.; Wang, X. Circuit QED with giant atoms coupling to left-handed superlattice metamaterials. Phys. Rev. A 2024, 109, 013716. [Google Scholar] [CrossRef]
- Zhang, Y.; Liu, X.; Wang, L.; Chen, M.; Zhao, Q.; Li, H. Topological photonics in synthetic dimensions. Nat. Commun. 2024, 15, 1234. [Google Scholar] [CrossRef]
- Leonforte, L.; Sun, X.; Valenti, D.; Spagnolo, B.; Illuminati, F.; Carollo, A.; Ciccarello, F. Quantum optics with giant atoms in a structured photonic bath. Quantum Sci. Technol. 2024, 10, 015057. [Google Scholar] [CrossRef]
- Ingelsten, E.R.; Kockum, A.F.; Soro, A. Avoiding decoherence with giant atoms in a two-dimensional structured environment. Phys. Rev. Res. 2024, 6, 043222. [Google Scholar] [CrossRef]
- Du, L.; Kockum, A.F. Unconventional and robust light–matter interactions based on the non-Hermitian skin effect. Phys. Rev. Res. 2025, 7, 013140. [Google Scholar] [CrossRef]
- Chen, G.; Kockum, A.F. Simulating open quantum systems with giant atoms. Quantum Sci. Technol. 2025, 10, 025028. [Google Scholar] [CrossRef]
- Hatano, N.; Nelson, D.R. Localization transitions in non-Hermitian quantum mechanics. Phys. Rev. Lett. 1996, 77, 570–573. [Google Scholar] [CrossRef]
- Wang, H.; Zhong, J.; Fan, S. Non-Hermitian photonic band winding and skin effects: A tutorial. Adv. Opt. Photon. 2024, 16, 659–748. [Google Scholar] [CrossRef]
- Yannopapas, V. Topological zero-dimensional photonic modes in chiral coupled-cavity arrays. EPJ Quantum Technol. 2015, 2, 6. [Google Scholar] [CrossRef][Green Version]
- Breuer, H.-P.; Petruccione, F. The Theory of Open Quantum Systems; Oxford University Press: Oxford, UK, 2002. [Google Scholar]










Disclaimer/Publisher’s Note: The statements, opinions and data contained in all publications are solely those of the individual author(s) and contributor(s) and not of MDPI and/or the editor(s). MDPI and/or the editor(s) disclaim responsibility for any injury to people or property resulting from any ideas, methods, instructions or products referred to in the content. |
© 2025 by the author. Licensee MDPI, Basel, Switzerland. This article is an open access article distributed under the terms and conditions of the Creative Commons Attribution (CC BY) license (https://creativecommons.org/licenses/by/4.0/).
Share and Cite
Yannopapas, V. Non-Markovian Dynamics of Giant Atoms Embedded in an One-Dimensional Photonic Lattice with Synthetic Chirality. Photonics 2025, 12, 527. https://doi.org/10.3390/photonics12060527
Yannopapas V. Non-Markovian Dynamics of Giant Atoms Embedded in an One-Dimensional Photonic Lattice with Synthetic Chirality. Photonics. 2025; 12(6):527. https://doi.org/10.3390/photonics12060527
Chicago/Turabian StyleYannopapas, Vassilios. 2025. "Non-Markovian Dynamics of Giant Atoms Embedded in an One-Dimensional Photonic Lattice with Synthetic Chirality" Photonics 12, no. 6: 527. https://doi.org/10.3390/photonics12060527
APA StyleYannopapas, V. (2025). Non-Markovian Dynamics of Giant Atoms Embedded in an One-Dimensional Photonic Lattice with Synthetic Chirality. Photonics, 12(6), 527. https://doi.org/10.3390/photonics12060527