Optimization of Erbium-Doped Fiber to Improve Temperature Stability and Efficiency of ASE Sources
Abstract
1. Introduction
2. Principles and Simulations
3. Experimental Results and Discussion
4. Conclusions
Author Contributions
Funding
Institutional Review Board Statement
Informed Consent Statement
Data Availability Statement
Conflicts of Interest
References
- Song, N.; Xu, X.; Zhang, Z.; Gao, F.; Wang, X. Advanced interferometric fiber optic gyroscope for inertial sensing: A review. J. Light. Technol. 2023, 41, 4023–4034. [Google Scholar] [CrossRef]
- Wang, Z.; Wang, G.; Kumar, S.; Marques, C.; Min, R.; Li, X. Recent advancements in resonant fiber optic gyro—A review. IEEE Sens. J. 2022, 22, 18240–18252. [Google Scholar] [CrossRef]
- Lefèvre, H.C. The fiber-optic gyroscope: Challenges to become the ultimate rotation-sensing technology. Opt. Fiber Technol. 2013, 19, 828–832. [Google Scholar] [CrossRef]
- Ciminelli, C.; Dell’Olio, F.; Campanella, C.E.; Armenise, M.N. Photonic technologies for angular velocity sensing. Adv. Opt. Photonics 2010, 2, 370–404. [Google Scholar] [CrossRef]
- Petrov, A.B.; Gumenyuk, R.; Alimbekov, M.S.; Zhelezov, P.E.; Kikilich, N.E.; Aleynik, A.S.; Meshkovsky, I.K.; Golant, K.M.; Chamorovskii, Y.K.; Odnoblyudov, M.; et al. Broadband superluminescent erbium source with multiwave pumping. Opt. Commun. 2018, 413, 304–309. [Google Scholar] [CrossRef]
- Zhu, L.; He, W.; Zhang, Y.; Luo, F.; Dong, M. A high flattening C+ L band broadband source based on single pump and the same erbium-doped fiber. Optik 2014, 125, 4659–4662. [Google Scholar] [CrossRef]
- Liu, C.; Wu, X.; Zhu, J.; He, N.; Li, Z.; Zhang, G.; Zhang, L.; Ruan, S. Radiation-resistant Er3+-doped superfluorescent fiber sources. Sensors 2018, 18, 2236. [Google Scholar] [CrossRef]
- Ponosova, A.A.; Azanova, I.; Mironov, N.K.; Yashkov, M.V.; Riumkin, K.E.E.; Sharonova, Y.O.; Melkumov, M. Erbium-doped optical fibre with enhanced radiation resistance for superluminescent fibre sources. Quantum Electron. 2019, 49, 693. [Google Scholar] [CrossRef]
- Xie, L.; Gong, X.; Zhang, B.; Fan, X.; Zhang, C. Research on temperature dependent mean wavelength stability of Erbium-doped fiber super fluorescent source for fiber optic gyroscopes. In Proceedings of the AOPC 2017: Fiber Optic Sensing and Optical Communications, Beijing, China, 4–6 June 2017; pp. 388–393. [Google Scholar]
- Wang, A.; Ou, P.; Feng, L.; Zhang, C.; Cui, X.; Liu, H.; Gan, Z. High-stability Er-doped superfluorescent fiber source incorporating photonic bandgap fiber. IEEE Photonics Technol. Lett. 2009, 21, 1843–1845. [Google Scholar] [CrossRef]
- Skalský, M.; Hnidka, J.; Havránek, Z. Improvement of the Temperature Stability of the Erbium-Doped Superfluorescent Fiber Source by Tuning the Reflectivity of the Fiber End. J. Light. Technol. 2022, 41, 1843–1850. [Google Scholar] [CrossRef]
- Wan, H.; Zhang, D.; Sun, X. Stabilization of a superfluorescent fiber source with high performance erbium doped fibers. Opt. Fiber Technol. 2013, 19, 264–268. [Google Scholar] [CrossRef]
- Chen, X.; Ma, L.; Liu, B.-H.; Hao, Y. Design of ASE source for high precision FOG. In Proceedings of the AOPC 2019: Optical Fiber Sensors and Communication, Beijing, China, 5–8 August 2019; pp. 387–394. [Google Scholar]
- Zhang, E.; Yang, L.; Xue, B.; Gao, Z.; Zhang, Y.; Yam, S.S.-H. High thermal-stability Er-doped superfluorescent fiber source with a vertical cleaved fiber tail. Opt. Fiber Technol. 2020, 58, 102262. [Google Scholar] [CrossRef]
- Wysocki, P.F.; Digonnet, M.J.; Kim, B.Y.; Shaw, H.J. Characteristics of erbium-doped superfluorescent fiber sources for interferometric sensor applications. J. Light. Technol. 1994, 12, 550–567. [Google Scholar] [CrossRef]
- Falquier, D.; Digonnet, M.; Shaw, H. A polarization-stable Er-doped superfluorescent fiber source including a Faraday rotator mirror. IEEE Photonics Technol. Lett. 2000, 12, 1465–1467. [Google Scholar] [CrossRef]
- Wang, A. High stability Er-doped superfluorescent fiber source improved by incorporating bandpass filter. IEEE Photonics Technol. Lett. 2010, 23, 227–229. [Google Scholar] [CrossRef]
- Wu, X.; Zhang, L.; Liu, C.-X.; Ruan, S.-C. High-stable, double-pass forward superfluorescent fiber source based on erbium-doped photonic crystal fiber. Appl. Phys. B 2014, 114, 433–438. [Google Scholar] [CrossRef]
- Ou, P.; Cao, B.; Zhang, C.; Li, Y.; Yang, Y. Er-doped superfluorescent fibre source with enhanced mean-wavelength stability using chirped fibre grating. Electron. Lett. 2008, 44, 1. [Google Scholar] [CrossRef]
- Giles, C.R.; Desurvire, E. Modeling erbium-doped fiber amplifiers. J. Light. Technol. 1991, 9, 271–283. [Google Scholar] [CrossRef]
- Saha, M.; Sen, R. Vapor phase doping process for fabrication of rare earth doped optical fibers: Current status and future opportunities. Phys. Status Solidi (a) 2016, 213, 1377–1391. [Google Scholar] [CrossRef]
- Sharif, K.M.; Omar, N.Y.; Zulkifli, M.; Yassin, S.M.; Abdul-Rashid, H. Fabrication of alumina-doped optical fiber preforms by an MCVD-metal chelate doping method. Appl. Sci. 2020, 10, 7231. [Google Scholar] [CrossRef]
- Dhar, A.; Paul, M.C.; Pal, M.; Mondal, A.K.; Sen, S.; Maiti, H.S.; Sen, R. Characterization of porous core layer for controlling rare earth incorporation in optical fiber. Opt. Express 2006, 14, 9006–9015. [Google Scholar] [CrossRef] [PubMed]
- Saha, M.; Pal, A.; Sen, R. Vapor phase doping of rare-earth in optical fibers for high power laser. IEEE Photonics Technol. Lett. 2013, 26, 58–61. [Google Scholar] [CrossRef]
- Sekiya, E.; Barua, P.; Saito, K.; Ikushima, A. Fabrication of Yb-doped silica glass through the modification of MCVD process. J. Non-Cryst. Solids 2008, 354, 4737–4742. [Google Scholar] [CrossRef]
- Naji, A.; Hamida, B.A.; Cheng, X.; Mahdi, M.A.; Harun, S.; Khan, S.; Al-Khateeb, W.; Zaidan, A.; Zaidan, B.; Ahmad, H. Review of Erbium-doped fiber amplifier. Int. J. Phys. Sci. 2011, 6, 4674–4689. [Google Scholar]
- Aubry, M.; Mescia, L.; Morana, A.; Robin, T.; Laurent, A.; Mekki, J.; Marin, E.; Ouerdane, Y.; Girard, S.; Boukenter, A. Temperature influence on the radiation responses of erbium-doped fiber amplifiers. Phys. Status Solidi (a) 2021, 218, 2100002. [Google Scholar] [CrossRef]
- Chu, T.; Wang, P.; Zhu, C. Modeling of active fiber loop ring-down spectroscopy considering gain saturation behavior of EDFA. J. Light. Technol. 2019, 38, 966–973. [Google Scholar] [CrossRef]
- Bolshtyansky, M.; Wysocki, P.; Conti, N. Model of temperature dependence for gain shape of erbium-doped fiber amplifier. J. Light. Technol. 2000, 18, 1533. [Google Scholar] [CrossRef]
- Zhou, Y.; Gai, N.; Wang, J.; Chen, F.; Yang, G. Effect of hydroxyl groups on Er3+-doped bismuth-borate glass and fiber. J. Lumin. 2009, 129, 277–282. [Google Scholar] [CrossRef]
- Mescia, L.; Bia, P.; Girard, S.; Ladaci, A.; Chiapperino, M.A.; Robin, T.; Laurent, A.; Cadier, B.; Boutillier, M.; Ouerdane, Y. Temperature-Dependent Modeling of Cladding-Pumped Er3+/Yb3+-Codoped Fiber Amplifiers for Space Applications. J. Light. Technol. 2018, 36, 3594–3602. [Google Scholar] [CrossRef]
- Jazi, M.K.; Shahi, S.; Hekmat, M.; Saghafifar, H.; Khuzani, A.; Khalilian, H.; Baghi, M. The evaluation of various designs for a C and L band superfluorescent source based erbium doped fiber. Laser Phys. 2013, 23, 065104. [Google Scholar] [CrossRef]









| Parameters | EDF1 | EDF2 | EDF3 |
|---|---|---|---|
| Numerical aperture (NA) | 0.225 | 0.230 | 0.227 |
| Peak Absorption at 1530 nm (dB/m) | 18 | 23 | 9.8 |
| Background Loss at 1200 nm (dB/km) | ≤10 | 5.05 | 5.54 |
| Cutoff Wavelength (nm) | 940 | 1220 | 970 |
| Mode Field Diameter at 1550 nm (µm) | 5.65 | 5.30 | 5.50 |
| Erbium Ion Concentration (ppm) | 2200 | 2200 | 1135 |
| Erbium Ion Density () | 1.74 | 1.74 | 0.9 |
| Core Diameter (µm) | 3.18 | 4.05 | 3.28 |
| Cladding Diameter (µm) | 125 | 125 | 125 |
| Coating Diameter (µm) | 245 | 245 | 245 |
| Prooftest Level (kpsi) | 200 | 200 | 200 |
| Mean Wavelength Shift (ppm) | Spectrum Width Change Rate (%) | Output Power Change Rate (%) | Power Conversion Efficiency (%) | |
|---|---|---|---|---|
| EDF1 | 31.5 | 2.1 | 6 | 36.6 |
| EDF2 | 20.35 | 1.8 | 5.8 | 40.03 |
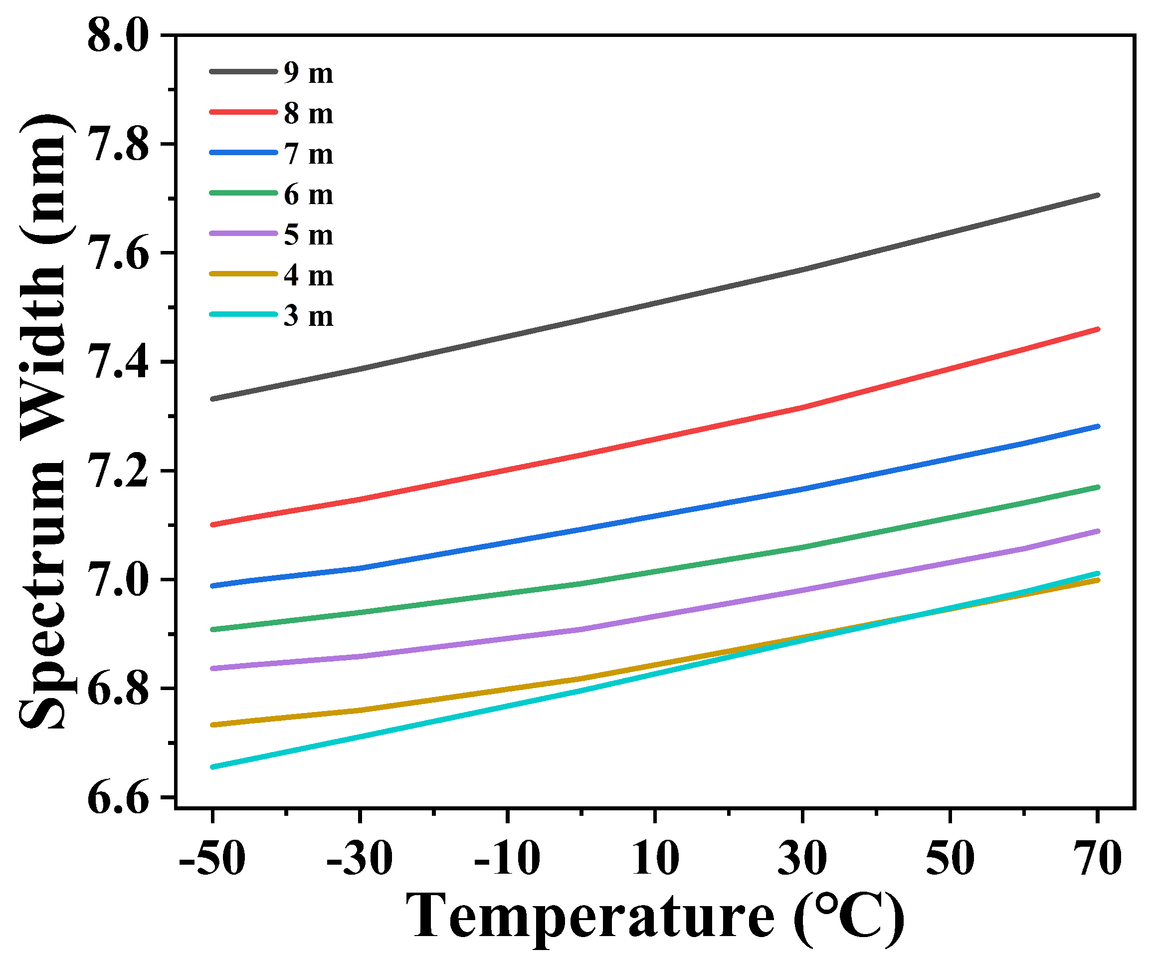
| EDF3 Length (m) | Spectrum Width Change Rate (%) | Output Power Change Rate (%) | Power Conversion Efficiency (%) |
|---|---|---|---|
| 3 | 51.1 | 2.3 | 23.05 |
| 4 | 42.7 | 1.7 | 40.73 |
| 5 | 20.3 | 1.5 | 50.84 |
| 6 | 14.2 | 1.3 | 53.6 |
| 7 | 47 | 1.8 | 53.31 |
| 8 | 89.4 | 2.1 | 52.67 |
| 9 | 138.2 | 2.2 | 51.53 |
Disclaimer/Publisher’s Note: The statements, opinions and data contained in all publications are solely those of the individual author(s) and contributor(s) and not of MDPI and/or the editor(s). MDPI and/or the editor(s) disclaim responsibility for any injury to people or property resulting from any ideas, methods, instructions or products referred to in the content. |
© 2025 by the authors. Licensee MDPI, Basel, Switzerland. This article is an open access article distributed under the terms and conditions of the Creative Commons Attribution (CC BY) license (https://creativecommons.org/licenses/by/4.0/).
Share and Cite
Guo, J.; Zhang, H.; Lin, W.; Xu, W. Optimization of Erbium-Doped Fiber to Improve Temperature Stability and Efficiency of ASE Sources. Photonics 2025, 12, 115. https://doi.org/10.3390/photonics12020115
Guo J, Zhang H, Lin W, Xu W. Optimization of Erbium-Doped Fiber to Improve Temperature Stability and Efficiency of ASE Sources. Photonics. 2025; 12(2):115. https://doi.org/10.3390/photonics12020115
Chicago/Turabian StyleGuo, Jia, Hao Zhang, Wenbin Lin, and Wei Xu. 2025. "Optimization of Erbium-Doped Fiber to Improve Temperature Stability and Efficiency of ASE Sources" Photonics 12, no. 2: 115. https://doi.org/10.3390/photonics12020115
APA StyleGuo, J., Zhang, H., Lin, W., & Xu, W. (2025). Optimization of Erbium-Doped Fiber to Improve Temperature Stability and Efficiency of ASE Sources. Photonics, 12(2), 115. https://doi.org/10.3390/photonics12020115

