An FSO System Based on Mirrors for Early Warning of Frost: Primary Analysis
Abstract
1. Introduction
- In addition, mirrors retransmit optical signals faster than other devices that receive, process, and retransmit optical signals [29]. This provides a quick response to instantly redirect signals to base stations or other critical nodes when a disaster is detected.
- Wide coverage enabled by reflecting signals across long distances or around obstacles such as mountains or buildings [30].
- Mirrors can withstand harsh environments and conditions associated with natural disasters by utilizing protective coating and cleaning techniques [31].
- Mirrors have been rarely investigated for early warning systems in the literature. The proposed investigations in this paper indicate the effectiveness of mirrors in transmitting the alarm signal swiftly while reducing the overall power consumption.
- The proposed system achieves up to a 69.7% reduction in time compared to systems where the signal must traverse all nodes to reach the base station (BS) and a 7% reduction compared to systems using dedicated transmitters and receivers.
- The power received at each node is determined by accounting for attenuation for clear conditions and reflections introduced by the mirror. A link margin for a higher attenuation level is also calculated through link budget estimation. These calculations are crucial for gaining insights into real-world implementation scenarios of early warning systems.
2. Layout and Principle of Operation
- Reliability: Mesh topology is highly reliable by providing multiple communication paths between nodes, ensuring network continuity even if some nodes or links fail [35].
- Scalability: This methodology is suitable for increased coverage areas when additional nodes are added without impacting the network performance [36].
- Efficient communication: Mesh topology can reduce delays and response time by allowing direct or shortest-path communication between nodes [37].
3. The Analytical Model
3.1. The Evaluating Parameters
3.1.1. Time of Arrival and Coverage Area
3.1.2. Power
4. Results and Analysis
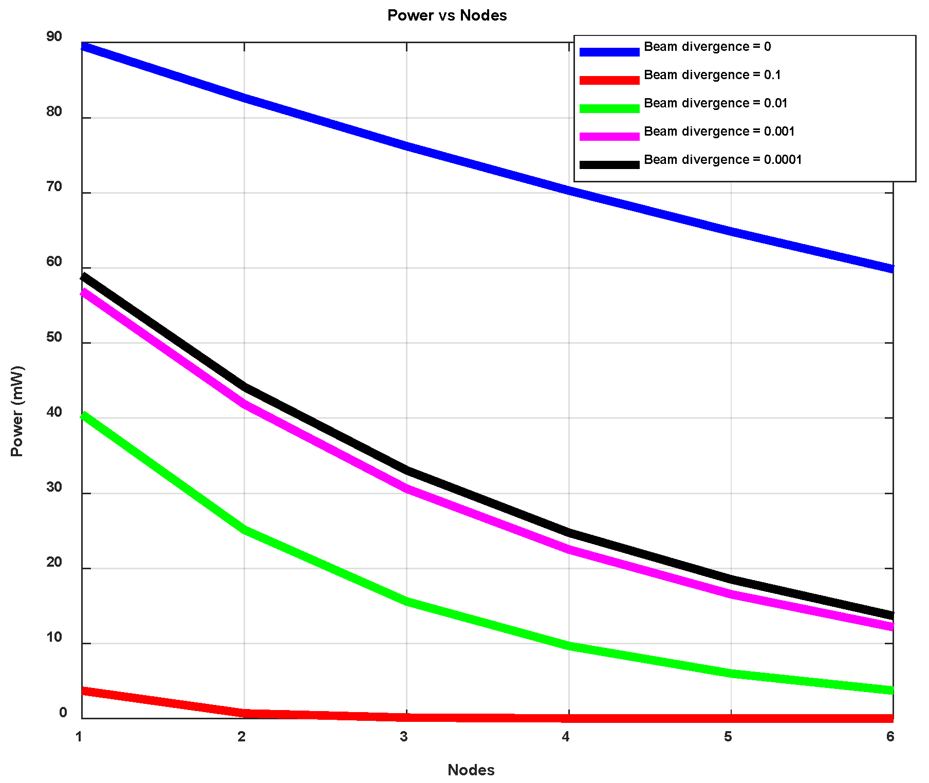
4.1. Power Results
4.2. Time of Arrival Results
5. Comparison with Other Systems Proposed in the Literature
- System (2): A system in which all nodes within the network are inspected, following which the signal is relayed back to the BS by the last node in the network [51]. This system is shown in Figure 9b. The signal needs to pass through all the nodes in succession to reach the last node, which is the only node in the system that can send the signal to the BS.
6. Conclusions and Future Work
- The investigations in this paper considered a static refraction index, which is not the real case, as scattering and turbulence are expected in frost conditions. Models for adaptive refractive indices will be studied and used.
- The turbulence and low temperature effect will be studied and evaluated in a chamber mimicking the frost conditions. Results will be analyzed for different modulation types and locations of the turbulence effects between transmitter and receiver.
- Different pointing methods of the mirrors will be investigated. Dynamic solutions adapted by the mirrors will be explored and developed.
- Deployment and calibration of mirrors and other practical issues will be studied and investigated.
Author Contributions
Funding
Data Availability Statement
Acknowledgments
Conflicts of Interest
Abbreviations
| FSO | Free-Space Optical |
| BS | Base Station |
| UAVs | Unmanned Aerial Vehicles |
| ILP | Integer Linear Program |
| MIMO-FSO | Using Multiple-Input Multiple-Output Free-Space Optical |
| PDM | Polarization Division Multiplexing |
| MEMS | Micro-Electro-Mechanical Systems |
| MDR | Mirror Diversity Receiver |
| VLC | Visible Light Communication |
| PDs | Photodetectors |
References
- Moshrik, R.H.; Mahmoud Abu, A.; Mohammed, J. Statistical examination of frost characterization: A case of global warming impact in Jordan. J. Water Resour. Prot. 2011, 3, 620–627. [Google Scholar] [CrossRef][Green Version]
- Bibi, S.; Baig, M.I.; Qamar, F.; Shahzadi, R.A. Comprehensive survey of free-space optical communication–modulation schemes, advantages, challenges and mitigations. J. Opt. Commun. 2023, 45, s2373–s2385. [Google Scholar] [CrossRef]
- Jahid, A.; Alsharif, M.H.; Hall, T.J. A contemporary survey on free space optical communication: Potentials, technical challenges, recent advances and research direction. J. Netw. Comput. Appl. 2022, 200, 103311. [Google Scholar] [CrossRef]
- Rak, J.; Hutchison, D.; Tapolcai, J.; Bruzgiene, R.; Tornatore, M.; Mas-Machuca, C.; Smith, P. Fundamentals of communication networks resilience to disasters and massive disruptions. In Guide to Disaster-Resilient Communication Networks; Springer: Cham, Switzerland, 2020; pp. 1–43. [Google Scholar]
- Htay, Z.M.M. A High-Speed Reconfigurable Free Space Optical Communication System Utilizing Software Defined Radio Environment. Doctoral Dissertation, University of Northumbria at Newcastle, Newcastle, UK, 2023. [Google Scholar]
- Aboelala, O.; Lee, I.E.; Chung, G.C. A survey of hybrid free space optics (FSO) communication networks to achieve 5G connectivity for backhauling. Entropy 2022, 24, 1573. [Google Scholar] [CrossRef] [PubMed]
- Le, H.D.; Pham, A.T. Link-layer retransmission-based error-control protocols in FSO communications: A survey. IEEE Commun. Surv. Tutor. 2022, 24, 1602–1633. [Google Scholar] [CrossRef]
- Iqbal, S.; Raza, A.; Kaleem, M.; Iqbal, M.; Adeel, M.; Ghafoor, S. A full duplex LG modes enabled millimeter-wave based FSO communication system for disaster zone. Wirel. Netw. 2024, 30, 961–971. [Google Scholar] [CrossRef]
- Saleem, M.; Khan, M.A.; Abbas, S.; Asif, M.; Hassan, M.; Malik, J.A. Intelligent FSO link for communication in natural disasters empowered with fuzzy inference system. In Proceedings of the 2019 International Conference on Electrical, Communication, and Computer Engineering (ICECCE), Swat, Pakistan, 24–25 July 2019; pp. 1–6. [Google Scholar]
- Ahdi, F.; Subramaniam, S. Optimal placement of FSO relays for network disaster recovery. In Proceedings of the 2013 IEEE International Conference on Communications (ICC), Budapest, Hungary, 9–13 June 2013; pp. 3921–3926. [Google Scholar]
- Jeyaseelan, J.; Sriram Kumar, D.; Caroline, B.E. Disaster management using free space optical communication system. Photonic Netw. Commun. 2020, 39, 1–14. [Google Scholar] [CrossRef]
- Ziph-Schatzberg, L.; Bifano, T.; Cornelissen, S.; Stewart, J.; Bleier, Z. Secure optical communication system utilizing deformable MEMS mirrors. MEMS Adapt. Opt. III 2009, 7209, 96–110. [Google Scholar]
- Armstrong, J.W.; Yeh, C.; Wilson, K.E. Earth-to-deep-space optical communications system with adaptive tilt and scintillation correction by use of near-Earth relay mirrors. Opt. Lett. 1998, 23, 1087–1089. [Google Scholar] [CrossRef] [PubMed]
- Park, K.H.; Oubei, H.M.; Alheadary, W.G.; Ooi, B.S.; Alouini, M.S. A Novel Mirror-Aided Non-Imaging Receiver for Indoor 2x2 MIMO-Visible Light Communication Systems. IEEE Trans. Wirel. Commun. 2017, 16, 5630–5643. [Google Scholar] [CrossRef]
- Park, K.H.; Alheadary, W.G.; Alouini, M.S. A novel mirror diversity receiver for indoor MIMO visible light communication systems. In Proceedings of the 2016 IEEE 27th Annual International Symposium on Personal, Indoor, and Mobile Radio Communications (PIMRC), Valencia, Spain, 4–8 September 2016; pp. 1–6. [Google Scholar]
- Kim, M. Analysis of Beam Misalignment Effect in Inter-Satellite FSO Link. arXiv 2025, arXiv:2511.02189. [Google Scholar] [CrossRef]
- Badás, M.; Piron, P.; Bouwmeester, J.; Saathof, R.; Loicq, J. Seidel optical aberrations and optimum truncated Gaussian beams on intersatellite free-space optical communications. Opt. Express 2025, 33, 33686–33703. [Google Scholar] [CrossRef]
- Galaktionov, I.; Toporovsky, V. Performance Analysis of an Optical System for FSO Communications Utilizing Combined Stochastic Gradient Descent Optimization Algorithm. Appl. Syst. Innov. 2025, 8, 143. [Google Scholar] [CrossRef]
- Mao, H.; Zhong, J.; Yu, S.; Xiao, P.; Yang, X.; Lu, G. An Atmospheric Turbulence Compensation Algorithm Based on FSM-DM Cascaded AO Architecture for FSO Communications. Network 2022, 2, 270–287. [Google Scholar] [CrossRef]
- Rukosuev, A.L.; Kudryashov, A.V.; Lylova, A.N.; Samarkin, V.V.; Sheldamkova, Y.V. Adaptive optics system for real-time wavefront correction. Atmos. Ocean Opt. 2015, 28, 381–386. [Google Scholar] [CrossRef]
- Esho, A.O.; Iluyomade, T.D.; Olatunde, T.M.; Igbinenikaro, O.P. A Comprehensive Review of Energy-Efficient Design in Satellite Communication Systems. Int. J. Eng. Res. Util. 2024, 6, 13–25. [Google Scholar]
- Fevgas, G.; Lagkas, T.; Sarigiannidis, P.; Argyriou, V. Advances in Remote Sensing and Propulsion Systems for Earth-Observation Nanosatellites. Future Internet 2025, 17, 16. [Google Scholar] [CrossRef]
- Najafi, M.; Schmauss, B.; Schober, R. Intelligent Reflecting Surfaces for Free Space Optical Communications. In Proceedings of the IEEE Transactions on Communications, Waikoloa, HI, USA, 9–13 December 2019; pp. 1–7. [Google Scholar]
- Ding, C.; Li, C.; Wang, Z.; Gao, Z.; Liu, Z.; Song, J.; Tao, M. Free Space Optical Communication Networking Technology Based on a Laser Relay Station. Appl. Sci. 2023, 13, 2567. [Google Scholar]
- El-Latif, E.I.A.; El-dosuky, M. Predicting Power Consumption of Drones Using Explainable Optimized Mathematical and Machine Learning Models. J. Supercomput. 2025, 81, 646. [Google Scholar] [CrossRef]
- Alsarayreh, S.A.; Alrawashdeh, R.A. Hybrid (FSO–RF) System Model with Intelligent Reflecting Surfaces for Early Warning of Natural Disasters: Conceptual Approach. In Proceedings of the 2024 32nd Telecommunications Forum (TELFOR), Belgrade, Serbia, 2 January 2025; pp. 1–4. [Google Scholar]
- Corballis, M.C. What Mirrors Do. Am. Sci. 2019, 107, 224–232. [Google Scholar] [CrossRef]
- Li, Y.; Wang, H.; Trik, M. Design and simulation of a new current mirror circuit with low power consumption and high performance and output impedance. Analog. Integr. Circuits Signal Process. 2024, 119, 29–41. [Google Scholar] [CrossRef]
- Saruwatari, M. All-optical signal processing for terabit/second optical transmission. IEEE J. Sel. Top. Quantum Electron. 2000, 6, 1363–1374. [Google Scholar] [CrossRef]
- Pike, E.R.; Sabatier, P.C. Scattering, Two-Volume Set: Scattering and Inverse Scattering in Pure and Applied Science; Academic Press: London, UK, 2001. [Google Scholar]
- Midtdal, K.; Jelle, B.P. Self-cleaning glazing products: A state-of-the-art review and future research pathways. Sol. Energy Mater. Sol. Cell 2013, 109, 126–141. [Google Scholar] [CrossRef]
- Roshdy, M.M.; Elghandour, A.H.; Hassan, K.M. Free Space Optical Communications: Challenges, Mitigation Techniques, Classification Framework, and Standardization. Future Eng. J. 2025, 5, 1–18. [Google Scholar]
- Alrawashdeh, R. A Cross-Shaped Slotted Patch Sensor Antenna for Ice and Frost Detection. Technologies 2025, 13, 5. [Google Scholar] [CrossRef]
- Alrawashdeh, R. Investigations of the Slot Effect on the Performance of a Sensor Patch Antenna. In Proceedings of the 2025 IEEE 101st Vehicular Technology Conference, Oslo, Norway, 17–20 June 2025; pp. 1–6. [Google Scholar]
- Xing, L.; Tannous, M.; Vokkarane, V.M.; Wang, H.; Guo, J. Reliability modeling of mesh storage area networks for Internet of Things. IEEE Internet Things J. 2017, 4, 2047–2057. [Google Scholar] [CrossRef]
- Srivathsan, S.; Balakrishnan, N.; Iyengar, S.S. Scalability in wireless mesh networks. In Guide to Wireless Mesh Networks; Springer: London, UK, 2009; pp. 325–347. [Google Scholar]
- Scott, D.S. Efficient all-to-all communication patterns in hypercube and mesh topologies. In Proceedings of the Sixth Distributed Memory Computing Conference, Portland, OR, USA, 28 April–1 May 1991; pp. 398–403. [Google Scholar]
- Slawinski, M.A.; Slawinski, R.A.; Brown, R.J.; Parkin, J.M. A generalized form of Snell’s law in anisotropic media. Geophysics 2000, 65, 632–637. [Google Scholar] [CrossRef]
- Wahab, M.A. Fundamental Concepts Related to a Plane Mirror. In Mirror Symmetry: The Mother of all Crystal Symmetries; Springer: Singapore, 2024; pp. 1–19. [Google Scholar]
- Kwan, A.; Dudley, J.; Lantz, E. Who really discovered Snell’s law? Phys. World 2002, 15, 64. [Google Scholar] [CrossRef]
- Hassan, M.M.; Rather, G.M. Performance Improvement of Free Space Optical Communication (FSO) Using the Innovative Relay Selection and Optimal Power Allocation Technique. Int. J. Comput. Digit. Syst. 2021, 10, 1199–1218. [Google Scholar] [CrossRef]
- Cho, K.R.; Kang, Y.C.; Kim, S.S.; Park, J.K.; Kang, S.H.; Kim, K.H. An ANN based approach to improve the speed of a differential equation based distance relaying algorithm. IEEE Trans. Power Deliv. 1999, 14, 349–357. [Google Scholar] [CrossRef]
- Carrick, A. The Secret of the Circle: Its Area Ascertained. In Sotheran & Company; Sotheran: London, UK, 1876. [Google Scholar]
- Kaymak, Y.; Rojas-Cessa, R.; Feng, J.; Ansari, N.; Zhou, M.; Zhang, T. A Survey on Acquisition, Tracking, and Pointing Mechanisms for Mobile Free-Space Optical Communications. IEEE Commun. Surv. Tutor. 2018, 20, 1104–1123. [Google Scholar] [CrossRef]
- Naik, M.; Singh, Y.N. Simulation of fiber loop buffer memory of all-optical packet switch. In Proceedings of the 8th National Conference on Communications (NCC 2002), Mumbai, India, 26–27 January 2022. [Google Scholar]
- Bajwa, R.; Verma, P. Effect of Different Atmospheric Conditions on the Performance of the FSO System at 1550nm. In Proceedings of the 2018 5th International Conference on Signal Processing and Integrated Networks (SPIN), Noida, India, 22–23 February 2018; pp. 390–395. [Google Scholar]
- Gjurchinovski, A.R. Reflection of light from a uniformly moving mirror. Am. J. Phys. 2004, 72, 1316–1324. [Google Scholar] [CrossRef]
- Edmund Optical. Available online: https://www.edmundoptics.com.sg/f/right-angle-mirrors/12280 (accessed on 26 March 2025).
- Larsson, R.; Karlsson, M.; Andrekson, P.A. Sensitive optical free-space receiver architecture for coherent combining of deep-space communication signals through atmospheric turbulence. Opt. Express 2024, 32, 44799–44815. [Google Scholar] [CrossRef]
- Ansari, I.S.; Alouini, M.S.; Yilmaz, F. On the performance of hybrid RF and RF/FSO fixed gain dual-hop transmission systems. In Proceedings of the 2013 Saudi International Electronics, Communications and Photonics Conference, Riyadh, Saudi Arabia, 27–30 April 2013; pp. 1–6. [Google Scholar]
- Schuster, J.; Willebrand, H.; Bloom, S.; Korevaar, E. Understanding the performance of free space optics. J. Opt. Netw. 2003, 2, 178–200. [Google Scholar] [CrossRef]
- Wu, Y.; Kong, D.; Wang, Q.; Li, G. Performance analysis of UAV-assisted hybrid FSO/RF communication systems under various weather conditions. Sensors 2023, 23, 7638. [Google Scholar] [CrossRef] [PubMed]
- Ciaramella, E. 1.28 terabit/s (32 × 40 Gbit/s) WDM Transmission System for Free Space Optical Communications. IEEE J. Sel. Areas Commun. 2009, 27, 1639–1645. [Google Scholar] [CrossRef]
- Zhang, K. DVS Enabled Fast Beam Tracking for Underwater Wireless Laser Communication. Opt. Express 2025, 33, 43795–43805. [Google Scholar] [CrossRef]










| Elements (from–to) | Distance (km) |
|---|---|
| BS to node 1 | = 10 |
| Each node to the BS | = 10 |
| Each node to the next node | = 10 |
| Sample | Value | Unit |
|---|---|---|
| d1 = d2 | 1 | m |
| Pt | 100 | mW |
| B | 10−9 near to ideal case | mrad |
| R | 10 | km |
| α | 0.013 | dB/km |
| λ | 1550 | nm |
| Pr | −80 | dBm |
| If Natural Disasters in | Total Transmission Distance (km) | Time (µsec) |
|---|---|---|
| Node 1 | 20 | 66.7 |
| Node 2 | 30 | 100 |
| Node 3 | 40 | 133 |
| Node 4 | 50 | 166.8 |
| Node 5 | 60 | 200 |
| Node T | 60.1 | 200.3 |
Disclaimer/Publisher’s Note: The statements, opinions and data contained in all publications are solely those of the individual author(s) and contributor(s) and not of MDPI and/or the editor(s). MDPI and/or the editor(s) disclaim responsibility for any injury to people or property resulting from any ideas, methods, instructions or products referred to in the content. |
© 2025 by the authors. Licensee MDPI, Basel, Switzerland. This article is an open access article distributed under the terms and conditions of the Creative Commons Attribution (CC BY) license (https://creativecommons.org/licenses/by/4.0/).
Share and Cite
Alsarayreh, S.; Alrawashdeh, R.; Zhou, J. An FSO System Based on Mirrors for Early Warning of Frost: Primary Analysis. Photonics 2025, 12, 1199. https://doi.org/10.3390/photonics12121199
Alsarayreh S, Alrawashdeh R, Zhou J. An FSO System Based on Mirrors for Early Warning of Frost: Primary Analysis. Photonics. 2025; 12(12):1199. https://doi.org/10.3390/photonics12121199
Chicago/Turabian StyleAlsarayreh, Sarah, Rula Alrawashdeh, and Jiafeng Zhou. 2025. "An FSO System Based on Mirrors for Early Warning of Frost: Primary Analysis" Photonics 12, no. 12: 1199. https://doi.org/10.3390/photonics12121199
APA StyleAlsarayreh, S., Alrawashdeh, R., & Zhou, J. (2025). An FSO System Based on Mirrors for Early Warning of Frost: Primary Analysis. Photonics, 12(12), 1199. https://doi.org/10.3390/photonics12121199

