Q-Switched Mode-Locking by Cascaded Second-Order Nonlinearity in a Nd:YVO4 Laser
Abstract
1. Introduction
2. Experimental Setup
3. Results
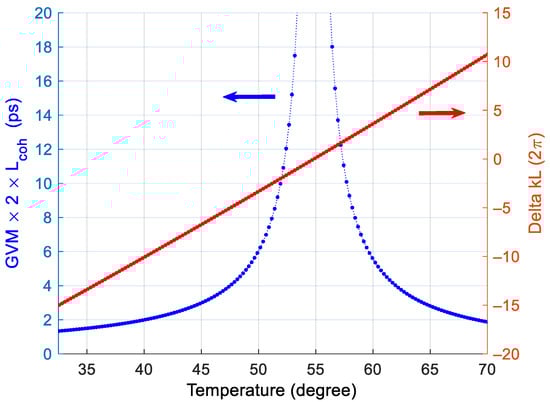
4. Discussion
5. Conclusions
Author Contributions
Funding
Institutional Review Board Statement
Informed Consent Statement
Data Availability Statement
Conflicts of Interest
References
- Jabczyński, J.K.; Zendzian, W.; Kwiatkowski, J. Q-switched mode-locking with acousto-optic modulator in a diode pumped Nd:YVO4 laser. Opt. Express 2006, 14, 2184–2190. [Google Scholar] [CrossRef] [PubMed]
- Solokhin, S.A.; Sirotkin, A.A.; Garnov, S.V. Diode pumped Nd: YAG laser with active Q-switching and mode locking for hole drilling. Laser Phys. 2011, 21, 1145–1149. [Google Scholar] [CrossRef]
- Li, T.; Zhao, S.; Zhuo, Z.; Yang, K.; Li, G.; Li, D. Dual-loss-modulated Q-switched and mode-locked YVO4/Nd:YVO4/KTP green laser with EO and Cr4+: YAG saturable absorber. Opt. Express 2010, 18, 10315–10322. [Google Scholar] [CrossRef] [PubMed]
- Xu, S.C.; Man, B.Y.; Jiang, S.Z.; Chen, C.S.; Yang, C.; Liu, M.; Huang, Q.J.; Zhang, C.; Bi, D.; Meng, X.; et al. Watt-Level passively Q-switched mode-locked YVO4/Nd:YVO4 laser operating at 1.06 µm using graphene as a saturable absorber. Opt. Laser Technol. 2014, 56, 393–397. [Google Scholar] [CrossRef]
- Xu, Y.; Yang, C.; Ge, P.; Liu, J.; Jiang, S.; Li, C.; Man, B. As-grown uniform MoS2/mica saturable absorber for passively Q-switched mode-locked Nd:GdVO4 laser. Opt. Laser Technol. 2016, 82, 139–144. [Google Scholar] [CrossRef]
- Stankov, K.A. A mirror with an intensity-dependent reflection coefficient. Appl. Phys. B 1988, 45, 191–195. [Google Scholar] [CrossRef]
- Desalvo, R.; Hagan, D.J.; Sheikbahae, M.; Stegeman, G.; Stryland, E.W.V.; Vanherzeele, H. Self-Focusing and self-defocusing by cascaded second-order effects in KTP. Opt. Lett. 1992, 17, 28–30. [Google Scholar] [CrossRef] [PubMed]
- Lin, S.T.; Huang, C.H. Effects of nonlinear phase in cascaded mode-locked Nd:YVO4 laser. Opt. Express 2019, 27, 504–511. [Google Scholar] [CrossRef] [PubMed]
- Schäfer, C.; Theobald, C.; Wallenstein, R.; L’huillier, J.A. Effects of spatial hole burning in 888 nm pumped, passively mode-locked high-power Nd:YVO4 lasers. Appl. Phys. B 2011, 102, 523–528. [Google Scholar] [CrossRef]
- Iliev, H.; Chuchumishev, D.; Buchvarov, I.; Petrov, V. Passive mode-locking of a diode-pumped Nd:YVO4 laser by intracavity SHG in PPKTP. Opt. Express 2010, 18, 5756–5762. [Google Scholar] [CrossRef] [PubMed]
- Meiser, N.; Seger, K.; Pasiskevicius, V.; Zukauskas, A.; Canalias, C.; Laurell, F. Cascaded mode-locking of a spectrally controlled Yb: KYW laser. Appl. Phys. B 2014, 116, 493–499. [Google Scholar] [CrossRef]
- Luo, H.; Yang, J.; Liu, F.; Hu, Z.; Xu, Y.; Yan, F.; Peng, H.; Ouellette, F.; Li, J.; Liu, Y. Watt-Level gain-switched fiber laser at 3.46 μm. Opt. Express 2019, 27, 1367–1375. [Google Scholar] [CrossRef] [PubMed]
- Cheng, H.; Jiang, X.D.; Hu, X.P.; Zhong, M.L.; Lv, X.J.; Zhu, S.N. Diode-Pumped 1988-nm Tm: YAP laser mode-locked by intracavity second-harmonic generation in periodically poled LiNbO3. Opt. Lett. 2014, 39, 2187–2190. [Google Scholar] [CrossRef] [PubMed]
- Boyd, R.W. Wave-Equation Description of Nonlinear Optical Interactions. In Nonlinear Optics, 2nd ed.; Elsevier: New York, NY, USA, 2003; pp. 67–128. [Google Scholar]
- Yang, W.Y.; Cao, W.; Chung, T.S.; Morris, J. Ordinary Differential Equations. In Applied Numerical Methods Using MATLAB; Wiley: New York, NY, USA, 2005; pp. 263–320. [Google Scholar]
- Luo, L.; Chen, L.; Qiu, Z.R.; Yu, X.Y.; Dai, D.C.; Zhou, J.Y.; Kuhl, J. Measurement of femtosecond resonant nonlinear refraction in Nd:YVO4 by degenerate pump-probe spectroscopy. J. Appl. Phys. 2001, 89, 8342–8344. [Google Scholar] [CrossRef]
- Saleh, B.E.A.; Teich, M.C. Beam optics. In Fundamental of Photonics, 2nd ed.; Wiley: New York, NY, USA, 2007; pp. 74–101. [Google Scholar]
- Kimura, S.; Tani, S.; Kobayashi, Y. Q-switching stability limits of Kerr-lens mode locking. Phys. Rev. A 2020, 102, 043505. [Google Scholar] [CrossRef]









Disclaimer/Publisher’s Note: The statements, opinions and data contained in all publications are solely those of the individual author(s) and contributor(s) and not of MDPI and/or the editor(s). MDPI and/or the editor(s) disclaim responsibility for any injury to people or property resulting from any ideas, methods, instructions or products referred to in the content. |
© 2025 by the authors. Licensee MDPI, Basel, Switzerland. This article is an open access article distributed under the terms and conditions of the Creative Commons Attribution (CC BY) license (https://creativecommons.org/licenses/by/4.0/).
Share and Cite
Chen, J.-Y.; Hsiang, W.-W.; Lin, S.-T. Q-Switched Mode-Locking by Cascaded Second-Order Nonlinearity in a Nd:YVO4 Laser. Photonics 2025, 12, 251. https://doi.org/10.3390/photonics12030251
Chen J-Y, Hsiang W-W, Lin S-T. Q-Switched Mode-Locking by Cascaded Second-Order Nonlinearity in a Nd:YVO4 Laser. Photonics. 2025; 12(3):251. https://doi.org/10.3390/photonics12030251
Chicago/Turabian StyleChen, Jia-Yang, Wei-Wei Hsiang, and Shou-Tai Lin. 2025. "Q-Switched Mode-Locking by Cascaded Second-Order Nonlinearity in a Nd:YVO4 Laser" Photonics 12, no. 3: 251. https://doi.org/10.3390/photonics12030251
APA StyleChen, J.-Y., Hsiang, W.-W., & Lin, S.-T. (2025). Q-Switched Mode-Locking by Cascaded Second-Order Nonlinearity in a Nd:YVO4 Laser. Photonics, 12(3), 251. https://doi.org/10.3390/photonics12030251

