Next Article in Journal
Ultra-Compact Reflective Waveguide Mode Converter Based on Slanted-Surface and Subwavelength Metamaterials
Next Article in Special Issue
Astronomical Intensity Interferometry
Previous Article in Journal
High-Sensitivity SPR Sensor Based on the Theory of the Solution of Inventive Problems
 
 
Font Type:
Arial Georgia Verdana
Font Size:
Aa Aa Aa
Line Spacing:
Column Width:
Background:
Article

Design and Characterization of a Portable Multiprobe High-Resolution System (PMHRS) for Enhanced Inversion of Water Remote Sensing Reflectance with Surface Glint Removal

1
Changchun Institute of Optics, Fine Mechanics and Physics, Chinese Academy of Sciences, Changchun 130033, China
2
University of Chinese Academy of Sciences, Beijing 100049, China
3
College of Surveying, Mapping and Geographic Sciences, Liaoning Technical University, Fuxin 123032, China
*
Author to whom correspondence should be addressed.
Photonics 2024, 11(9), 837; https://doi.org/10.3390/photonics11090837
Submission received: 1 August 2024 / Revised: 2 September 2024 / Accepted: 2 September 2024 / Published: 4 September 2024

Abstract

Surface glint significantly reduces the measurement accuracy of remote sensing reflectance of water, Rrs, making it difficult to effectively use field measurements for studying water optical properties, accurately retrieving water quality parameters, and validating satellite remote sensing products. To accurately assess the effectiveness of various glint removal methods and enhance the accuracy of water reflectance measurements, a portable multiprobe high-resolution System (PMHRS) is designed. The system is composed of a spectrometer, fiber bundles, an irradiance probe, and three radiance probes. The reliability and measurement accuracy of the PMHRS are ensured through rigorous laboratory radiometric calibration and temperature correction. The comprehensive uncertainty of laboratory calibration ranges from 1.29% to 1.43% for irradiance calibration and from 1.47% to 1.59% for radiance calibration. Field measurement results show a strong correlation with both synchronous ASD data, and Sen2Cor-atmospherically corrected Sentinel-2B data (R2 = 0.949, RMSE = 0.013; R2 = 0.926, RMSE = 0.0105). The water-leaving radiance measurements obtained under different solar elevation angles using three methods (M99 method, polarization method, and SBA) demonstrate that the improved narrow field-of-view polarization probe effectively removes surface glint across various solar elevation angles (with overall better performance than the traditional M99 method). At a solar elevation angle of 69.7°, the MAPD and MAD between the measurements of this method and those of the SBA are 5.8% and 1.4 × 10−4, respectively. The results demonstrate that the PMHRS system outperforms traditional methods in sun glint removal, significantly enhancing the accuracy of water remote sensing reflectance measurements and improving the validation quality of satellite data. This work provides a crucial technical foundation for the development of high-resolution continuous observation platforms in complex aquatic environments. It holds significant implications for improving the accuracy of field-based water remote sensing reflectance measurements and for enhancing the quality of water ecological monitoring data and satellite validation data.

1. Introduction

Satellite monitoring of water color is essential for assessing the health of Earth’s aquatic ecosystems. Extensive application prospects and profound research significance are present in areas such as marine carbon cycle studies, ocean dynamics research, marine primary productivity estimation, and marine ecological environment monitoring [1,2,3,4]. As a key indicator for analyzing the characteristics and trends of water bodies, remote sensing reflectance at wavelength λ just above the water Rrs( λ )(sr−1) is defined as the ratio of water-leaving radiance (Lw( λ ), W/m2/nm/sr) to downwelling irradiance just below the water surface (Ed( λ ), W/m2/nm) [5]. To measure Lw(λ) accurately, it is necessary to correct the total above-water radiance, Lu(λ), by removing the contribution of skylight reflection, Lsky(λ), which includes both sky and sun glint directly reflected off the air-water interface [6]:
R rs = L w ( λ ) E d ( 0 + , λ ) = L u ( λ ) ρ L sky ( λ ) E d ( 0 + , λ )
where ρ is the reflectance factor of rough water surface. High-resolution Radiometric System measures the sky radiance, Lsky(λ), the total upwelling radiance underwater, Lu(λ), and the downwelling irradiance, Ed(0+, λ ) .
Accurate measurement of Rrs is the prerequisite and guarantee for the precise establishment of water color inversion models. However, due to atmospheric interference, spatial and temporal resolution constraints, and limitations in spectral band settings, satellite payloads struggle to measure the full-spectrum reflectance of highly dynamic and narrow water bodies promptly [7,8]. In contrast, in situ water reflectance measurements overcome these issues while offering greater flexibility and controllability, capturing detailed information that satellite remote sensing might miss, such as suspended matter concentration, water turbidity, and algal distribution [9,10]. Therefore, accurate in situ water reflectance measurement is not only a crucial step for precise modeling and validation of satellite remote sensing products but also holds significant importance for water quality monitoring and environmental assessment [11]. In situ water reflectance measurements are generally divided into above-water approach, skylight-blocked approach (SBA), and in-water approach. The in-water approach involves continuous or discrete measurements along the water profiles, requiring expensive and complex instrumentation. This method is often influenced by bottom characteristics and vertical gradients of optically significant constituents below the surface, making it unsuitable for turbid, shallow waters [12,13]. The accuracy of above-water spectral measurements is affected by strong light signals, such as water surface glint, resulting from direct solar radiation, cloud reflection, and atmospheric radiation reflected off the water surface. Reflected signals do not contain water information but impact the retrieval accuracy of water color information, including chlorophyll concentration, suspended matter concentration, and yellow substance [14]. In the glint region, the intensity of light reflected from the water surface can be several times higher than the radiance emanating from the water itself, potentially rendering some observational data invalid [15].
The observation geometry is defined by the angles ( θ , φ ), where θ is the sensor’s elevation angle, and φ is the azimuth angle of observation [16]. By decomposing the fluctuating water surface within the field of view (FOV) into i small facets, the signal received by the sensor above the water surface, as shown in Figure 1a, includes not only the water-leaving radiance (Lw) but also the reflected skylight from the water surface (LSR) [17]. Therefore, the expression for the total upwelling radiance (Lu) received by the sensor is as follows [18]:
L u ( λ , θ , φ ) = L W ( λ , θ , φ ) + i = 1 n w i F ( θ i , φ i , θ , φ ) L sky ( λ , θ i , φ i )
where “i” represents the ith small wave facet viewed by the sensor; wi is the relative weighting of the solid angle of the ith facet to the sensor’s FOV solid angle; F is the Fresnel reflectance of the ith facet; and Lsky is the downwelling radiance incident onto the ith facet, which is reflected into senor’s viewing angle.
Since LSR is combined in an unspecified way, as indicated in Equation (1), eliminating LSR poses a challenge when conducting measurements above the surface (similar to sea-surface remote sensing, as with satellite observations). To address this, Equation (1) can be simplified to the following form using a first-order approximation [19]:
L u ( λ , θ , φ ) = L w ( λ , θ , φ ) + ρ ( θ , φ ) L sky ( λ , θ , φ )
where Lsky ( θ , φ ) represents the sky radiance in the same plane as Lu, but with θ being the specular angle corresponding to θ . ρ θ , φ denotes the effective surface reflectance, which accounts for the reflected sky light from all directions for a given sensor orientation, and is considered wavelength-independent. If the water surface is perfectly flat (no waves), ρ θ , φ equals the Fresnel reflectance of the sea surface. Numerical simulations conducted previously [20,21] have evaluated values of ρ θ , φ for different viewing angles, solar zenith angles, and wind speeds. Based on these simulations, utilizing the observation geometry recommended by Mobley—with an azimuth angle of 135° between the spectrometer’s observation plane and the solar incident plane, and a zenith angle of 40° between the spectrometer’s observation direction and the sea surface normal—can minimize the impact of sun glint (the so-called M99 method). Additionally, the Fresnel reflectance is 0.028 when the wind speed is lower than 5 m/s.
However, measurement results of the M99 method are influenced by factors such as site-specific wind speed and cloud cover. Additionally, varying field observation conditions and data processing methods, whether based on empirical data or other assumptions, introduce significant uncertainties in spectral measurements of water [22].
According to the Fresnel laws [23], a further analysis of the degree of polarization function can be performed. Since the intensity of light is proportional to the square of the electric vector amplitude, the expression for the degree of polarization is as follows:
P = I I // I + I // = E 2 sin 2 ( α β ) sin 2 ( α + β ) E // 2 t g 2 ( α β ) t g 2 ( α + β ) E 2 sin 2 ( α β ) sin 2 ( α + β ) + E // 2 t g 2 ( α β ) t g 2 ( α + β )
where I represents the intensity of the reflected light with the electric vector perpendicular to the plane of incidence; I// denotes the intensity of the reflected light with the electric vector parallel to the plane of incidence; E represents the component of the incident light’s electric vector that is perpendicular to the plane of incidence; E// denotes the component of the electric vector that is parallel to the plane of incidence; α is the angle of incidence; β is the angle of refraction.
When the incident light is unpolarized natural light, E = E//. By eliminating the refraction angle using the refractive index N, the following equation can be obtained:
P = 2 sin α t g α N 2 sin 2 α N 2 sin 2 α + sin 2 α t g 2 α
Given that the refractive index of pure water is 1.33, and by differentiating the polarization function P( α ) with respect to the incident angle α , when P’( α ) = 0 , the angle α = 53.1°. At this angle, the function reaches its maximum value, indicating that the reflected light is completely linearly polarized. This specific incident angle α is known as the Brewster angle [24]. As the incident angle α increases from 0°, the degree of polarization of the reflected light also gradually increases. At Brewster’s angle, the polarization reaches its maximum and then gradually decreases. In other words, the closer the angle of incidence is to Brewster’s angle, the stronger the linear polarization of the reflected light [25].
Based on the discussion above, the reflected light exhibits polarization, effectively turning the water body into a polarizer. When the sensor’s observation angle is set to 53°, the light entering the instrument’s field of view is highly polarized. By placing an analyzer in front of the sensor and adjusting its azimuth angle so that the polarization angle is perpendicular to the polarization direction of the reflected light, the polarized component of the surface-reflected sunlight (sun glint) can be blocked. This approach enhances the accuracy of water-leaving radiance measurements by effectively removing the surface glint.
However, current instruments face limitations due to the trade-off between FOV angle and energy utilization rate, which hinders the effective application of the polarization method in high-resolution water reflectance measurements for sun glint removal [26].
In response to the shortcomings of current in situ water surface spectral measurement methods, we propose a portable multiprobe high-resolution system (PMHRS) for enhanced inversion of water Rrs and surface glint removal. The PMHRS employs a Kohler illumination system and fiber bundles to enhance energy utilization efficiency and features a polarization probe with a small FOV to improve the measurement accuracy of the polarization method. Additionally, the device uses a single spectral module, eliminating the need for inter-instrument calibration and thereby avoiding measurement errors caused by instrument discrepancies. The PMHRS is cost-effective, portable, and flexible in its applications. The paper is structured as follows: Section 2 presents the overall architecture of the PMHRS, detailing the optical system design, laboratory performance analysis, laboratory radiometric calibration, temperature correction, and outfield testing. Section 3 introduces the results of the two experiments. Section 4 analyzes and discusses the experimental results. Finally, the conclusion is provided in Section 5.

2. PMHRS Architecture Overview

The overall architecture of the PMHRS is illustrated in Figure 2, which is primarily composed of two modules: the spectral detection module and the front-end optics. The front-end optics are equipped with irradiance detection probes and radiance detection probes. The radiance detection probe is subdivided into three types: the Kohler illumination system (M99 probe), the combination of the Kohler illumination system with a linear polarizer (polarization probe), and the combination of the Kohler illumination system with a conical light shield (SBA probe). The upwelling radiative signal from the water surface is directed into a fiber bundle via a pre-stage radiance probe and then transmitted to the spectrometer slit through the fiber bundle. The light is dispersed according to wavelength across different detector pixels using a collimating lens, a plane reflection grating, and a focusing lens. Data storage and display are subsequently managed by the host computer. The downwelling radiative signal below the water surface is collected by an irradiance probe following the same sequence. To enhance the system’s signal-to-noise ratio and minimize measurement errors caused by target variations, the PMHRS system employs a fiber bundle and Kohler illumination to optimize the integration time. The following sections provide detailed descriptions of the energy comparison analysis before and after fiber shaping, cosine response analysis of the irradiance probe, design of the radiance probes, laboratory radiometric calibration of the entire system, and temperature correction.

2.1. Spectral Detection Module

The spectral detection module utilizes a high-sensitivity spectroradiometer manufactured by Ocean Optics, employing an internal Czerny-Turner optical design. It covers a spectral range from 400 to 1100 nm with a slit size of 100 μm × 1 mm, achieving a spectral resolution of 3–4 nm. The entrance of the slit spectrometer features a rectangular slit. Traditional single-core optical fibers would result in significant energy loss during transmission. The PMHRS employs shaped optical fiber bundles to enhance the filling factor and energy efficiency of the entrance slit, thereby increasing the signal level by several orders of magnitude. Figure 2 illustrates the dual-end arrangement of a multi-core circular-to-linear conversion optical fiber bundle. The optical fiber bundle is selected with a single-core diameter of 100 μm to match the width of the entrance slit, an outer diameter of 110 μm, and consists of 9 cores to match the length of the slit. The numerical aperture of the optical fiber bundle is 0.37, allowing spectral response across the range of 350 to 2400 nm.
The energy enhancement effect of fiber bundle shaping is verified using a tungsten halogen lamp with an integrating sphere as the target in the laboratory. The results are shown in Figure 3. For the same target light source, the shaped fiber bundle required only 20 ms of integration time to achieve the DN value of the unshaped fiber (with a single core diameter of 200 μm and an NA of 0.22) at an integration time of 1200 ms. This significantly improves the system’s energy utilization efficiency and ensures the intensity and stability of the radiation signal received by the system.

2.2. Front-End Optics

The front-end optics consist of radiance detection probes, M99 probes, polarization probes, and SBA probes, coupled with optical fibers and spectrometers. These components utilize a common dispersion module to achieve multiplexed signal acquisition for multiple targets. According to the cosine law of irradiance, when sunlight is incident on the detection plane, the irradiance is related to the incident angle and changes according to the cosine law [27]. Therefore, we select the cosine corrector with cosine response characteristics as the irradiance probe to measure the radiation from the entire hemisphere space, that is, the downward irradiance of the water surface [28]. The measurement accuracy of the downward irradiance on the water surface is characterized by the deviation between the angle response function of the cosine corrector and the ideal cosine function. A standard lamp and an electronically controlled turntable are used to collect the signal every 10°, and the cosine error (θ) is calculated according to Formula (3):
f ( θ ) = D N ( θ ) D N ( 0 ) cos θ 1 × 100 %
where the angle θ represents the angle between the incident light and the normal to the surface, DN(θ) denotes the sensor’s count value when the incident direction makes an angle θ with the normal, and DN(0) represents the sensor’s count value when the incident direction is normal to the surface.
The cosine characteristic curve and cosine error of the irradiance probe are depicted in Figure 4. Test results indicate that within ±40°, the relative error of the standard cosine values is within 3%. As the angle increases, the relative error gradually rises, reaching 5% around ±60°. The overall root mean square error is less than 0.02189, which is close to the standard cosine curve, demonstrating the excellent cosine characteristics of the irradiance probe in the water spectral reflectivity measurement system.
The irradiance detection probes in the front optics (see physical setup in Figure 2) are equipped with Kohler illumination systems. This ensures uniform imaging of targets with uneven brightness or prominent filament structures onto the slit [29], thereby significantly enhancing the system’s energy efficiency. To enhance the overall polarization of the water surface glint within the FOV during polarization measurements, a half-FOV angle of 3° is selected as the design criterion. This angle aligns with the standards for sensor FOV angles specified in marine optical guidelines (2°–18°).
As shown in Figure 5, the Kohler illumination front optical system consists of objective lens L1 and field lens L2 [30]. In the figure, θ represents the half-field angle, U is the angle between the chief ray of the edge field and the optical axis, α denotes the angle between the edge ray and the optical axis, ƒ and ƒ′ are the focal lengths of the objective and field lenses, respectively, D is the entrance pupil diameter, and d is the image height. The geometric relationships are defined as follows:
f × t a n θ = f × t a n U
tan α = d 2 f = D 2 f
To improve energy efficiency, U should be aligned with the numerical aperture angle of the optical fiber bundle.
U = arcsin ( N A ) = 21.7 °
To improve the image quality on the focal plane, a combination of two lenses is used to form the field lens. In ZEMAX, the angle between the chief ray of the marginal field and the optical axis is controlled to not exceed 21.7°. The final optimized optical parameters of the three lenses are shown in Table 1.
The distance between Lens 1 and Lens 2 is 47 mm, between Lens 2 and Lens 3 is 0.93 mm, and the distance from Lens 3 to the image plane is 5 mm. The three-dimensional structure of the optimized Kohler illumination system is shown in Figure 6.
Figure 7 and Figure 8 illustrate the ray trace and the image plane energy distribution of the Kohler illumination system, respectively. Within a ±3° FOV, the light spots on the image plane are confined to a circle of 1.84 mm in diameter, with the energy predominantly concentrated within a circular region of 0.8 mm in diameter. The incident end face of the fiber bundle can receive radiation from the entire FOV.
The M99 probe uses the Kohler illumination system to measure water radiance and corresponding sky radiance at specified observation zenith and azimuth angles (φ = 135°, θ = 40°), aiming to remove the water glint. The polarization probe involves placing a linear polarizer at the front end of the Kohler lens, equipped with an external 360° rotation scale, to measure radiance values under two polarization states (0° and 90°), effectively removing water glint. The SBA probe features a conical shading hood at the front end of the Kohler lens to prevent the surface glint from entering the instrument’s FOV. The conical shade, with dimensions of 160 mm height, 14 mm top diameter, and 36.38 mm bottom diameter, has a wall inclination angle of 4°, slightly greater than the Kohler illumination lens’s half-FOV. Both the inner and outer surfaces of the shading cone are coated with black paint to suppress the stray light. The upper end screws into the radiance probe via threads, and the entire assembly is supported by a slender black rod placed in the water, positioning the waterline approximately halfway up the shading cone. Compared to buoy-based deployment methods, the handheld black rod solution addresses real-time variations in the instrument’s floating posture during measurements, while minimizing the buoy’s impact on the underwater light field observed within the FOV.

2.3. Laboratory Radiometric Calibration and Temperature Correction

Radiometric calibration is essential for water surface remote sensing reflectance monitoring instruments, as it ensures the accuracy and consistency of measurements, mitigates environmental influences, enhances the stability and reliability of instruments, and supports high-quality data analysis and applications [31]. Laboratory absolute radiometric calibration is a process that establishes a quantitative relationship between the output signal of a detector and the actual radiance of the corresponding target of the detector [32]. This process includes both irradiance and radiance calibration. The schematic diagram of the laboratory radiometric calibration setup is shown in Figure 9a. The calibration light source uses a spectral irradiance standard lamp F1017, traceable to the national spectral irradiance standard, covering a measurement range of 250 to 2500 nm, with an uncertainty of 0.8–1.0% (k = 2). The standard diffuse reflectance panel is calibrated by the National Institute of Metrology (NIM) of China with a calibration uncertainty of 0.7% (k = 2), and a reflectance of 99%.
Uncertainty analysis of laboratory calibration is essential for assessing the absolute radiometric measurement capability of the water spectral measurement system. The uncertainty primarily arises from the calibration light source, diffuser, and the measurement uncertainty of the instrument itself. The source radiance uncertainty is obtained from the NIM. The instrument measurement uncertainty includes stray light effects, calibration distance errors, measurement stability, and linearity errors of the water spectral measurement system itself [33]. After effectively controlling environmental stray light in the laboratory and suppressing stray light from the water spectral measurement system itself, the residual stray light impact is approximately 0.32%. Based on multiple measurements using a laser rangefinder, the uncertainty introduced by the calibration distance is about 0.4%. Considering the results of linearity testing of the PMHRS, the measurement uncertainty is approximately 0.54%. The uncertainties are detailed in Table 2. Since the standard calibration diffuser was used during the laboratory radiance calibration, the combined uncertainty of the radiance calibration includes the uncertainty associated with the diffuser in addition to the uncertainty from the irradiance calibration. The combined uncertainty of the laboratory calibration of PMHRS is ultimately 1.29–1.43% for irradiance calibration and 1.47–1.59% for radiance calibration. Specifically, the laboratory absolute irradiance calibration uncertainty is less than 2% and the radiance calibration uncertainty is less than 3% [34].
Due to the aforementioned laboratory calibration of spectral radiance conducted at a room temperature of 25.4 °C, discrepancies between the ambient temperature in field experiments and the laboratory calibration temperature can significantly impact the accuracy of water spectral measurements. We investigated the influence of different environmental temperatures on spectral radiance measurements using a simulated experimental setup, as depicted in Figure 9b. The setup consists of a temperature-controlled chamber, a spectral radiance standard lamp (F1017, 1000W), a diffuse reflectance panel, an aperture, and baffles. The spectroradiometer is placed inside the temperature-controlled chamber, with temperatures set sequentially between 25.4 °C and 40 °C in five equal increments. After stabilizing the chamber temperature for 40 min each time, the working temperature is monitored using a platinum resistance thermometer. The entire experiment is conducted in a dark environment to minimize environmental stray radiation, incorporating apertures and baffles into the optical system. Each experimental group employs the same integration time, and dark signals are subtracted. Results indicate that when the ambient temperature varies from 25.4 °C to 40 °C, deviations in radiance measurements range from approximately ±5% within 400–1000 nm and up to 10% within 380–400 nm.
The calibration coefficients are temperature-corrected using the polynomial fitting method [35]. The spectral responsivity of a particular detector pixel (wavelength) varies at different temperatures, and the temperature-induced variation ratio IT/Ical is fitted to a polynomial function f, described by the following relationship:
f = a 0 + a 1 T + a 2 T 2 + + a n T n
In the equations, IT represents the spectral response of the spectrometer at different temperatures, and Ical denotes the spectral response at the calibration temperature. a0, a1, a2, …, ak are the temperature effect coefficients of the spectrometer. The matrix of temperature effect coefficients at different wavelengths is denoted as A (where m is the number of pixels, and n is the order of the polynomial function).
A = a 00 a 01 a 02 a 0 n a 10 a 11 a 12 a 1 n a m 0 a m 1 a m 2 a m m
The response of each pixel of the detector at temperature T is represented as follows:
I T 0 I T 1 I T m = I c a l 0 0 0 0 I c a l 1 0 0 0 I c a l m a 00 a 01 a 0 n a 10 a 11 a 1 n a m 0 a m 1 a m n 1 T T n
The response corrected for different temperatures is represented as follows:
I c o r = I T F 1
To validate the applicability of this correction method to the system, calibrated coefficients obtained at 37 °C are compared with those obtained at room temperature after performing a third-order polynomial fit using the aforementioned method. The results demonstrate a significant reduction in deviation compared to the calibration values, with deviations decreasing from 5% to 1% within 400–1000 nm, greatly enhancing the environmental adaptability of the PMHRS.

2.4. Outfield Testing

Field testing is crucial for assessing the performance and reliability of the PMHRS under practical application scenarios. This section outlines the methods of field experiments conducted to validate the system’s capabilities. The field experiments were carried out in coastal waters to evaluate the PMHRS’s performance in measuring water and sky radiance, as well as to test the effectiveness of the glint removal techniques. The testing setup involved the water bodies of Xianghai Reservoir and Songhua Lake, along with the PMHRS deployed using a handheld black rod.
The Xianghai Reservoir is located in Xianghai Mongolian Township, Tongyu County, Baicheng City, Jilin Province. It is 67 km away from Tongyu County. The reservoir bank stretches 50 km in length, with a water surface area of 71 square kilometers. It has a total storage capacity of 210 million cubic meters, an average water depth of 3.5 m, and a maximum depth of 10 m. The primary functions of the reservoir include flood detention and providing water resources for the Xianghai National Nature Reserve, as well as replenishing the Xinglong and Shengli Reservoirs downstream.
Songhua Lake is situated on the western side of the mountainous region in eastern Jilin Province, on the upper reaches of the Songhua River, and 14 km southeast of Jilin City. The lake serves multiple functions including providing drinking water, power generation, flood control, irrigation, shipping, aquaculture, and tourism. It is a crucial water supply source for Jilin City and Changchun City. Considering the dynamic changes in water quality in these two bodies of water, many scholars have recently conducted remote sensing research on the inversion and monitoring of chlorophyll and suspended particulate matter concentrations. However, there has been little exploration of high-resolution water body measurements.
On 2 May 2024, field experiments were conducted at coordinates (122.2865° E, 45.3478° N) as shown in Figure 10. On 25 June 2024, measurements of off-water radiance were conducted at 9 different stations around Songhua Lake, as depicted in Figure 11, using the M99 method, polarization method, and SBA method. As shown in Figure 12a,b, water spectral data were simultaneously collected using the PMHRS and the internationally recognized ASD FieldSpec 4 Hi-Res portable spectrometer. The collected measurements were cross-validated against L2A-level Sentinel-2B data corrected by Sen2cor atmospheric correction. The SBA method is shown in Figure 12c. These measurements aimed to study the effectiveness of removing water glint under various solar elevation angles.

3. Results

3.1. Validation and Cross-Comparison of Spectral Data from the PMHRS and Conventional Approach

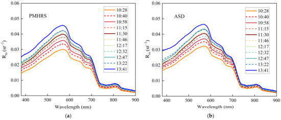
The measured results of RrsPMHRS and RrsASD are presented in Figure 13, and the spectral profiles of the two datasets exhibit similar characteristics. The reflectance peak near 570 nm is attributed to the minimal absorption coefficient of chlorophyll within the range of 550–710 nm and the scattering effect of algal cell walls. The absorption trough near 665 nm is due to the strong absorption of chlorophyll-a at that wavelength. The reflectance peak around 700 nm is attributed to the fluorescence effect of phytoplankton pigments [36]. Suspended sediments contribute to a dual-peak characteristic in remote sensing reflectance, with the first peak at 650 nm and the second at 810 nm. The higher amplitude of the first peak compared to the second suggests that the sediment content in the reservoir is relatively low.
The evaluation criteria outlined in Table 3 were employed in this study to analyze the consistency of the two datasets across the wavelength of 380–900 nm. As shown in Figure 14, the total Mean Absolute Percentage Difference (MAPD) and Mean Absolute Deviation (MAD) between RrsPMHRS and RrsASD are 10.5% and 0.158%, respectively. Across the entire wavelength range, the MAPD and MAD are both below 30% and 0.3%, respectively. Significant errors are observed below 450 nm and above 700 nm, which are attributed to weak reflection signals and stable noise. Furthermore, RrsASD consistently shows higher values compared to RrsPMHRS, particularly in the shortwave spectrum.

3.2. Applications and Potential of the PMHRS in Satellite Data Validation

Numerous studies have developed atmospheric correction and bio-optical algorithms for satellite and aerial remote sensing spectra using ASD in situ water spectral reflectance [37]. To evaluate the capability of PMHRS in the radiation correction of satellite sensors and the data authenticity, this section uses the PMHRS and ASD testing data sets to perform a correlation analysis with the water body remote sensing reflectance obtained by Sentinel-2B. Sentinel-2B is configured to operate in the 380–900 nm spectral range, as shown in Table 4.
Equivalent spectral simulations of RrsPMHRS and RrsASD were conducted using Sentinel-2B’s spectral response functions. These simulations were then compared with Sentinel-2B data corrected by Sen2Cor for modeling analysis. The results are depicted in Figure 15, where the correlation coefficient (R2) between the equivalently transformed RrsPMHRS and satellite data (R2 = 0.926) surpasses that of RrsASD and satellite data (R2 = 0.90). The spectral characteristics of this water body exhibit an increasing trend between 412–565 nm and a decreasing trend from 565–670 nm, peaking around 565 nm, indicating that it belongs to Class D water. The water spectral reflectance data measured on site are typically higher than satellite data, which is consistent with the characteristics of Class D water and with research conclusions in the literature [38].

3.3. Consistency Analysis of Multi-Probe Water-Leaving Radiation Results

The PMHRS has the advantage of using multiple probes to measure the water-leaving radiance. The results can be used to compare and analyze the effectiveness of the polarization method and traditional M99 method on removing glint from above the water surface, which is of great significance for the final accurate acquisition of high-resolution reflectance of water bodies. Therefore, this section processes and analyzes the multi-probe water reflectance data from nine stations in Songhua Lake, aiming to discuss the application of these two types of water spectral reflectance measurement methods under different solar elevation angles.
Details of the nine stations at Songhua Lake are provided in Table 5. During the experiment, the sky was clear and cloudless. The average wind speed was 1.9 m/s, resulting in relatively calm water surfaces. The average water depth was 39.8 m, guaranteeing minimal interference from bottom sediment and other materials in reflected light. Figure 16 illustrates the measurements of water-leaving radiance at these nine stations using the traditional M99 method, the polarization method, and the SBA method.
The results indicate that all three methods reduce water surface flare to some extent, but their effectiveness varies. The SBA method completely avoids interference from water surface glare using a shading cone. In contrast, the M99 and polarization methods exhibit Rrs overestimation, failing to achieve complete removal of water surface glare, particularly in the shortwave bands. We compare the above-water results of the M99 and polarization methods with those of the SBA method and analyze how the effectiveness of water surface glare removal varies with solar elevation angle. As shown in Table 6, the deviation between the M99 and polarization measurement results and the SBA measurement results decreases with increasing solar elevation angle. The consistency of the water-leaving radiance values obtained by the three methods is highest at a solar elevation of 69.7°, with MAPD values of 11.1% and 5.8%, respectively. The MAD values were 2.3 × 10−4 W∙m−2∙nm−1∙sr−1 and 1.4 × 104 W∙m−2∙nm−1∙sr−1, respectively.

4. Discussion

Calculating appropriate Rrs spectra is a challenging task. Glint removal methods are commonly applied across various oceanic and freshwater environments; however, there is no clear agreement on which method is the most effective. When using remote sensing reflectance measurements from different sensors on the same water target as a standard to evaluate the effectiveness of various sun glint removal methods, several significant issues arise. Firstly, discrepancies in the intrinsic response of different sensors and their varying sensitivity to temperature can introduce errors into the experimental results. Secondly, the FOV of different instruments is not strictly consistent, which means that the effectiveness of glint removal is not solely determined by the experimental method itself; instead, the instrument’s FOV also acts as a variable that can interfere with the results, leading to inconclusive experimental outcomes.
To address these issues and enhance glint removal effectiveness, thereby improving the accuracy of remote sensing reflectance measurements, this study proposes the PMHRS, which is based on three glint removal methods: the M99 method, the polarization method, and the sky-blocking approach (SBA). Compared to methods proposed in recent studies by other scholars, the PMHRS has several novel features and advantages. Firstly, in terms of measurement flexibility, the system can select an appropriate method according to the specific conditions of the complex field measurement environment. Moreover, the near-synchronous datasets obtained from the three sets of sensors can be cross-validated, thus avoiding result distortion caused by operational errors in the field. Secondly, to solve the issue of prolonged integration time affecting the constancy of the target source within a single measurement cycle during polarized measurements, the PMHRS utilizes the Kohler illumination system and shaping fiber bundles to significantly improve the instrument’s signal-to-noise ratio (SNR) and shorten the integration time. This also plays a crucial role in effectively reducing the instrument’s FOV, thereby enhancing glint removal effectiveness. Lastly, the PMHRS is not only compact and portable but also features a common dispersive, multi-sensor design, which allows for the study and discussion of the applicability of various glint removal methods in different types of water and under different solar zenith angles—an advantage that other sensors do not possess.
Two field experiments were conducted using the PMHRS: the Xianghai Reservoir experiment and the Songhua Lake experiment. The objectives of these two experiments were different. The Xianghai Reservoir experiment focused primarily on assessing the performance improvement of the PMHRS compared to traditional instruments and its level of satellite calibration. The experimental results demonstrate that the PMHRS data perform well in both qualitative and quantitative analyses. Compared to the minor discrepancies observed with ASD, the reasons for these differences are analyzed as follows: the smaller FOV of the system developed in this study, compared to the FOV set for ASD during measurements, and the fact that RrsPMHRS data were collected using the M99 method, which strictly controls the observation geometry (using a level and a two-dimensional angle disc) to minimize the impact of water surface glint. In contrast, ASD measurements lack constraints on the instrument’s observation elevation and azimuth angles, allowing some water surface glint to enter the FOV. This results in stronger contributions from direct sunlight and sky-reflected light in the shortwave spectrum. Differences in the SNR of the instruments introduce varying errors in the weak signal regions below 450 nm and above 700 nm.
The experiment conducted at Songhua Lake primarily focused on evaluating the measurement performance of the PMHRS’s multi-sensor system under different solar zenith angles. Taking advantage of the SBA method’s ability to avoid interference from surface water glint, a deviation analysis was performed by comparing the water-leaving radiance results obtained using the traditional method and the polarization method with those from the SBA method. The results strongly demonstrate the effectiveness of the PMHRS designed in this paper for removing water surface glare, highlighting its advantage of multi-source synergy. Improvements to the shaping fiber bundle and the Kohler illumination front optical system have enhanced the system’s energy utilization rate, reduced the instrument’s FOV, and increased the degree of polarization of water surface glare during polarization measurements. This results in better removal of water surface glare in above-water spectral measurements. Compared to the traditional M99 method, the polarization-based water-leaving radiance measurement method has the advantages of easy operation, and the measurement accuracy is less affected by changes in meteorological conditions. This method does not require changes in observation geometry and can eliminate or weaken the effect of glint on the water surface only through the spectral measurement of the water body. As this method allows for continuous water body measurements, it lays a crucial technical foundation for developing water platforms for continuous high-resolution data observation under complex sea conditions.

5. Conclusions

This paper presents a portable multiprobe high-resolution System (PMHRS) for measuring the remote sensing reflectance of water, offering advantages such as portability, low cost, and flexible measurement methods. Additionally, the measurement accuracy of this system represents an improvement over the traditional method. The comprehensive uncertainty of laboratory calibration ranges from 1.29% to 1.43% for irradiance calibration and from 1.47% to 1.59% for radiance calibration. The accuracy of the measurement results meets the required precision of within 5% for validating ocean color satellite products. Furthermore, the PMHRS demonstrated excellent performance in field measurements, showing strong correlations with synchronous data from ASD and Sentinel-2B (R2 = 0.949, RMSE = 0.013; R2 = 0.926, RMSE = 0.0105). Therefore, this system holds great potential for acquiring field data to develop improved remote sensing algorithms and validate satellite products for ocean color. Improvements to the front-end optical system and fiber bundle have significantly enhanced the system’s energy efficiency. The radiance probe is designed with a half-field angle of 3°, effectively reducing surface glare from the water. Integration times are controlled between 30 and 200 ms, greatly minimizing uncertainties due to changes in the observed target. Four probes, each equipped with identical spectral modules, are individually calibrated to overcome variations in instrument response. The PMHRS has made significant strides in the fields of water remote sensing and environmental monitoring. It is now widely utilized for water quality monitoring, phytoplankton detection, and analysis of aquatic optical properties. With its high spectral resolution and precise radiometric capabilities, the PMHRS provides detailed spectral data that aid scientists in understanding changes and pollution in aquatic environments. Additionally, the research outcomes will establish a critical technical foundation for developing algorithms aimed at further reducing water glint under low solar elevation angles and achieving multi-source joint correction of water glint under complex marine conditions. As technology advances and costs decrease, the PMHRS is expected to find broader applications, including global climate change monitoring, marine ecosystem protection, and smart water management, thereby offering more accurate data support for scientific research and environmental conservation.

Author Contributions

Conceptualization, S.L. and X.Y.; methodology, S.L., Y.J. and X.Y.; software, S.L. and K.W.; validation, S.L., Y.Z. and X.Y.; formal analysis, S.L. and Z.W.; investigation, X.L. and S.Y.; resources, X.Y.; data curation, S.L. and Z.W.; writing—original draft preparation, S.L.; writing—review and editing, S.L.; visualization, S.L.; supervision, X.Y.; project administration, X.Y.; funding acquisition, X.Y. All authors have read and agreed to the published version of the manuscript.

Funding

This research was funded by the National Key Research and Development Plan Project of China (2022YFB3903200; 2022YFB3903203).

Institutional Review Board Statement

Not applicable.

Informed Consent Statement

Not applicable.

Data Availability Statement

Data are contained within the article.

Conflicts of Interest

The authors declare no conflict of interest.

Abbreviations

The following abbreviations are used in this manuscript:
RrsRemote sensing reflectance
RMHRSPortable multiprobe high-resolution system
RMSERoot mean square error
SBASkylight-blocked approach
FOVField of view
NIMNational institute of metrology
MAPDMean absolute percentage difference
MADMean absolute difference
SNRSignal-to-noise ratio

References

  1. Lee, Z.P.; Pahlevan, N.; Ahn, Y.H.; Greb, S.; O’Donnell, D. Robust approach to directly measuring water-leaving radiance in the field. Appl. Opt. 2013, 52, 1693–1701. [Google Scholar] [CrossRef]
  2. Zhang, Y.; Wang, K.; Yue, W.; Liu, S.; Yu, J.; Ye, X. Optical Design and Stray Light Analysis of Underwater Spectral Radiometer. Appl. Sci. 2024, 14, 3172. [Google Scholar] [CrossRef]
  3. Garaba, S.P.; VoB, D.; Wollschlager, J.; Zielinski, O. Modern approaches to shipborne ocean color remote sensing. Appl. Opt. 2015, 54, 3602–3613. [Google Scholar] [CrossRef]
  4. Gomes, A.C.C.; Bernardo, N.; Alcantara, E. Accessing the southeastern Brazil 2014 drought severity on the vegetation health by satellite image. Nat. Hazards 2017, 89, 1401–1420. [Google Scholar]
  5. Lotliker, A.; Minu, P.; Salim, S.; Shafeeque, M.; George, G. Fundamentals of Ocean Colour Remote Sensing. Remote Sens. 2017, 9, 789–807. [Google Scholar]
  6. Liu, Y.; Islam, M.A.; Gao, J. Quantification of shallow water quality parameters by means of remote sensing. Prog. Phys. Geogr. Earth Environ. 2003, 27, 24–43. [Google Scholar]
  7. Mouw, C.B.; Greb, S.; Aurin, D.; Digiacomo, P.M.; Lee, Z.; Twardowski, M.; Binding, C.; Hu, C.; Ma, R.; Moore, T. Aquatic color radiometry remote sensing of coastal and inland waters: Challenges and recommendations for future satellite missions. Remote Sens. Environ. 2015, 160, 15–30. [Google Scholar]
  8. Blondeau-Patissier, D.; Gower, J.F.R.; Dekker, A.G.; Phinn, S.R.; Brando, V.E. A Review of Ocean Color Remote Sensing Methods and Statistical Techniques for the Detection, Mapping and Analysis of Phytoplankton Blooms in Coastal and Open Oceans. Prog. Oceanogr. 2014, 123, 123–144. [Google Scholar]
  9. Moses, W.J.; Ackleson, S.G.; Hair, J.W.; Hostetler, C.A.; Miller, W.D. Spatial scales of optical variability in the coastal ocean: Implications for remote sensing and in situ sampling. J. Geophys. Res. Ocean. 2016, 121, 4194–4208. [Google Scholar]
  10. Pope, R.M.; Fry, E.S. Absorption spectrum (380–700 nm) of pure water. II. Integrating cavity measurements. Appl. Opt. 1997, 36, 8710–8723. [Google Scholar] [PubMed]
  11. Zibordi, G.; Ruddick, K.; Ansko, I.; Moore, G.; Reinart, A. In situ determination of the remote sensing reflectance: An inter-comparison. Ocean Sci. 2012, 8, 567–586. [Google Scholar] [CrossRef]
  12. Albert, A.; Gege, P. Inversion of irradiance and remote sensing reflectance in shallow water between 400 and 800 nm for calculations of water and bottom properties. Appl. Opt. 2006, 45, 2331. [Google Scholar] [CrossRef]
  13. Tanaka, A.; Sasaki, H.; Ishizaka, J. Alternative measuring method for water-leaving radiance using a radiance sensor with a domed cover. Opt. Exp. 2006, 14, 3099–3105. [Google Scholar] [CrossRef]
  14. Deschamps, P.Y.; Ramon, D.; Steinmetz, F. Atmospheric correction in presence of sun glint: Application to MERIS. Opt. Exp. 2011, 19, 9783. [Google Scholar]
  15. Kay, S.; Hedley, J.; Lavender, S. Sun glint estimation in marine satellite images: A comparison of results from calculation and radiative transfer modeling. Appl. Opt. 2013, 52, 5631–5639. [Google Scholar] [CrossRef]
  16. Smith, R.C.; Baker, K.S. Optical properties of the clearest natural waters (200–800 nm). Appl. Opt. 1981, 20, 177–184. [Google Scholar] [CrossRef]
  17. Toole, D.A.; Siegel, D.A.; Menzies, D.W.; Neumann, M.J.; Smith, R.C. Remote sensing reflectance determinations in the coastal ocean environment: Impact of instrumental characteristics and environmental variability. Appl. Opt. 2000, 39, 456–469. [Google Scholar] [CrossRef] [PubMed]
  18. Lee, Z.; Ahn, Y.H.; Mobley, C.; Arnone, R. Removal of surface-reflected light for the measurement of remote-sensing reflectance from an above-surface platform. Opt. Exp. 2010, 18, 26313–26324. [Google Scholar] [CrossRef]
  19. Morel, A. In-water and remote measurements of ocean color. Bound. Layer Meteorol. 1980, 18, 177–201. [Google Scholar] [CrossRef]
  20. Mobley, C. Estimation of the remote-sensing reflectance from above-surface measurements. Appl. Opt. 1999, 38, 7442–7455. [Google Scholar] [CrossRef] [PubMed]
  21. Kutser, T.; Vahtmae, E.; Paavel, B.; Kauer, T. Removing glint effects from field radiometry data measured in optically complex coastal and inland waters. Remote Sens. Environ. 2013, 133, 85–89. [Google Scholar] [CrossRef]
  22. Lee, Z.; Carder, K.L.; Arnone, R.A. Deriving inherent optical properties from water color: A multiband quasi-analytical algorithm for optically deep waters. Appl. Opt. 2002, 41, 5755–5772. [Google Scholar] [CrossRef] [PubMed]
  23. Wolff, L.B.; Boult, T.E. Constraining object features using a polarization reflectance model. IEEE Trans. Pattern Anal. Mach. Intell. 1991, 13, 635–657. [Google Scholar] [CrossRef]
  24. Shen, Q.; Li, J.S.; Zhang, B.; Wu, Y.H.; Wu, T.X. Analyzing spectral characteristics of water involving in-situ multiangle polarized reflectance and extraction of water-leaving radiance. Spectrosc. Spectr. Anal. 2016, 36, 3269–3273. [Google Scholar]
  25. Mobley, C. Polarized reflectance and transmittance properties of windblown sea surfaces. Appl. Opt. 2015, 54, 4828–4849. [Google Scholar] [CrossRef]
  26. Dev, P.J.; Shanmugam, P. A new theory and its application to remove the effect of surface-reflected light in above-surface radiance data from clear and turbid waters. J. Quant. Spectrosc. Radiat. Transf. 2014, 142, 75–92. [Google Scholar] [CrossRef]
  27. Mobley, C.D. Light and Water: Radiative Transfer in Natural Waters. Appl. Opt. 1994, 33, 4443–4453. [Google Scholar]
  28. Ruddick, K.G.; Voss, K.; Banks, A.C.; Boss, E.; Vendt, R. A Review of Protocols for Fiducial Reference Measurements of Downwelling Irradiance for the Validation of Satellite Remote Sensing Data over Water. Remote Sens. 2019, 11, 1742. [Google Scholar] [CrossRef]
  29. Cheng, S.; Zheng, X.; Li, X.; Wei, W.; Liu, E. Development and Calibration of a System for Measuring Apparent Optical Properties of Water. Acta Opt. Sin. 2024, 44, 0601004. [Google Scholar]
  30. Sohn, M.; Barnes, B.; Howard, L.; Silver, R.; Attota, R. Koehler Illumination for High-Resolution Optical Metrology. In Proceedings of the SPIE, Santa Clara, CA, USA, 19–24 February 2006. [Google Scholar]
  31. Zhang, H.; Ye, X.; Wu, D.; Wang, Y.; Yang, D.; Lin, Y.; Dong, H.; Zhou, J.; Fang, W. Instrument Overview and Radiometric Calibration Methodology of the Non-Scanning Radiometer for the Integrated Earth–Moon Radiation Observation System (IEMROS). Remote Sens. 2024, 16, 2036. [Google Scholar] [CrossRef]
  32. Zhang, H.; Ye, X.; Zhu, P.; Fang, W.; Wang, Y. Observation System Design and Analysis for a New Staring Earth Radiation Budget Radiometer Based on the Lagrange L1 Point of the Earth–Moon System. Remote Sens. 2022, 14, 1596. [Google Scholar] [CrossRef]
  33. Ye, X.; Yi, X.; Lin, C.; Fang, W.; Wang, K.; Xia, Z.; Ji, Z.; Zheng, Y.; Sun, D.; Quan, J. Instrument Development: Chinese Radiometric Benchmark of Reflected Solar Band Based on Space Cryogenic Absolute Radiometer. Remote Sens. 2020, 12, 2856. [Google Scholar] [CrossRef]
  34. Mueller, J.L.; Frouin, R.; Morel, A.; Davis, C. Ocean Optics Protocols for Satellite Ocean Color Sensor Validation, Revision 4, Volume I: Introduction. Ocean Optics Protocols 2003, 4, 1–56. [Google Scholar]
  35. Li, L.; Dai, C.; Wu, Z.; Wang, Y. Research and Verification of Temperature Correction Method for Spectral Radiation Measurement Instruments. Spectrosc. Spectr. Anal. 2019, 39, 5. [Google Scholar]
  36. Yu, Z.; Chen, X.; Zhou, B.; Tian, L.; Yuan, X.; Feng, L. Assessment of total suspended sediment concentrations in Poyang Lake using HJ-1A/1B CCD imagery. Chin. J. Oceanol. Limnol. 2012, 30, 943–953. [Google Scholar] [CrossRef]
  37. Alcantara, E.; Curtarelli, M.; Kampel, M.; Stech, J. Spatiotemporal total suspended matter estimation in Itumbiara reservoir with Landsat-8/OLI images. Int. J. Cartogr. 2016, 7, 761–770. [Google Scholar] [CrossRef]
  38. Hlaing, S.; Harmel, T.; Gilerson, A.; Foster, R.; Weidemann, A.; Arnone, R.; Wang, M.; Ahmed, S. Evaluation of the VIIRS ocean color monitoring performance in coastal regions. Remote Sens. Environ. 2013, 139, 398–414. [Google Scholar] [CrossRef]
Figure 1. (a) Schematic diagram of surface glint signal composition on water; (b) Schematic diagram illustrating glint removal using the polarization method.
Figure 1. (a) Schematic diagram of surface glint signal composition on water; (b) Schematic diagram illustrating glint removal using the polarization method.
Photonics 11 00837 g001
Figure 2. Overall composition diagram of the PMHRS.
Figure 2. Overall composition diagram of the PMHRS.
Photonics 11 00837 g002
Figure 3. Enhancement of optical fiber bundle energy.
Figure 3. Enhancement of optical fiber bundle energy.
Photonics 11 00837 g003
Figure 4. Cosine characteristics test results. (a) Normalized cosine value; (b) Cosine error.
Figure 4. Cosine characteristics test results. (a) Normalized cosine value; (b) Cosine error.
Photonics 11 00837 g004
Figure 5. Schematic diagram of the Kohler illumination lens system.
Figure 5. Schematic diagram of the Kohler illumination lens system.
Photonics 11 00837 g005
Figure 6. Three-dimensional structure diagram of the optimized Kohler illumination system.
Figure 6. Three-dimensional structure diagram of the optimized Kohler illumination system.
Photonics 11 00837 g006
Figure 7. The ray trace diagram of the full field at the image plane. (a) 0°; (b) 1.5°; (c) 3°; (d)-3°.
Figure 7. The ray trace diagram of the full field at the image plane. (a) 0°; (b) 1.5°; (c) 3°; (d)-3°.
Photonics 11 00837 g007
Figure 8. The distribution of energy at the image plane.
Figure 8. The distribution of energy at the image plane.
Photonics 11 00837 g008
Figure 9. (a) Schematic diagram of laboratory radiometric calibration; (b) Schematic diagram of temperature correction experiment setup for calibration coefficients.
Figure 9. (a) Schematic diagram of laboratory radiometric calibration; (b) Schematic diagram of temperature correction experiment setup for calibration coefficients.
Photonics 11 00837 g009
Figure 10. The location map of the Xianghai Reservoir.
Figure 10. The location map of the Xianghai Reservoir.
Photonics 11 00837 g010
Figure 11. Location map of the Songhua Lake.
Figure 11. Location map of the Songhua Lake.
Photonics 11 00837 g011
Figure 12. Real scenes of high-resolution reflectance measurements over water. (a) ASD; (b) PMHRS (above-water method); (c) PMHRS (on-water method).
Figure 12. Real scenes of high-resolution reflectance measurements over water. (a) ASD; (b) PMHRS (above-water method); (c) PMHRS (on-water method).
Photonics 11 00837 g012
Figure 13. Remote sensing reflectance of Xianghai Reservoir. (a) PMHRS; (b) ASD.
Figure 13. Remote sensing reflectance of Xianghai Reservoir. (a) PMHRS; (b) ASD.
Photonics 11 00837 g013
Figure 14. Deviation analysis between RrsASD and RrsPMHRS. (a) Mean absolute percentage difference (MAPD); (b) Mean absolute difference (MAD).
Figure 14. Deviation analysis between RrsASD and RrsPMHRS. (a) Mean absolute percentage difference (MAPD); (b) Mean absolute difference (MAD).
Photonics 11 00837 g014
Figure 15. Correlation between ground-measured remote sensing reflectance and Sentinel-2B remote sensing reflectance after atmospheric correction by Sen2Cor. (a) PMHRS; (b) ASD.
Figure 15. Correlation between ground-measured remote sensing reflectance and Sentinel-2B remote sensing reflectance after atmospheric correction by Sen2Cor. (a) PMHRS; (b) ASD.
Photonics 11 00837 g015
Figure 16. Comparison of results from three different measurement methods in the Songhua Lake dataset. The methods include the conventional method (M99), polarization method, and SBA.
Figure 16. Comparison of results from three different measurement methods in the Songhua Lake dataset. The methods include the conventional method (M99), polarization method, and SBA.
Photonics 11 00837 g016
Table 1. Parameter table of three lenses in Kohler lighting system.
Table 1. Parameter table of three lenses in Kohler lighting system.
SurfaceRadius of
Curvature (mm)
Thickness (mm)Materials
Lens 1151.12.6N-BK7
2−51.1
Lens 2330.31.1
4−19.3
Lens 355.43.4
6−24.5
Table 2. Uncertainty of laboratory radiometric calibration of the PMHRS.
Table 2. Uncertainty of laboratory radiometric calibration of the PMHRS.
Source of UncertaintyUncertaintyCombined Uncertainty
Standard irradiance lamp0.8–1.0% (k = 2)
Stray light0.32%
Linearity of the PMHRS0.54%
Calibration distance0.4%
Diffuser0.7% (k = 2)
Irradiance Calibration 1.29–1.43%
Radiance Calibration 1.47–1.59%
Table 3. Uncertainty of laboratory radiometric calibration of the system evaluated using statistical metrics used to assess the agreement of Rrs among the datasets; n is the number of concurrent observations of the match-up, and xi and yi are RrsPMHRS and RrsASD, respectively.
Table 3. Uncertainty of laboratory radiometric calibration of the system evaluated using statistical metrics used to assess the agreement of Rrs among the datasets; n is the number of concurrent observations of the match-up, and xi and yi are RrsPMHRS and RrsASD, respectively.
Root Mean Square Difference
(RMSE)
RMSE = 1 n i = 1 n ( y i x i ) 2
Mean Absolute Percentage Difference
(MAPD)
MAPD = 1 n i = 1 n y i x i x i
Mean Absolute Difference
(MAD)
MAD = 1 n i = 1 n y i x i
Coefficient of determination
(R2)
R 2 = i = 1 n ( x i x ¯ ) ( y i y ¯ ) i = 1 n ( x i x ¯ ) 2 i = 1 n ( y i y ¯ ) 2 2
Table 4. Sentinel-2B satellite band setting (380–900 nm).
Table 4. Sentinel-2B satellite band setting (380–900 nm).
Band NumberCenter Wavelength/nmBand Width/nmResolution/m
14432060
24906510
35603510
46653010
57051520
67401520
77832020
884211510
8A8652020
Table 5. Details of the Songhua Lake site.
Table 5. Details of the Songhua Lake site.
StationTimeLongitude N (°)Latitude E (°)Sun Zenith (°)Wind Speed (m/s)Water Depth (m)
19:0043.7126126.715752.21.712.2
29:3043.7145126.758657.21.416.7
39:5543.6907126.7776611.563.9
410:1043.6767126.782263.22.227.8
511:0543.6179126.734968.91.730.7
611:3043.6358126.800269.72.559.7
711:5543.6505126.834169.20.435.2
812:1043.6526126.852568.4357.8
912:2543.6344126.886067.22.754.5
Table 6. Statistics for mean absolute percentage deviation (MAPD) and mean absolute deviation (MAD) in the comparison of RrsSBA with those from different correction approaches for the Songhua Lake dataset.
Table 6. Statistics for mean absolute percentage deviation (MAPD) and mean absolute deviation (MAD) in the comparison of RrsSBA with those from different correction approaches for the Songhua Lake dataset.
StationMAPD (%)MAD (W/m2/nm/sr)Sun Zenith (°)
M99PolarizationM99Polarization
121.316.64.4 × 10−43.5 × 10−452.2
218.913.24.1 × 10−42.8 × 10−457.2
316.912.64.0 × 10−42.8 × 10−461
416.210.83.9 × 10−42.9 × 10−463.2
512.79.43.8 × 10−42.9 × 10−468.9
611.15.82.3 × 10−41.4 × 10−469.7
712.18.63.4 × 10−42.4 × 10−469.2
815.310.34.3 × 10−43.1 × 10−468.4
919.814.45.3 × 10−43.9 × 10−467.2
Disclaimer/Publisher’s Note: The statements, opinions and data contained in all publications are solely those of the individual author(s) and contributor(s) and not of MDPI and/or the editor(s). MDPI and/or the editor(s) disclaim responsibility for any injury to people or property resulting from any ideas, methods, instructions or products referred to in the content.

Share and Cite

MDPI and ACS Style

Liu, S.; Jiang, Y.; Wang, K.; Zhang, Y.; Wang, Z.; Liu, X.; Yan, S.; Ye, X. Design and Characterization of a Portable Multiprobe High-Resolution System (PMHRS) for Enhanced Inversion of Water Remote Sensing Reflectance with Surface Glint Removal. Photonics 2024, 11, 837. https://doi.org/10.3390/photonics11090837

AMA Style

Liu S, Jiang Y, Wang K, Zhang Y, Wang Z, Liu X, Yan S, Ye X. Design and Characterization of a Portable Multiprobe High-Resolution System (PMHRS) for Enhanced Inversion of Water Remote Sensing Reflectance with Surface Glint Removal. Photonics. 2024; 11(9):837. https://doi.org/10.3390/photonics11090837

Chicago/Turabian Style

Liu, Shuangkui, Ye Jiang, Kai Wang, Yachao Zhang, Zhe Wang, Xu Liu, Shiyu Yan, and Xin Ye. 2024. "Design and Characterization of a Portable Multiprobe High-Resolution System (PMHRS) for Enhanced Inversion of Water Remote Sensing Reflectance with Surface Glint Removal" Photonics 11, no. 9: 837. https://doi.org/10.3390/photonics11090837

APA Style

Liu, S., Jiang, Y., Wang, K., Zhang, Y., Wang, Z., Liu, X., Yan, S., & Ye, X. (2024). Design and Characterization of a Portable Multiprobe High-Resolution System (PMHRS) for Enhanced Inversion of Water Remote Sensing Reflectance with Surface Glint Removal. Photonics, 11(9), 837. https://doi.org/10.3390/photonics11090837

Note that from the first issue of 2016, this journal uses article numbers instead of page numbers. See further details here.

Article Metrics

Back to TopTop