Next Article in Journal
Immersed-Prism TIRF Microscopy for Visualizing Intraflagellar Transport in Live Cells
Previous Article in Journal
Numerical Simulation and Microstructure Examination of a Low-Alloy Structural Steel for Laser Transformation Hardening Treatment
 
 
Font Type:
Arial Georgia Verdana
Font Size:
Aa Aa Aa
Line Spacing:
Column Width:
Background:
Article

Design and Optimization of Polarization-Maintaining Hollow-Core Anti-Resonant Fibers Based on Pareto Multi-Objective Algorithms

1
School of Information and Communication Engineering, North University of China, Taiyuan 030051, China
2
College of Mechatronics Engineering, North University of China, Taiyuan 030051, China
3
College of Engineering, Peking University, Beijing 100871, China
4
Department of Intelligent and Information Engineering, Taiyuan University, Taiyuan 030032, China
*
Authors to whom correspondence should be addressed.
Photonics 2025, 12(10), 993; https://doi.org/10.3390/photonics12100993
Submission received: 11 September 2025 / Revised: 4 October 2025 / Accepted: 7 October 2025 / Published: 9 October 2025

Abstract

This work proposes a novel polarization-maintaining hollow-core anti-resonant fiber structure characterized by high birefringence and low transmission loss. To address the inherent trade-off between birefringence and confinement loss, a Pareto-front-based multi-objective optimization algorithm is introduced into the geometrical design of the ARF. The optimal fiber design achieves a birefringence exceeding 1 × 10 4 and a confinement loss of approximately 1 dB/m at the telecommunication wavelength of 1.55 μ m. In particular, the asymmetric wall thickness configuration further improves the trade-off, enabling confinement loss as low as 0.15 dB/m while maintaining birefringence on the order of 1 × 10 4 . This approach significantly reduces computational cost and exhibits strong potential for applications in polarization-maintaining communications, precision sensing, and high-power laser delivery.

1. Introduction

With the rapid evolution of communication networks, next-generation information technologies are placing increasingly stringent demands on optical fiber transmission systems in terms of bandwidth, capacity, latency, and reliability. Traditional solid-core fibers [1] are gradually reaching their performance limits in scenarios requiring ultra-high capacity, low latency, and high data rates. These limitations are primarily due to intrinsic constraints such as chromatic dispersion [2], nonlinear optical effects [3], and transmission loss [4], all of which significantly hinder the practicality and scalability of such fibers. In recent years, hollow-core fibers (HCFs) [5] have emerged as a promising candidate technology for future optical communication and precision photonics systems, owing to their exceptional properties including ultra-low transmission loss [6], minimal propagation delay [7], broadband guiding capability [3], substantially suppressed nonlinear effects, and high laser damage thresholds [8]. Among the various HCF designs, anti-resonant fibers (ARFs) [9] have demonstrated tremendous potential for broadband signal transmission [10], high-power laser delivery [11], and high-sensitivity sensing [12], due to their unique anti-resonant guiding mechanism [13]. Unlike traditional solid-core fibers, which rely on material doping to create total internal reflection [14,15], ARFs guide light through air by engineering anti-resonant structures that confine light within an air core.
Regarding transmission loss, the total attenuation in ARFs is governed by confinement loss (CL), surface scattering loss, micro-bending loss, and macro-bending loss. The actual transmission loss of ARFs has decreased from over 0.5 dB/m in early designs to below 10 4  dB/m [16], thereby surpassing the theoretical material absorption limits of conventional solid-core fibers. This breakthrough has laid a solid foundation for next-generation ultra-high-speed, ultra-long-haul, and ultra-low-latency optical communication systems. Despite these advancements, mainstream ARF designs still face substantial practical challenges. The most prominent of these are limited polarization-maintaining (PM) capability, insufficient birefringence (BI), and relatively high transmission loss. These drawbacks severely limit the deployment and engineering viability of ARFs in polarization-sensitive applications such as ultra-stable fiber interferometry, polarization-division multiplexed communication, and high-precision optical fiber sensing [17].
To enhance ARF performance in such demanding applications, it is essential to develop polarization-maintaining hollow-core fiber structures that achieve both high birefringence and low transmission loss. However, enhancing birefringence generally requires structural asymmetry to amplify the electric field polarization contrast, whereas loss reduction typically favors symmetric structures to minimize leakage pathways. This inherent contradiction introduces a fundamental trade off between increasing birefringence and minimizing CL. Therefore, ARF structural design intrinsically constitutes a complex multi-objective optimization problem. Conventional single-objective optimization approaches struggle to effectively balance these competing performance metrics. In this context, the adoption of advanced multi-objective optimization strategies, especially evolutionary search algorithms based on Pareto front theory, offers significant theoretical and practical value for the simultaneous optimization of birefringence and loss in ARFs.
In recent years, various algorithmic approaches have shown promise in the design and optimization of hollow-core fibers. For instance, in 2019, Sunny Chugh et al. demonstrated the application of neural networks in parameter prediction for photonic crystal fibers [18]. Building upon this, Xiaowen Hu et al. in 2020 combined geometric modeling with neural networks to evaluate and optimize a dataset comprising one million fiber designs [19]. In 2021, Fanchao Meng et al. applied advanced classification algorithms to categorize and optimize 12 geometric models using a dataset of 290,000 samples [20], and later that year extended the dataset to 400,000 samples, integrating optimization algorithms to further refine structural design [21]. In 2023, Meng’s team proposed a dual-layer neural network approach to accelerate the structural search and validation process by optimizing 12 design parameters [22]. In 2024, Liu et al. introduced a surrogate-assisted HSOA optimization method, significantly reducing computational cost using only 243 training samples and 400 optimization points [23]. In the same year, they also conducted an exhaustive mathematical exploration of single-ring hollow-core ARFs to identify an optimal high-birefringence geometry.
Despite these advances, previous works have been limited by overly complex structures, excessive computational costs, and the difficulty of applying single-objective optimization algorithms to inherently multi-objective problems. To address these challenges, this work proposes a simplified polarization-maintaining ARF structure and introduces a novel multi-objective optimization algorithm based on Pareto-front search. By carefully tuning geometric parameters, we simultaneously optimize for high birefringence and low CL. The resulting Pareto front is well-defined, and two optimal design candidates are identified at the 1.55  μ m wavelength. Parameter Set 1 achieves birefringence above 1.5 × 10 4 across a 0.675  μ m bandwidth (1.225–1.9  μ m), with CL maintained near 10 0  dB/m. Parameter Set 2 provides birefringence exceeding 5 × 10 5 within a narrower 0.15  μ m band (1.4–1.55  μ m), with loss on the order of 10 1  dB/m.

2. Theory and Fiber Structure Design

Under the ARROW mechanism, the cladding glass wall acts as a Fabry–Pérot reflector. Let n 1 > n 2 denote the refractive indices of the glass wall and the adjacent low-index medium (air), respectively, and let d be the wall thickness. Define the transverse wavenumber inside the high-index wall as k ex = ( 2 π / λ ) n 1 2 n 2 2 . Spectral dips (resonances) occur when k ex d = m π , whereas antiresonant low-loss bands occur when k ex d = ( m + 1 2 ) π . The corresponding wavelengths are
λ m = 2 d m n 1 2 n 2 2 , m = 1 , 2 ,
λ = 2 d + 1 2 n 1 2 n 2 2 , = 0 , 1 ,
These expressions hold in the regime λ a and, if a low-index interlayer is present, b a , and they correctly distinguish resonance dips from antiresonant low-loss bands [24,25].
The total transmission loss in hollow-core fibers is primarily limited by structural leakage, where confinement loss serves as one of the key performance indicators. Based on the imaginary part of the complex effective refractive index, the CL per unit length can be estimated using the following expression:
CL = 40 π ln 10 · Im ( n eff ) λ
where Im ( n eff ) denotes the imaginary part of the effective refractive index, and λ is the operating wavelength. This formula reveals a direct relationship between modal leakage and structural/material parameters, providing a theoretical basis for loss minimization.
Regarding polarization-maintaining performance, birefringence is a critical metric that quantifies the propagation difference between two orthogonal polarization modes. Two commonly used definitions are phase birefringence and group birefringence. The phase birefringence is defined as the effective refractive index difference between the two orthogonal polarization modes:
B p = n eff x n eff y
where n eff x and n eff y denote the effective refractive indices of the X- and Y-polarized modes, respectively. Phase birefringence characterizes the phase velocity difference between the two polarization states. The group birefringence, by contrast, is defined in terms of the group indices of the orthogonal polarization modes:
B g = n g x n g y
where the group index n g is expressed as
n g = n eff λ d n eff d λ .
This work proposes a novel polarization-maintaining hollow-core anti-resonant fiber (PM-HC-ARF) structure, as illustrated in Figure 1. The cross-sectional layout exhibits geometric symmetry, where each region comprises nested circular tubes, including either two or three concentric layers. The total cladding radius is denoted as R, and all tube walls have uniform thickness t. The radii of the innermost, middle, and outermost tubes are labeled as r 3 , r 2 , and r 1 , respectively. The geometric ratios are defined as follows:
r 1 R = A , r 2 r 1 = B , r 3 r 2 = C
By appropriately tuning these structural parameters, strong optical confinement and high birefringence polarization modes can be simultaneously achieved.
The parameter ranges used in the fiber structure design are defined as follows: the cladding radius R is within the range of [ 30 , 50 ]   μ m , and the tube wall thickness t lies between [ 0.1 , 1.0 ]   μ m . The geometric ratio A = r 1 / R is set within [ 0.4 , 0.45 ] , while the inner radius ratios B = r 2 / r 1 and C = r 3 / r 2 are both constrained to the interval [ 0.5 , 0.8 ] . The fiber structure proposed in this work adopts a three-tube configuration. Based on current advanced fabrication techniques, double-tube hollow-core fibers have already been fabricated [26], and triple-tube fibers have also been fabricated [27]. Therefore, the proposed structure is considered to have high fabrication feasibility under existing manufacturing conditions.
Figure 2 illustrates the Pareto front formed by the set of non-dominated optimal solutions shown as orange dots, while green and blue points represent candidate solutions in the current population. The arrows indicate the evolutionary trend of the optimization algorithm toward the Pareto-optimal region.
The proposed structure was analyzed using the finite element method (FEM) to simulate modal distributions and performance characteristics. By leveraging a Pareto-front-based multi-objective optimization algorithm, the complex interplay among design parameters was comprsolid-core fibersehensively explored, revealing their effects on fiber performance. The resulting optimized structure achieves high birefringence on the order of 10 4 together with low confinement loss at the 1.55  μ m telecom wavelength, confirming the feasibility and effectiveness of the proposed design methodology.

3. Optimization Methodology

In this study, a multi-objective optimization framework based on the built-in paretosearch algorithm is employed to optimize the proposed hollow-core anti-resonant fiber (HC-ARF) structure. The optimization aims to simultaneously achieve high birefringence while minimizing transmission loss.
The optimization problem involves five design variables, namely the cladding radius, the uniform wall thickness of the glass tubes, and three structural ratio parameters A, B, and C that govern the relative radii of concentric tubes. The design variable space is bounded as previously defined, and the objective functions are formulated to evaluate BI and CL for each parameter combination through high-fidelity multiphysics simulations.
The optimization proceeds as follows: An initial population of solutions is randomly generated within the feasible domain. These solutions are evaluated using the objective functions, and the initial Pareto front is identified through non-dominated sorting. The algorithm then performs iterative local pattern searches to generate new candidate solutions. After each iteration, the Pareto set is dynamically updated by comparing dominance relations, and the search region is adaptively refined based on convergence tolerance.
The paretosearch method (Algorithm 1) does not require gradient information, and it involves minimal control parameters, making it particularly suitable for computationally expensive multiphysics simulation problems. The final output is a well-defined Pareto-optimal set that captures the trade off relationship between birefringence and transmission loss.
Algorithm 1 Pareto Search-Based Multi-Objective Optimization
  1:
Input:
  2:
    Number of decision variables: n = 5
  3:
    Number of objectives: M = 2
  4:
    Variable bounds: x i [ l b i , u b i ] , i = 1 , , 5
  5:
    Simulation model
  6:
    Optimization options: population size, max generations, etc.
  7:
Initialization:
  8:
    Generate initial population P uniformly within feasible domain
  9:
    Evaluate objective vector f ( x ) = [ f 1 ( x ) , f 2 ( x ) ] for all x P
10:
    Identify initial Pareto front based on non-dominated sorting
11:
while termination condition not satisfied do
12:
      Perform local polling and pattern search to generate new candidates
13:
      Evaluate objective functions f 1 (CL), f 2 ( B I ) for new candidates
14:
      Update Pareto front with non-dominated solutions
15:
      Adaptively refine the search domain based on Pareto front evolution
16:
end while
17:
Output: Final Pareto-optimal solution set X * and objective values f ( X * )

4. Numerical Experiments

Based on the optimization results obtained from the Pareto search algorithm, a total of 12 non-dominated solutions forming the Pareto front were identified within 300 structural evaluations, as shown in Figure 3. These solutions illustrate the trade off relationship between BI and CL. The BI values of the Pareto-optimal solutions range from 3.03 × 10 5 to 4.44 × 10 4 , while the corresponding CL values span from 1.35 × 10 2 dB/m to 12.99 dB/m. The results clearly reveal a positive correlation between BI and CL, indicating that achieving higher birefringence generally incurs greater confinement loss. This trend stems from the inherent physical contradiction between the asymmetry required to enhance polarization separation and the symmetry preferred for leakage suppression.
Importantly, within the BI range of 1.0 × 10 4 to 1.5 × 10 4 , several design points are observed to maintain confinement loss below 1 dB/m while still achieving moderate-to-high birefringence levels. Such solutions demonstrate strong potential for applications that require a balance between polarization-maintaining capability and low-loss transmission, such as coherent fiber-optic systems, polarization-sensitive sensors, and narrow-linewidth laser delivery.
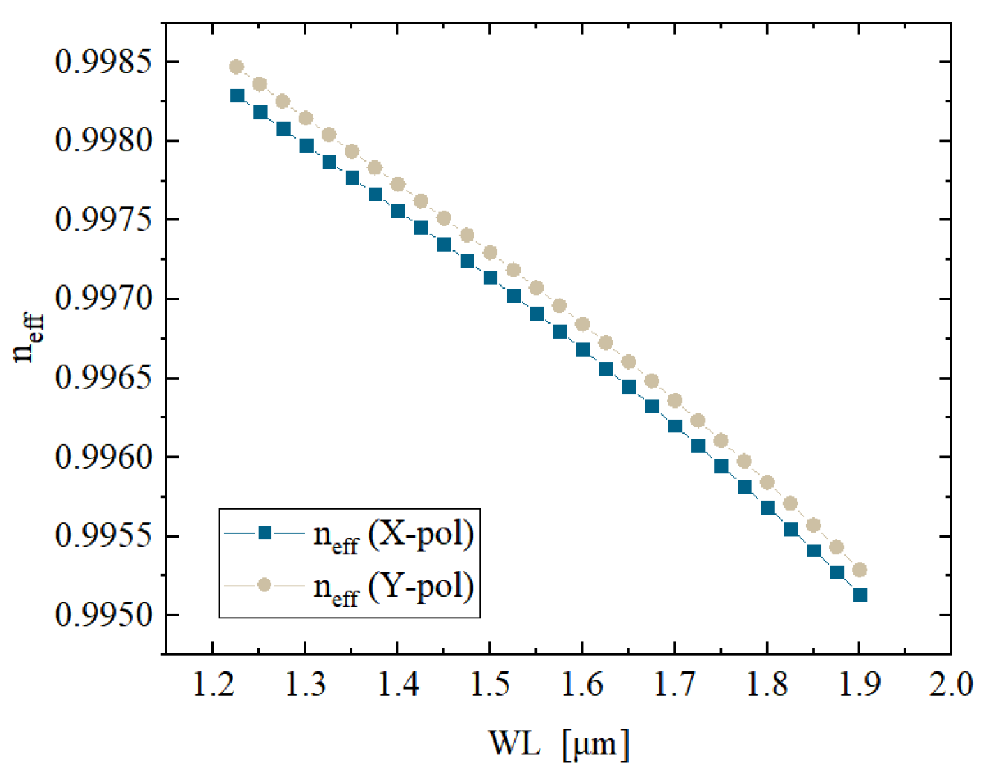
Under the optimal structural parameters ( R = 40.3125   μ m , t = 0.5078   μ m , A = 0.4445 , B = 0.7578 , and C = 0.5047 ), the designed HC-ARF demonstrates desirable optical performance across the wavelength range of 1.225 μ m to 1.9 μ m, as illustrated in Figure 4. The variation in effective refractive indices for the X and Y polarized modes as functions of wavelength. Throughout the entire band, a clear separation between the two polarization modes is observed, with both curves exhibiting a monotonically decreasing trend as the wavelength increases. At the operating wavelength of 1.55 μ m, the difference between the effective indices of X and Y polarizations reaches approximately 1.6 × 10 4 , indicating a prominent phase birefringence. This confirms the structural robustness of the design in maintaining polarization states, which is essential for polarization-sensitive applications.
Figure 5 shows the wavelength-dependent variation in CL for the two polarization states. In the mid-band range of 1.4 μ m to 1.6 μ m, the confinement loss remains at a relatively low level. Specifically, for the Xpolarized mode, the minimum CL reaches approximately 1.58 dB/m at the wavelength of 1.55 μ m. This result confirms that the designed geometry achieves effective optical confinement within the target band, particularly under the anti-resonant condition, which plays a key role in minimizing leakage for both polarization modes.
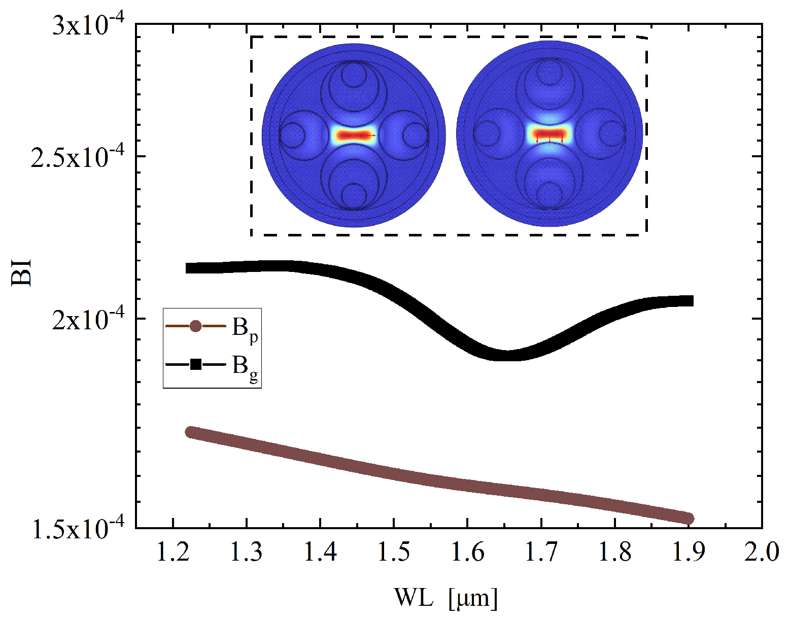
Figure 6 further presents the variation in birefringence across the operational wavelength range for the proposed structure. The phase birefringence B p remains stable within the range of 1.5 × 10 4 to 1.9 × 10 4 throughout the full spectral sweep, demonstrating excellent wavelength robustness, while the group birefringence B g exhibits a similarly smooth variation, staying between 1.5 × 10 4 and 1.9 × 10 4 . In particular, both B p and B g show minimal fluctuation within the critical band from 1.2 μ m to 1.9 μ m, which is highly favorable for broadband polarization-maintaining applications. The inset of Figure 6 shows the transverse mode profiles of the X and Y polarized fundamental modes at the wavelength of 1.55 μ m. A clear spatial separation between the two polarization states is evident, highlighting the distinct field localization patterns and confirming the structure’s strong polarization mode decoupling capability. This spatial anisotropy plays a crucial role in maintaining high birefringence and stable polarization guidance.
Figure 7 presents the wavelength scanning results of HOMER for optimal parameter 1. It can be observed that HOMER maintains values above 4 across the investigated spectral range from 1.2 μ m to 1.9 μ m, with a clear increasing trend toward longer wavelengths. At the telecom wavelength of 1.55 μ m, HOMER reaches a value of 4.39, which indicates a well-confined polarization state and strong modal discrimination. The gradual growth of HOMER with wavelength further confirms that the optimized asymmetric wall thickness structure provides enhanced robustness against polarization crosstalk in the longer wavelength region. The inset shows the electric field distribution of the higher-order mode at 1.55 μ m, illustrating effective separation from the fundamental mode and verifying the capability of the design to suppress higher-order mode resonance.
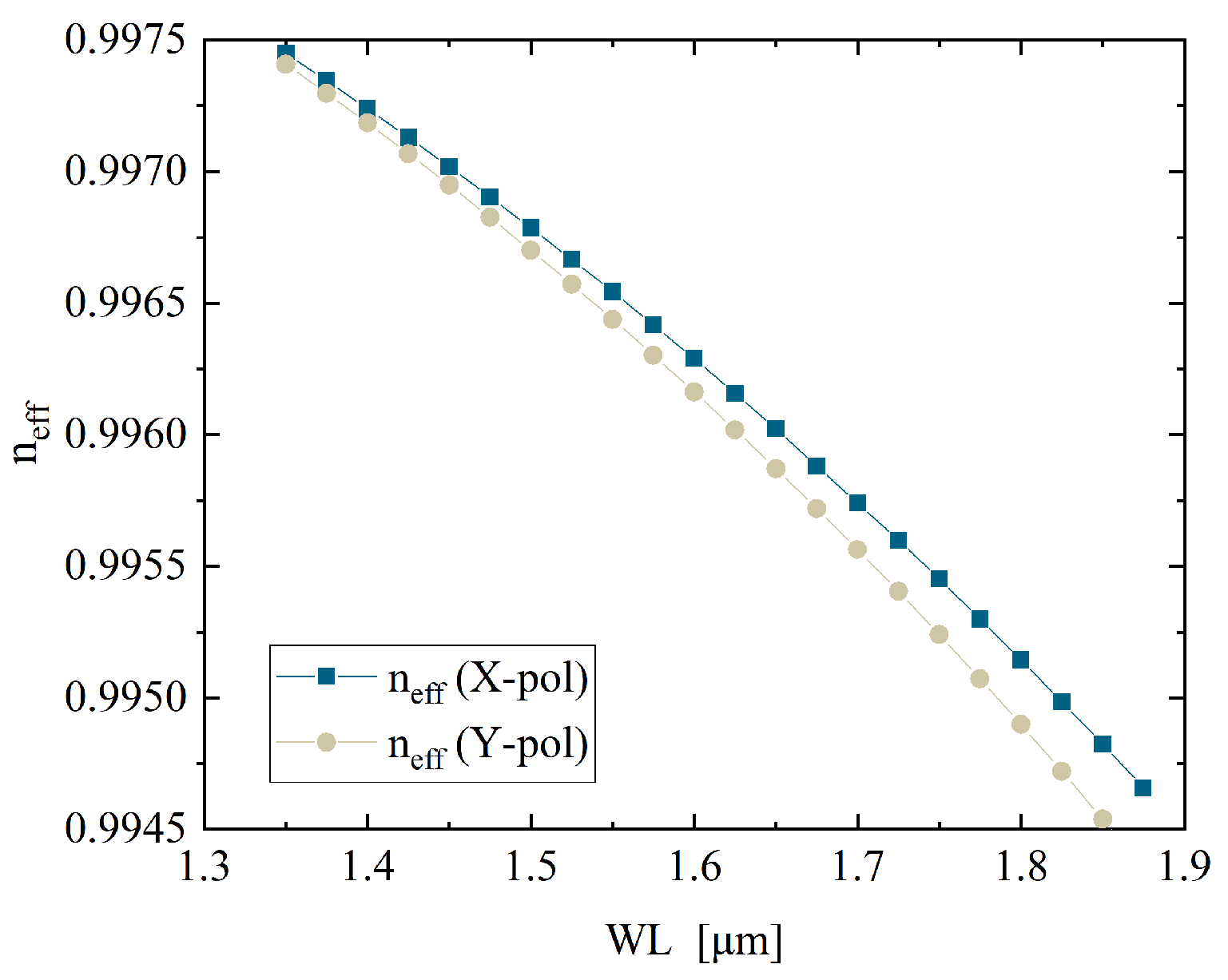
Based on the optimal parameter configuration ( R = 30.5457   μ m , t = 0.2627   μ m , A = 0.421 , B = 0.772 , and C = 0.629 ), the optical performance of the designed anti-resonant hollow-core fiber was evaluated over the wavelength range of 1.35–1.875 μ m. Figure 8 presents the variation in the effective refractive indices for the X and Y polarized fundamental modes as functions of wavelength. A stable offset is maintained between the two curves across the entire spectral range, indicating strong polarization distinguishability and consistent birefringence characteristics. This behavior suggests that the structure effectively supports dual polarization operation while preserving high modal contrast, which is essential for polarization-maintaining fiber applications.
Figure 9 illustrates the CL behavior of the fiber across different wavelengths. In the range of 1.35–1.6 μ m, the CL remains at a relatively low level for both polarization directions. Notably, the minimum CL reaches 0.9269 dB/m at 1.55 μ m, indicating that the structure provides excellent transmission performance within the target telecom band. As the wavelength increases beyond 1.6 μ m, a significant rise in confinement loss is observed, suggesting that the anti-resonant guiding condition becomes less effective at longer wavelengths. This trend highlights the importance of carefully tuning the structural parameters to optimize performance in the intended operating range.
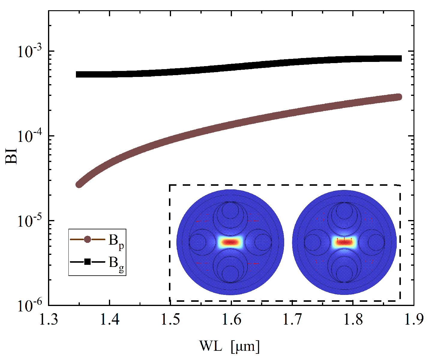
Figure 10 shows the wavelength dependent variation in birefringence. It can be observed that the phase birefringence B p remains within the order of 10 5 to 10 4 and shows a clear increasing trend with wavelength, while the group birefringence B g stays nearly constant on the order of 10 3 with only minor fluctuations. This complementary behavior indicates that the proposed structure simultaneously achieves a steadily growing B p and a stable B g , thereby ensuring robust polarization discrimination over the entire spectral range. The figure also includes inset mode profiles depicting the transverse electric field distributions of the fundamental modes for both polarization directions at 1.55 μ m. A clear distinction between the X and Y polarized modes confirms strong spatial mode separation and effective structural decoupling, which are critical for robust polarization-maintaining performance.
Figure 11 shows the wavelength scanning results of HOMER for optimal parameter 2. In this configuration, HOMER exhibits significant fluctuations across the scanned spectral range from 1.3 μ m to 1.9 μ m. The values vary between approximately 2 and 40, with pronounced peaks observed around 1.45 μ m and 1.55–1.60 μ m. At the telecom wavelength of 1.55 μ m, HOMER reaches 9.89, indicating enhanced modal discrimination at this operating point. Compared with parameter 1, the distribution reveals a more irregular spectral dependence, which suggests stronger sensitivity of higher-order mode resonance to wavelength detuning. The inset provides the electric field distribution of the higher-order mode at 1.55 μ m, confirming effective spatial separation from the fundamental mode and the ability of the structure to suppress mode coupling under the optimal parameter 2 configuration.

5. Disscussion

In the previous design, equal wall thicknesses were adopted for all capillaries in order to reduce fabrication complexity. To further explore the performance limits of the structure under asymmetric conditions, in this section we introduce differentiated wall thicknesses by assigning t 1 to the two horizontal capillaries and t 2 to the three vertical capillaries, while keeping the other parameters unchanged. The structure was re-optimized under this new configuration, and two representative optimal solutions are selected for detailed discussion. Parameter 1 corresponds to R = 31.1061 , t 1 = 0.4388 , t 2 = 0.6167 , A = 0.4191 , B = 0.7787 , and C = 0.5984 , yielding a confinement loss of 0.3367 dB/m and a birefringence of 2.03 × 10 4 at 1.55 μ m. Parameter 2 is characterized by R = 31.9737 , t 1 = 0.4102 , t 2 = 0.5621 , A = 0.4181 , B = 0.7792 , and C = 0.6647 , resulting in a confinement loss of 0.1544 dB/m and a birefringence of 1.32 × 10 4 at 1.55 μ m.
As illustrated in Figure 12, the introduction of the asymmetric wall thickness configuration significantly modifies the trade-off relationship between BI and CL. Compared with the equal wall thickness design presented in Figure 3, the Pareto front is clearly shifted toward the lower-left region, indicating a simultaneous improvement in both birefringence and loss performance. In particular, within the region of BI > 1.0 × 10 4 , the confinement loss is effectively suppressed to 0.1–0.3 dB/m. This represents nearly an order-of-magnitude reduction relative to the previous design at comparable BI levels, highlighting the advantage of breaking the wall thickness symmetry.
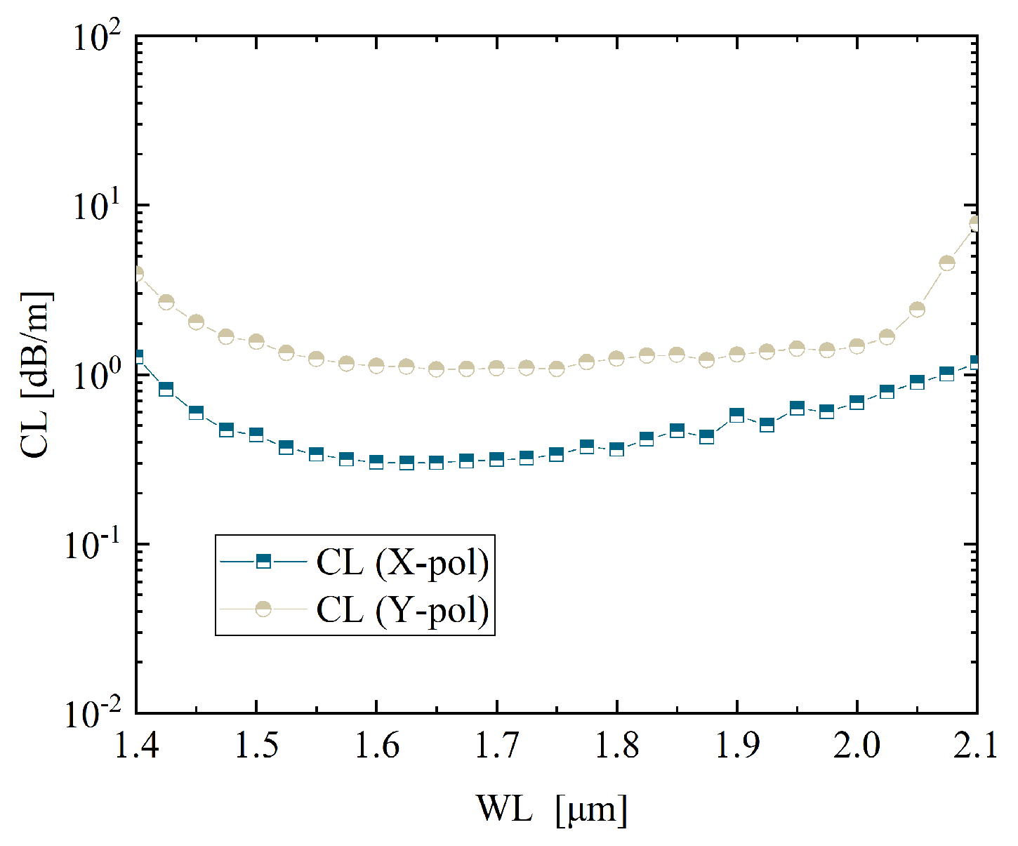
Figure 13 and Figure 14 illustrate the broadband performance of the optimized asymmetric wall thickness structure. At the telecom wavelength of 1.55 μ m, the confinement loss of the low-loss polarization is evaluated to be 0.337 dB/m, accompanied by a phase birefringence B p of 2.03 × 10 4 and a group birefringence B g of approximately 4 × 10 4 . The confinement loss reaches its minimum within the range of 1.62–1.68 μ m, where values as low as 0.30–0.31 dB/m are achieved. Moreover, both B p and B g exhibit stable behavior across the 1.40–2.10 μ m window. Specifically, B p gradually decreases from about 2.5 × 10 4 to 1.5 × 10 4 , while B g remains nearly flat around the order of 4 × 10 4 . This complementary evolution demonstrates that the structure can simultaneously maintain sufficient phase birefringence and highly stable group birefringence, thereby ensuring robust polarization performance over a broad spectral region.
Figure 15 illustrates the wavelength scanning results of HOMER for the optimized asymmetric wall thickness structure with optimal parameter 1. It can be observed that HOMER remains relatively high across the spectral window from 1.4 μ m to 2.1 μ m, with values exceeding 15 throughout the entire range. At shorter wavelengths near 1.4 μ m, HOMER reaches its maximum above 70, indicating strong suppression of higher-order mode coupling. As the wavelength increases, HOMER gradually decreases yet stabilizes around 20 at 1.65 μ m, as highlighted in the inset, and maintains comparable values beyond 1.8 μ m. This behavior demonstrates that the optimized asymmetric wall thickness design provides robust higher-order mode extinction over a broad spectral window, thereby ensuring single-mode guidance and stable polarization maintenance across the near-infrared band.
Figure 16 and Figure 17 present the spectral characteristics of the optimized asymmetric wall thickness structure under the second optimal configuration. At 1.55 μ m, the confinement loss of the dominant polarization is reduced to 0.154 dB/m, accompanied by a phase birefringence B p of 1.32 × 10 4 and a group birefringence B g of approximately 6.8 × 10 4 . Across the 1.45–1.60 μ m window, the confinement loss remains consistently within 0.15–0.17 dB/m, demonstrating stable low-loss transmission over a broad wavelength range. Although the phase birefringence B p gradually decreases from about 1.5 × 10 4 at 1.35 μ m to around 1.0 × 10 4 at 1.85 μ m, while the group birefringence B g remains stable near the order of 10 3 with only minor fluctuations. This behavior indicates that, although B p is slightly lower compared with Parameter Set 1, the configuration maintains sufficient phase birefringence together with highly robust group birefringence, thereby ensuring reliable polarization discrimination while achieving enhanced transmission efficiency.
Figure 18 shows the wavelength scanning results of HOMER for the optimized asymmetric wall thickness structure with optimal parameter 2. It is evident that HOMER exhibits a pronounced peak at short wavelengths, reaching a maximum of 254.5 near 1.32 μ m, which indicates extremely strong suppression of higher-order mode coupling in this region. As the wavelength increases, HOMER decreases rapidly but remains well above 20 across the entire investigated range of 1.3–1.9 μ m. At 1.63 μ m, HOMER maintains a value of 28.2, as highlighted in the inset, confirming robust higher-order mode extinction in the telecom band. The overall trend demonstrates that, although HOMER decays with wavelength, the optimized structure under parameter 2 consistently ensures efficient suppression of higher-order modes, thereby supporting stable single-mode guidance over a broad spectral window.
As shown in Figure 19, the blue curve corresponds to the photonic crystal fiber [28], the green curve represents the proposed anti-resonant hollow-core fiber with parameter 2, and the brown curve denotes the photonic bandgap fiber [29]. The photonic crystal fiber achieves high birefringence on the order of 10 2 through strong geometric anisotropy, but its solid-core guidance introduces nonlinear effects, thermal sensitivity, and increasing confinement loss at longer wavelengths. The photonic bandgap fiber offers low loss near the bandgap center, yet its effective bandwidth is narrow and highly sensitive to structural tolerances, with birefringence typically in the range of 10 5 to 10 4 . In contrast, the proposed anti-resonant fiber maintains stable birefringence around 10 4 and nearly flat low loss across the 1–2 μ m band, while retaining the advantages of hollow-core guidance such as low nonlinearity and reduced thermal effects. This design thus provides a broader usable bandwidth and more robust polarization performance compared with the other fiber types.
Figure 20 presents the robustness analysis of the symmetric parameter 1 with equal wall thickness. As shown in the contour maps, the confinement loss remains below 2 dB/m within a reasonably broad region surrounding the optimal point, indicating strong tolerance to fabrication-induced deviations in both A and t. In contrast, the birefringence distribution exhibits greater sensitivity, with high values concentrated around a narrow ridge near A 0.445 . Nevertheless, the birefringence stays above 1.2 × 10 4 within a practical tolerance window of Δ A ± 0.002 and Δ t ± 0.01 , which confirms that sufficient polarization-maintaining capability can still be achieved under typical fabrication errors.
Figure 21 illustrates the robustness analysis of the symmetric parameter 2 with equal wall thickness. As shown in the contour maps, the confinement loss remains below 20 dB/m across a wide tolerance range, reflecting strong fabrication tolerance in terms of transmission performance. In contrast, the birefringence distribution reveals a pronounced peak around the optimal point, where BI exceeds 1.5 × 10 4 . Although the birefringence decreases gradually with deviations in A or t, values above 8.0 × 10 5 are maintained within a practical window of Δ A ± 0.003 and Δ t ± 0.01 , ensuring sufficient polarization-maintaining capability.
Figure 22 presents the robustness analysis of the asymmetric parameter 1. The contour plots indicate that the confinement loss remains below 1.0 × 10 2 dB/m across a broad tolerance window, confirming that the design maintains acceptable transmission performance even under fabrication-induced deviations. In terms of birefringence, the structure exhibits a stable high-BI region, with peak values close to 2.9 × 10 4 around the optimal point. While birefringence decreases gradually as A, t 1 , or t 2 deviate, values above 1.5 × 10 4 are preserved within practical tolerances of Δ A ± 0.003 , Δ t 1 ± 0.01 , and Δ t 2 ± 0.015 .
Figure 23 presents the robustness analysis of the asymmetric parameter 2. The contour distributions of confinement loss indicate that CL remains below 1.0 × 10 3 dB/m within a broad tolerance range, demonstrating acceptable robustness for transmission performance. On the birefringence side, a relatively stable region is observed around the optimal point, with maximum BI approaching 2.0 × 10 4 . Although the birefringence decreases with larger deviations in A, t 1 , or t 2 , values above 1.0 × 10 4 are maintained within tolerances of Δ A ± 0.002 , Δ t 1 ± 0.01 , and Δ t 2 ± 0.015 . These results suggest that the asymmetric design of parameter 2 provides a balanced trade-off between low confinement loss and sufficient birefringence, ensuring stable polarization-maintaining performance even under fabrication imperfections.
Table 1 summarizes recent representative works on the optimization of HC-ARF structures. The comparison is conducted across five key dimensions: CL, BI, number of simulations performed, number of optimization objectives, and the optimization strategy adopted. It can be observed that most existing studies have primarily focused on single-objective optimization, with the common objective being the minimization of confinement loss [21,22,30], while largely overlooking birefringence performance. Although some works [21,31] have preliminarily introduced dual-objective frameworks, they essentially rely on the weighted-sum approach to convert the problem into a single-objective formulation. Note that the asterisk * in the table indicates that the corresponding metric was not explicitly reported in the original reference.
Moreover, existing approaches often depend on large-scale simulation datasets sometimes exceeding 400,000 evaluations for neural network training or structure classification. In contrast, the present work achieves an effective performance trade off between confinement loss and birefringence using only 300 finite-element simulations. The proposed method yields Pareto optimal solutions with a minimum loss of 1 dB/m and birefringence up to 1 × 10 4 , demonstrating the efficacy of the optimization.
This advancement is attributed to the adoption of a genuine multi-objective optimization strategy, which explores the design space more efficiently under limited computational resources. The algorithm achieves a balanced consideration of optical performance, computational cost, and engineering feasibility. In summary, compared with existing literature, the proposed multi-objective optimization framework enables simultaneous optimization of CL and BI at significantly lower computational cost, highlighting its practical potential for efficient HC-ARF design.

6. Conclusions

In this work, a polarization-maintaining HC-ARF was investigated using a Pareto-based multi-objective optimization framework to balance birefringence and confinement loss. Both equal-wall thickness and asymmetric-wall thickness configurations were considered. The equal-wall thickness design reveals intrinsic trade-offs due to structural symmetry, whereas the asymmetric-wall thickness design achieves birefringence above 1 × 10 4 with confinement loss reduced to 0.15 dB/m at 1.55 μ m. These results demonstrate the effectiveness of Pareto optimization in guiding fiber design and provide practical insights for next-generation polarization-maintaining hollow-core fibers.

Author Contributions

Methodology, Y.Q.; Software, X.L.; Validation, Y.R.; Formal analysis, Z.L. All authors have read and agreed to the published version of the manuscript.

Funding

This work was supported by Shanxi Key Laboratory of High-end Equipment Reliability Technology (No. 446110103); Shanxi Key R&D Project (201903D221025).

Data Availability Statement

The raw data supporting the conclusions of this article will be made available by the authors on request.

Conflicts of Interest

The authors declare no conflicts of interest.

References

  1. Seidel, M.; Xiao, X.; Hartung, A. Solid-core fiber spectral broadening at its limits. IEEE J. Sel. Top. Quantum Electron. 2018, 24, 5100908. [Google Scholar] [CrossRef]
  2. Le Tran, B.T.; Thi, T.N.; Van, L.C. Comparison of chromatic dispersion of circular and hexagonal photonic crystal fibers with chloroform-core. Majlesi J. Electr. Eng. 2022, 16, 55–61. [Google Scholar]
  3. Benabid, F.; Roberts, P. Linear and nonlinear optical properties of hollow core photonic crystal fiber. J. Mod. Opt. 2011, 58, 87–124. [Google Scholar] [CrossRef]
  4. Zhang, H.; Kavanagh, N.; Li, Z.; Zhao, J.; Ye, N.; Chen, Y.; Wheeler, N.; Wooler, J.; Hayes, J.; Sandoghchi, S.; et al. 100 Gbit/s WDM transmission at 2 μm: Transmission studies in both low-loss hollow core photonic bandgap fiber and solid core fiber. Opt. Express 2015, 23, 4946–4951. [Google Scholar]
  5. Michieletto, M.; Lyngsø, J.K.; Jakobsen, C.; Lægsgaard, J.; Bang, O.; Alkeskjold, T.T. Hollow-core fibers for high power pulse delivery. Opt. Express 2016, 24, 7103–7119. [Google Scholar] [CrossRef] [PubMed]
  6. Sakr, H.; Hong, Y.; Bradley, T.; Jasion, G.; Hayes, J.; Kim, H.; Davidson, I.; Fokoua, E.N.; Chen, Y.; Bottrill, K.; et al. Interband short reach data transmission in ultrawide bandwidth hollow core fiber. J. Light. Technol. 2020, 38, 159–165. [Google Scholar] [CrossRef]
  7. Slavík, R.; Marra, G.; Fokoua, E.N.; Baddela, N.; Wheeler, N.V.; Petrovich, M.; Poletti, F.; Richardson, D.J. Ultralow thermal sensitivity of phase and propagation delay in hollow core optical fibres. Sci. Rep. 2015, 5, 15447. [Google Scholar] [CrossRef]
  8. Nampoothiri, A.V.; Jones, A.M.; Fourcade-Dutin, C.; Mao, C.; Dadashzadeh, N.; Baumgart, B.; Wang, Y.; Alharbi, M.; Bradley, T.; Campbell, N.; et al. Hollow-core optical fiber gas lasers (HOFGLAS): A review. Opt. Mater. Express 2012, 2, 948–961. [Google Scholar] [CrossRef]
  9. Ding, W.; Wang, Y.Y.; Gao, S.F.; Wang, M.L.; Wang, P. Recent progress in low-loss hollow-core anti-resonant fibers and their applications. IEEE J. Sel. Top. Quantum Electron. 2019, 26, 4400312. [Google Scholar]
  10. Ding, W.; Wang, Y.Y. Hybrid transmission bands and large birefringence in hollow-core anti-resonant fibers. Opt. Express 2015, 23, 21165–21174. [Google Scholar]
  11. Lekosiotis, A.; Belli, F.; Brahms, C.; Sabbah, M.; Sakr, H.; Davidson, I.A.; Poletti, F.; Travers, J.C. On-target delivery of intense ultrafast laser pulses through hollow-core anti-resonant fibers. Opt. Express 2023, 31, 30227–30238. [Google Scholar]
  12. Arman, H.; Olyaee, S.; Seifouri, M. Numerical optimization of anti resonant hollow core fiber for high sensitivity methane detection. Sci. Rep. 2024, 14, 31534. [Google Scholar] [CrossRef] [PubMed]
  13. Wheeler, N.; Bradley, T.; Hayes, J.; Jasion, G.; Chen, Y.; Sandoghchi, S.R.; Horak, P.; Poletti, F.; Petrovich, M.; Richardson, D. Dual hollow-core anti-resonant fibres. In Proceedings of the Micro-Structured and Specialty Optical Fibres IV, Brussels, Belgium, 4–6 April 2016; SPIE: Washington, DC, USA, 2016; Volume 9886, pp. 189–195. [Google Scholar]
  14. Arwin, H. Internal reflection spectroscopy. Biosensing Res. Dev. 2002, 10, 91. [Google Scholar]
  15. Liu, Z.; Karanov, B.; Galdino, L.; Hayes, J.R.; Lavery, D.; Clark, K.; Shi, K.; Elson, D.J.; Thomsen, B.C.; Petrovich, M.N.; et al. Nonlinearity-free coherent transmission in hollow-core antiresonant fiber. J. Light. Technol. 2018, 37, 909–916. [Google Scholar] [CrossRef]
  16. Yao, J.; Zhang, X.; Li, B.; Wang, B.; Jin, D.; Duan, Y.; Zhao, J.; Wang, P. High-efficiency distortion-free delivery of 3 kW continuous-wave laser using low-loss multi-mode nested hollow-core anti-resonant fiber. J. Light. Technol. 2024, 42, 5710–5716. [Google Scholar] [CrossRef]
  17. Zhu, Z.; Liu, L.; Liu, Z.; Zhang, Y.; Zhang, Y. High-precision micro-displacement optical-fiber sensor based on surface plasmon resonance. Opt. Lett. 2017, 42, 1982–1985. [Google Scholar] [CrossRef]
  18. Chugh, S.; Gulistan, A.; Ghosh, S.; Rahman, B. Machine learning approach for computing optical properties of a photonic crystal fiber. Opt. Express 2019, 27, 36414–36425. [Google Scholar] [CrossRef]
  19. Hu, X.; Schülzgen, A. Design of negative curvature hollow core fiber based on reinforcement learning. J. Light. Technol. 2020, 38, 1959–1965. [Google Scholar] [CrossRef]
  20. Meng, F.; Zhao, X.; Ding, J.; Niu, Y.; Zhang, X.; Smietana, M.; Buczyński, R.; Lin, B.; Tao, G.; Yang, L.; et al. Use of machine learning to efficiently predict the confinement loss in anti-resonant hollow-core fiber. Opt. Lett. 2021, 46, 1454–1457. [Google Scholar] [CrossRef] [PubMed]
  21. Meng, F.; Zhao, X.; Ding, J.; Niu, Y.; Zhang, X.; Yang, L.; Wang, X.; Lou, S.; Sheng, X.; Tao, G.; et al. Discovering extremely low confinement-loss anti-resonant fibers via swarm intelligence. Opt. Express 2021, 29, 35544–35555. [Google Scholar] [CrossRef]
  22. Meng, F.; Ding, J.; Zhao, Y.; Liu, H.; Su, W.; Yang, L.; Tao, G.; Pryamikov, A.; Wang, X.; Mu, H.; et al. Artificial intelligence designer for optical Fibers: Inverse design of a Hollow-Core Anti-Resonant fiber based on a tandem neural network. Results Phys. 2023, 46, 106310. [Google Scholar] [CrossRef]
  23. Liu, Z.; Chen, R.; Wen, J.; Zhou, Z.; Dong, Y.; Yang, T. Optimization of low-loss, high birefringence parameters of a hollow-core anti-resonant fiber with back-propagation neural network assisted hyperplane segmentation algorithm. Opt. Express 2024, 32, 29638–29655. [Google Scholar] [CrossRef] [PubMed]
  24. Litchinitser, N.; Abeeluck, A.; Headley, C.; Eggleton, B. Antiresonant reflecting photonic crystal optical waveguides. Opt. Lett. 2002, 27, 1592–1594. [Google Scholar] [CrossRef] [PubMed]
  25. Ding, W.; Wang, Y. Analytic model for light guidance in single-wall hollow-core anti-resonant fibers. Opt. Express 2014, 22, 27242–27256. [Google Scholar] [CrossRef]
  26. Jasion, G.T.; Bradley, T.D.; Harrington, K.; Sakr, H.; Chen, Y.; Fokoua, E.N.; Davidson, I.A.; Taranta, A.; Hayes, J.R.; Richardson, D.J.; et al. Hollow core NANF with 0.28 dB/km attenuation in the C and L bands. In Proceedings of the Optical Fiber Communication Conference, San Diego, CA, USA, 8–12 March 2020; Optica Publishing Group: Washington, DC, USA, 2020; p. Th4B-4. [Google Scholar]
  27. Jasion, G.T.; Sakr, H.; Hayes, J.R.; Sandoghchi, S.R.; Hooper, L.; Fokoua, E.N.; Saljoghei, A.; Mulvad, H.C.; Alonso, M.; Taranta, A.; et al. 0.174 dB/km hollow core double nested antiresonant nodeless fiber (DNANF). In Proceedings of the 2022 Optical Fiber Communications Conference and Exhibition (OFC), San Diego, CA, USA, 6–10 March 2022; IEEE: New York, NY, USA, 2022; pp. 1–3. [Google Scholar]
  28. Liu, Z.; Wen, J.; Zhou, Z.; Dong, Y.; Yang, T. A highly birefringent photonic crystal fiber with three rows of circular air holes. Photonics 2023, 10, 527. [Google Scholar] [CrossRef]
  29. Hu, K.; Lou, S.; Jia, H.; Wang, X. Hybrid structure polarization-maintaining hollow-core photonic bandgap fiber with anti-resonant tubes and silicon layers. Opt. Express 2022, 30, 42035–42045. [Google Scholar] [CrossRef]
  30. Zhenyu, G.; Tigang, N.; Li, P.; Yangmei, L.; Jing, L.; Jingjing, Z.; Jingyi, S.; Chengbao, Z.; Hua, W.; Wei, J.; et al. Confinement loss prediction in diverse anti-resonant fibers through neural networks. Opt. Express 2024, 32, 8903–8918. [Google Scholar] [CrossRef] [PubMed]
  31. Zhenyu, G.; Tigang, N.; Li, P.; Jing, L.; Jingjing, Z.; Wensheng, W.; Wei, J.; Changzheng, M.; Yong, W. Antiresonant fiber structures based on swarm intelligence design. Opt. Express 2023, 31, 26777–26790. [Google Scholar] [CrossRef]
  32. Jewani, Y.; Petry, M.; Sanchez-Arias, R.; Amezcua-Correa, R.; Habib, M.S. Accurate Loss Prediction of Realistic Hollow-Core Anti-Resonant Fibers Using Machine Learning. IEEE J. Sel. Top. Quantum Electron. 2024, 30, 4300808. [Google Scholar] [CrossRef]
Figure 1. Two-dimensional schematic diagram of the optimized optical fiber structure parameters. The blue regions denote silica, while the white regions denote air.
Figure 1. Two-dimensional schematic diagram of the optimized optical fiber structure parameters. The blue regions denote silica, while the white regions denote air.
Photonics 12 00993 g001
Figure 2. Schematic diagram of Pareto frontier and solution set distribution in multi-objective optimization.
Figure 2. Schematic diagram of Pareto frontier and solution set distribution in multi-objective optimization.
Photonics 12 00993 g002
Figure 3. Performance results and Pareto frontiers based on multi-objective optimization.
Figure 3. Performance results and Pareto frontiers based on multi-objective optimization.
Photonics 12 00993 g003
Figure 4. The relationship between the effective refractive index of X polarization and Y polarization state with respect to wavelength.
Figure 4. The relationship between the effective refractive index of X polarization and Y polarization state with respect to wavelength.
Photonics 12 00993 g004
Figure 5. The variation trend of loss in X polarization and Y polarization state with wavelength.
Figure 5. The variation trend of loss in X polarization and Y polarization state with wavelength.
Photonics 12 00993 g005
Figure 6. The wavelength scanning results of group birefringence and phase birefringence under the optimal parameter 1.
Figure 6. The wavelength scanning results of group birefringence and phase birefringence under the optimal parameter 1.
Photonics 12 00993 g006
Figure 7. The wavelength scanning results of HOMER for optimal parameter 1.
Figure 7. The wavelength scanning results of HOMER for optimal parameter 1.
Photonics 12 00993 g007
Figure 8. The effective refractive index of X polarization and Y polarization direction varies with wavelength.
Figure 8. The effective refractive index of X polarization and Y polarization direction varies with wavelength.
Photonics 12 00993 g008
Figure 9. The loss of X polarization and Y polarization direction varies with the wavelength.
Figure 9. The loss of X polarization and Y polarization direction varies with the wavelength.
Photonics 12 00993 g009
Figure 10. The wavelength scanning results of group birefringence and phase birefringence under the optimal parameter 2.
Figure 10. The wavelength scanning results of group birefringence and phase birefringence under the optimal parameter 2.
Photonics 12 00993 g010
Figure 11. The wavelength scanning results of HOMER for optimal parameter 2.
Figure 11. The wavelength scanning results of HOMER for optimal parameter 2.
Photonics 12 00993 g011
Figure 12. Performance optimization results of the differential wall thickness structure.
Figure 12. Performance optimization results of the differential wall thickness structure.
Photonics 12 00993 g012
Figure 13. The variation trend of loss in X polarization and Y polarization state with wavelength for the optimized asymmetric wall thickness structure optimal parameter 1.
Figure 13. The variation trend of loss in X polarization and Y polarization state with wavelength for the optimized asymmetric wall thickness structure optimal parameter 1.
Photonics 12 00993 g013
Figure 14. The wavelength scanning results of group birefringence and phase birefringence for the optimized asymmetric wall thickness structure under optimal parameter 1.
Figure 14. The wavelength scanning results of group birefringence and phase birefringence for the optimized asymmetric wall thickness structure under optimal parameter 1.
Photonics 12 00993 g014
Figure 15. Wavelength scanning results of HOMER for the optimized asymmetric wall thickness structure with optimal parameter 1.
Figure 15. Wavelength scanning results of HOMER for the optimized asymmetric wall thickness structure with optimal parameter 1.
Photonics 12 00993 g015
Figure 16. The variation trend of loss in X polarization and Y polarization state with wavelength for the optimized asymmetric wall thickness structure optimal parameter 2.
Figure 16. The variation trend of loss in X polarization and Y polarization state with wavelength for the optimized asymmetric wall thickness structure optimal parameter 2.
Photonics 12 00993 g016
Figure 17. The wavelength scanning results of birefringence BI for the optimized asymmetric wall thickness structure optimal parameter 2.
Figure 17. The wavelength scanning results of birefringence BI for the optimized asymmetric wall thickness structure optimal parameter 2.
Photonics 12 00993 g017
Figure 18. Wavelength scanning results of HOMER for the optimized asymmetric wall thickness structure with optimal parameter 2.
Figure 18. Wavelength scanning results of HOMER for the optimized asymmetric wall thickness structure with optimal parameter 2.
Photonics 12 00993 g018
Figure 19. Comparison of confinement loss and birefringence among photonic crystal fiber, the proposed anti-resonant hollow-core fiber with parameter 2, and photonic bandgap fiber. The proposed structure exhibits broader bandwidth and more stable polarization performance.
Figure 19. Comparison of confinement loss and birefringence among photonic crystal fiber, the proposed anti-resonant hollow-core fiber with parameter 2, and photonic bandgap fiber. The proposed structure exhibits broader bandwidth and more stable polarization performance.
Photonics 12 00993 g019
Figure 20. Robustness analysis of the symmetric parameter 1 with equal wall thickness.
Figure 20. Robustness analysis of the symmetric parameter 1 with equal wall thickness.
Photonics 12 00993 g020
Figure 21. Robustness analysis of the symmetric parameter 1 with equal wall thickness.
Figure 21. Robustness analysis of the symmetric parameter 1 with equal wall thickness.
Photonics 12 00993 g021
Figure 22. Robustness analysis of the symmetric parameter 2 with asymmetric wall thickness.
Figure 22. Robustness analysis of the symmetric parameter 2 with asymmetric wall thickness.
Photonics 12 00993 g022
Figure 23. Robustness analysis of the symmetric parameter 2 with asymmetric wall thickness.
Figure 23. Robustness analysis of the symmetric parameter 2 with asymmetric wall thickness.
Photonics 12 00993 g023
Table 1. Comparison of optimization methods for HC-ARF.
Table 1. Comparison of optimization methods for HC-ARF.
Ref.CLBINum.
of Comps.
Num.
of Obj.
Optimization
Method
[22]> 10 6 *415,9001Neural Network
[21] 2 × 10 7 *415,9002Optimization Algorithm
[20]**323,0001Classification-based
[30] 3 × 10 5 *78,3121Neural Network
[31] 2 × 10 5 **2Optimization Algorithm
[23]0.18 2 × 10 4 4002Surrogate Model and Optimization Algorithm
[32] 1 × 10 3 *80,0001Classification-based
Prop. 1 × 10 1 1 × 10 4 3002Multi-objective Optimization Algorithm
Disclaimer/Publisher’s Note: The statements, opinions and data contained in all publications are solely those of the individual author(s) and contributor(s) and not of MDPI and/or the editor(s). MDPI and/or the editor(s) disclaim responsibility for any injury to people or property resulting from any ideas, methods, instructions or products referred to in the content.

Share and Cite

MDPI and ACS Style

Qin, Y.; Lu, X.; Ren, Y.; Li, Z. Design and Optimization of Polarization-Maintaining Hollow-Core Anti-Resonant Fibers Based on Pareto Multi-Objective Algorithms. Photonics 2025, 12, 993. https://doi.org/10.3390/photonics12100993

AMA Style

Qin Y, Lu X, Ren Y, Li Z. Design and Optimization of Polarization-Maintaining Hollow-Core Anti-Resonant Fibers Based on Pareto Multi-Objective Algorithms. Photonics. 2025; 12(10):993. https://doi.org/10.3390/photonics12100993

Chicago/Turabian Style

Qin, Yingwei, Xutao Lu, Yunxiao Ren, and Zhiling Li. 2025. "Design and Optimization of Polarization-Maintaining Hollow-Core Anti-Resonant Fibers Based on Pareto Multi-Objective Algorithms" Photonics 12, no. 10: 993. https://doi.org/10.3390/photonics12100993

APA Style

Qin, Y., Lu, X., Ren, Y., & Li, Z. (2025). Design and Optimization of Polarization-Maintaining Hollow-Core Anti-Resonant Fibers Based on Pareto Multi-Objective Algorithms. Photonics, 12(10), 993. https://doi.org/10.3390/photonics12100993

Note that from the first issue of 2016, this journal uses article numbers instead of page numbers. See further details here.

Article Metrics

Back to TopTop