Design of High-Efficiency Silicon Nitride Grating Coupler with Self-Compensation for Temperature Drift
Abstract
1. Introduction
2. Structural Design of Grating Coupler
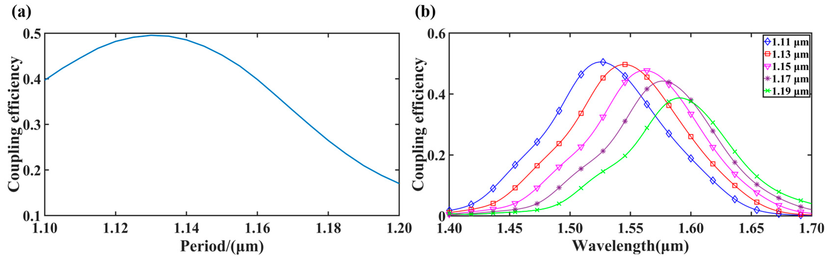
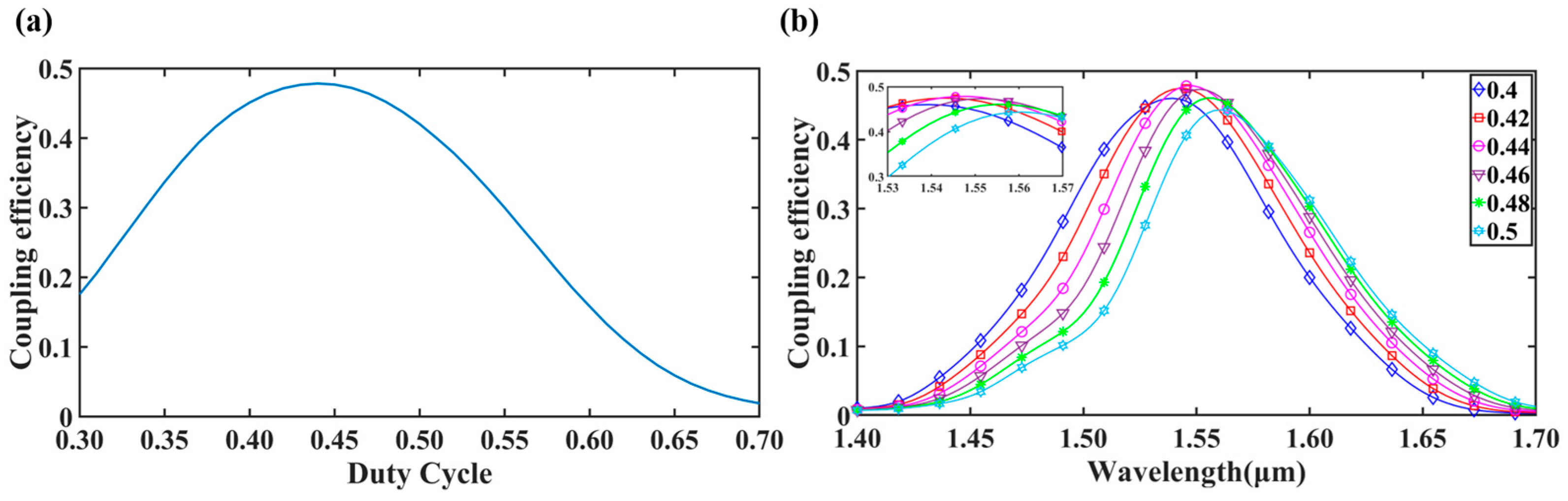
2.1. Optimized Design of Grating Parameters
2.2. Integrated Serpentine Heater
3. Discussion
4. Conclusions
Author Contributions
Funding
Institutional Review Board Statement
Informed Consent Statement
Data Availability Statement
Conflicts of Interest
References
- Liu, J.; Huang, G.; Wang, R.N.; He, J.J.; Raja, A.S.; Liu, T.Y.; Engelsen, N.J.; Kippenberg, T.J. High-yield, wafer-scale fabrication of ultralow-loss, dispersion-engineered silicon nitride photonic circuits. Nat. Community 2021, 12, 2236. [Google Scholar] [CrossRef]
- Mao, S.C.; Tao, S.H.; Xu, Y.L.; Sun, X.W.; Yu, M.B.; Lo, G.Q.; Kwong, D.L. Low propagation loss SiN optical waveguide prepared by optimal low-hydrogen module. Opt. Express 2008, 16, 20809–20816. [Google Scholar] [CrossRef]
- Marin-Palomo, P.; Kemal, J.N.; Karpov, M.; Kordts, A.; Pfeifle, J.; Pfeiffer, M.H.P.; Philipp, T.; Stefan, W.; Victor, B.; Miles, H.A.; et al. Microresonator-based solitons for massively parallel coherent optical communications. Nature 2017, 546, 274–279. [Google Scholar] [CrossRef]
- Marpaung, D.; Roeloffzen, C.; Heideman, R.; Leinse, A.; Sales, S.; Capmany, J. Integrated microwave photonics. Laser Photonics Rev. 2013, 7, 506–538. [Google Scholar] [CrossRef]
- Yang, Z.; Jahanbozorgi, M.; Jeong, D.; Sun, S.; Pfister, O.; Lee, H.; Yi, X. A squeezed quantum microcomb on a chip. Nat. Commun. 2021, 12, 4781. [Google Scholar] [CrossRef] [PubMed]
- Hodaei, H.; Hassan, A.U.; Wittek, S.; Garcia-Gracia, H.; El-Ganainy, R.; Christodoulides, D.N.; Khajavikhan, M. Enhanced sensitivity at higher-order exceptional points. Nature 2017, 548, 187–191. [Google Scholar] [CrossRef]
- Riemensberger, J.; Lukashchuk, A.; Karpov, M.; Weng, W.; Lucas, E.; Liu, J.; Kippenberg, T.J. Massively parallel coherent laser ranging using a soliton microcomb. Nature 2020, 581, 164–170. [Google Scholar] [CrossRef] [PubMed]
- Papes, M.; Cheben, P.; Benedikovic, D.; Schmid, J.H.; Pond, J.; Halir, R.; Ortega-Moñux, A.; Wangüemert-Pérez, G.; Ye, W.N.; Xu, D.X.; et al. Fiber-chip edge coupler with large mode size for silicon photonic wire waveguides. Opt. Express 2016, 24, 5026–5038. [Google Scholar] [CrossRef]
- Cheng, L.; Mao, S.; Li, Z.; Han, Y.; Fu, H. Grating Couplers on Silicon Photonics: Design Principles, Emerging Trends and Practical Issues. Micromachines 2020, 11, 666. [Google Scholar] [CrossRef]
- Menahem, J.; Malka, D. A Two-Channel Silicon Nitride Multimode Interference Coupler with Low Back Reflection. Appl. Sci. 2022, 12, 11812. [Google Scholar] [CrossRef]
- Frishman, A.; Malka, D. An Optical 1×4 Power Splitter Based on Silicon–Nitride MMI Using Strip Waveguide Structures. Nanomaterials 2023, 13, 2077. [Google Scholar] [CrossRef]
- Ohana, E.; Malka, D. O-Band Grating Couplers Using Silicon Nitride Structures. Appl. Sci. 2023, 13, 9951. [Google Scholar] [CrossRef]
- Katash, N.; Khateeb, S.; Malka, D. Combining Four Gaussian Lasers Using Silicon Nitride MMI Slot Waveguide Structure. Micromachines 2022, 13, 1680. [Google Scholar] [CrossRef] [PubMed]
- Goyvaerts, J.; Grabowski, A.; Gustavsson, J.; Kumari, S.; Stassen, A.; Baets, R.; Larsson, A.; Roelkens, G. Enabling VCSEL-on-silicon nitride photonic integrated circuits with micro-transfer-printing. Optica 2021, 8, 1573–1580. [Google Scholar] [CrossRef]
- Liu, Q.F.; Ni, Y.K.; Ananna, N.J.; Rahman, M.N.; Li, W.Q.; Feng, M.X.; Cheng, Y.; Chen, J. Grating couplers for efficient integration of surface-emitting blue lasers and silicon nitride waveguide. Opt. Laser Technol. 2024, 171, 110442. [Google Scholar] [CrossRef]
- Xu, H.N.; Qin, Y.; Hu, G.L.; Tsang, H.K. Compact integrated mode-size converter using a broadband ultralow-loss parabolic-mirror collimator. Opt. Lett. 2023, 48, 327–330. [Google Scholar] [CrossRef]
- Brand, O.; Wolftson, B.; Malka, D. A Compact Polarization MMI Combiner Using Silicon Slot-Waveguide Structures. Micromachines 2023, 14, 1203. [Google Scholar] [CrossRef]
- Kim, H.K.; Kim, M.; Kim, M.; Jo, Y.; Lischke, S.; Mai, C.; Zimmermann, L.; Choi, W.Y. Si photonic-electronic monolithically integrated optical receiver with a built-in temperature-controlled wavelength filter. Opt. Express 2021, 29, 9565–9573. [Google Scholar] [CrossRef]
- Yang, Y.H.; Jia, H.; Li, Z.C.; Cao, Z.; Zhang, H.Z.; Xu, P.C.; Li, X.X. Thermocouple-integrated resonant microcantilever for on-chip thermogravimetric (TG) and differential thermal analysis (DTA) dual characterization applications. Microsyst. Nanoeng. 2025, 11, 54. [Google Scholar] [CrossRef]
- Wasserman, W.W.; Harrison, R.A.; Harris, G.I.; Sawadsky, A.; Sfendla, Y.L.; Bowen, W.P.; Baker, C.G. Cryogenic and hermetically sealed packaging of photonic chips for optomechanics. Opt. Express 2022, 30, 30822–30831. [Google Scholar] [CrossRef]
- Huang, M.M.; Wu, X.Y.; Zhao, L.B.; Han, X.G.; Xia, Y.; Gao, Y.; Cui, Z.Y.; Zhang, C.; Yang, X.K.; Qiao, Z.X.; et al. Small-size temperature/high-pressure integrated sensor via flip-chip method. Microsyst. Nanoeng. 2024, 10, 104. [Google Scholar] [CrossRef]
- Gulsaran, A.; Bastug Azer, B.; Kocer, S.; Rahmanian, S.; Saritas, R.; Abdel-Rahman, E.M.; Yavuz, M. Built-In Packaging for Single Terminal Devices. Sensors 2022, 22, 5264. [Google Scholar] [CrossRef]
- Zhang, Y.M.; Liu, Y.; Zhang, Z.K. The development trend of high-speed optical device packaging technology. ZTE Technol. J. 2018, 24, 46–50. [Google Scholar] [CrossRef]
- Yao, D.Y.; Jiang, Z.; Zhang, Y.; Xie, H.; Wang, T.T.; Wang, J.G.; Gan, X.T.; Han, G.Q.; Liu, Y.; Hao, Y. Ultrahigh thermal-efficient all-optical silicon photonic crystal nanobeam cavity modulator with TPA-induced thermo-optic effect. Opt. Lett. 2023, 48, 2325–2328. [Google Scholar] [CrossRef] [PubMed]
- Guha, B.; Cardenas, J.; Lipson, M. Athermal silicon microring resonators with titanium oxide cladding. Opt. Express 2013, 21, 26557–26563. [Google Scholar] [CrossRef] [PubMed]
- Yu, H.Y.; Qiu, F. Compact thermo-optic modulator based on a titanium dioxide micro-ring resonator. Opt. Lett. 2022, 47, 2093–2096. [Google Scholar] [CrossRef]
- Masood, A.; Pantouvaki, M.; Goossens, D.; Lepage, G.; Verheyen, P.; Van Campenhout, J.; Absil, P.; Van Thourhout, D.; Bogaerts, W. Fabrication and characterization of CMOS-compatible integrated tungsten heaters for thermo-optic tuning in silicon photonics devices. Opt. Mater. Express 2014, 4, 1383–1388. [Google Scholar] [CrossRef]
- Fraser, W.; Benedikovic, D.; Korcek, R.; Milanizadeh, M.; Xu, D.X.; Schmid, J.H.; Cheben, P.; Ye, W.N. High-efficiency single-etch grating coupler on a hybrid α-Si/SiN photonic platform. In Proceedings of the IEEE International Conference on Group IV Photonics, Zilina, Slovakia, 15–18 April 2024; pp. 1–2. [Google Scholar]
- Fraser, W.; Benedikovic, D.; Korcek, R.; Milanizadeh, M.; Bucio, T.D.; Vitali, V.; Gardes, F.Y.; Schmid, J.H.; Cheben, P.; Ye, W.N. Design of Efficient Single-Etch Grating Couplers for Silicon Nitride Photonics at 1550 NM. In Proceedings of the 2024 Photonics North (PN), Vancouver, BC, Canada, 28–30 May 2024; pp. 1–2. [Google Scholar]
- Cheng, L.R.; Mao, S.M.; Mu, X.; Wu, S.L.; Fu, H.Y. Dual-Wavelength-Band Multiplexed Grating Coupler on Multilayer SiN-on-SOI Photonic Integrated Platform. In Proceedings of the 2020 Conference on Lasers and Electro-Optics (CLEO), San Jose, CA, USA, 10–15 May 2020; pp. 1–2. [Google Scholar]
- Hooten, S.; Vaerenbergh, T.V.; Sun, P.; Mathai, S.; Huang, Z.; Beausoleil, R.G. Adjoint Optimization of Efficient CMOS-Compatible Si-SiN Vertical Grating Couplers for DWDM Applications. J. Light. Technol. 2020, 38, 3422–3430. [Google Scholar] [CrossRef]
- Arefin, R.; Ramachandra, S.H.; Jung, H.; You, W.C.; Hasan, S.M.N.; Turski, H.; Dwivedi, S.; Arafin, S. III-N/Si3N4 Integrated Photonics Platform for Blue Wavelengths. IEEE J. Quantum Electron. 2020, 56, 1–9. [Google Scholar] [CrossRef]












| Parameters | Value | Tuning Coefficient |
|---|---|---|
| Period | 1.13 μm | 0.75 nm/nm |
| Duty cycle | 0.44 | 0.18 nm/nm |
| Incident angle | 6° | 0.17 nm/(°) |
| The thickness of buried oxide layer | 2.1 μm | - |
| The thickness of upper cladding | 2 μm | - |
| Ref. | Max CE (dB) | Bandwidth (nm) | Center Wavelength (nm) | Si3N4 Thickness (nm) | Cladding Type | Complexity | Bottom Reflector (Y/N) | Integrated Heater (Y/N) |
|---|---|---|---|---|---|---|---|---|
| [28] | −1.2 | 30@1 dB | 1310 | 400 | SiO2 | Y | N | N |
| [29] | −3.6 | 37@1 dB | 1550 | 400 | air | N | N | N |
| [30] | −2.95 | 69@3 dB | 1317 | 400 | SiO2 | Y | N | N |
| [31] | −0.52 | 24@1 dB | 1310 | 600 | SiO2 | Y | N | N |
| [32] | −1.7 | 42@3 dB | 450 | - | SiO2 | Y | Y | N |
| [15] | −1.4 | - | 445 | 150 | SiO2 | Y | Y | N |
| [12] | −5.52 | - | 1310 | 760 | SiO2 | N | N | N |
| This work | −1.37 | 95@3 dB | 1550 | 400 | SiO2 | N | Y | Y |
Disclaimer/Publisher’s Note: The statements, opinions and data contained in all publications are solely those of the individual author(s) and contributor(s) and not of MDPI and/or the editor(s). MDPI and/or the editor(s) disclaim responsibility for any injury to people or property resulting from any ideas, methods, instructions or products referred to in the content. |
© 2025 by the authors. Licensee MDPI, Basel, Switzerland. This article is an open access article distributed under the terms and conditions of the Creative Commons Attribution (CC BY) license (https://creativecommons.org/licenses/by/4.0/).
Share and Cite
Lin, Q.; Wang, Y.; Zhang, Y.; Liu, C.; Wei, W. Design of High-Efficiency Silicon Nitride Grating Coupler with Self-Compensation for Temperature Drift. Photonics 2025, 12, 959. https://doi.org/10.3390/photonics12100959
Lin Q, Wang Y, Zhang Y, Liu C, Wei W. Design of High-Efficiency Silicon Nitride Grating Coupler with Self-Compensation for Temperature Drift. Photonics. 2025; 12(10):959. https://doi.org/10.3390/photonics12100959
Chicago/Turabian StyleLin, Qianwen, Yunxin Wang, Yu Zhang, Chang Liu, and Wenqi Wei. 2025. "Design of High-Efficiency Silicon Nitride Grating Coupler with Self-Compensation for Temperature Drift" Photonics 12, no. 10: 959. https://doi.org/10.3390/photonics12100959
APA StyleLin, Q., Wang, Y., Zhang, Y., Liu, C., & Wei, W. (2025). Design of High-Efficiency Silicon Nitride Grating Coupler with Self-Compensation for Temperature Drift. Photonics, 12(10), 959. https://doi.org/10.3390/photonics12100959

