Richardson–Lucy Iterative Blind Deconvolution with Gaussian Total Variation Constraints for Space Extended Object Images
Abstract
1. Introduction
2. Gaussian Total Variation Constrained Regularization Methods
2.1. Definition of Gaussian Total Variation Norm
2.2. The Gaussian Total Variation Minimization Model
2.3. Determination of Gaussian Total Variation Regularization Parameters
3. Gaussian Total Variation Constrained Richardson–Lucy Iterative Blind Deconvolution
3.1. Richardson–Lucy Iterative Blind Deconvolution
3.2. Gaussian Total Variation Constrained RL-IBD Blind Deconvolution Algorithm
| Algorithm 1. GRL iterative blind deconvolution algorithm |
| Initialization: |
| Input: |
| While do |
| ; ; ; |
| For |
| ; ; ; |
| End |
| ; ; ; ; |
| For |
| ; ; |
| ; ; |
| End |
| ; ; |
| End |
| Output: |
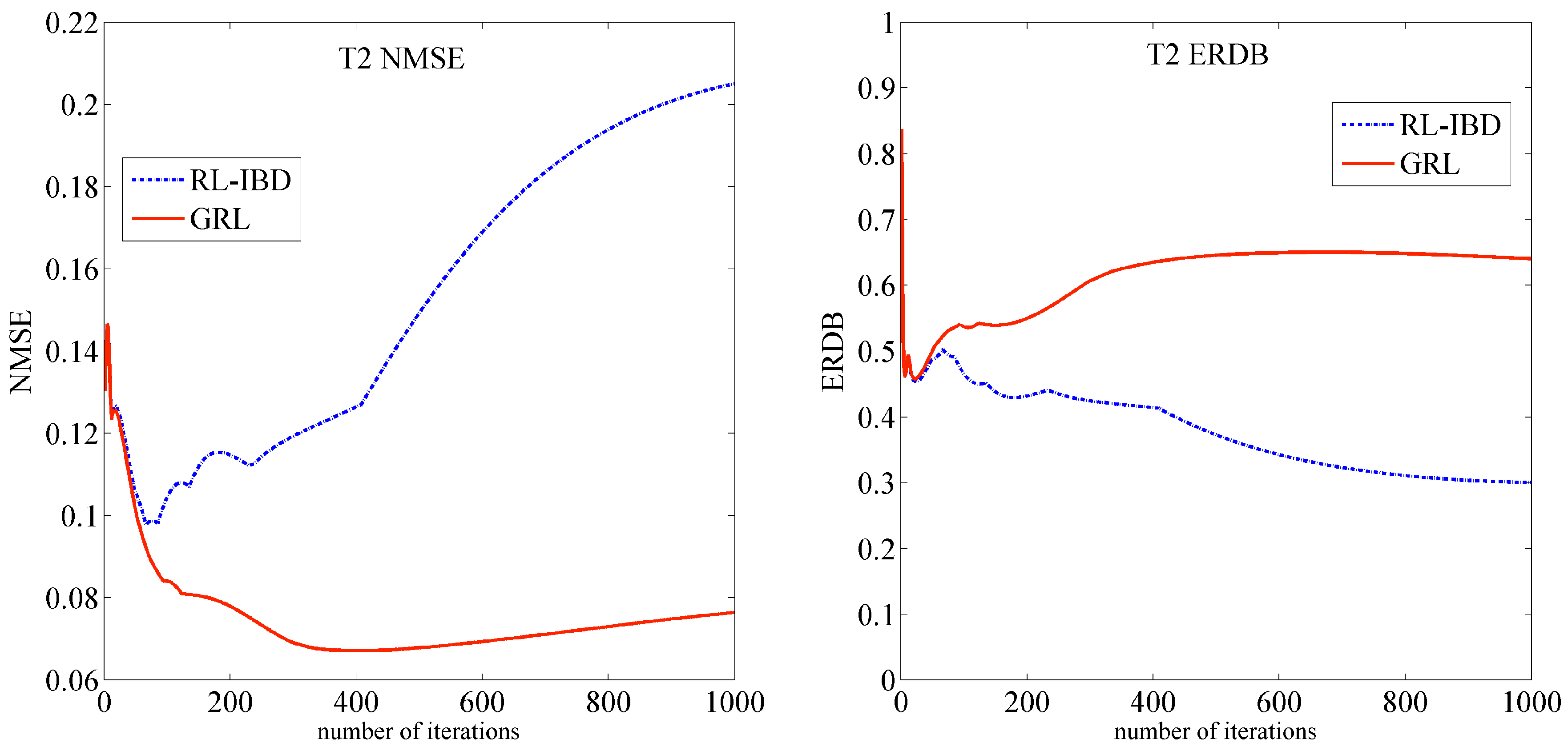
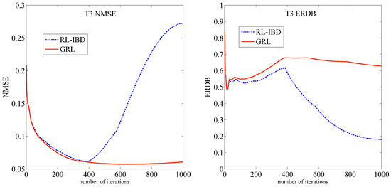
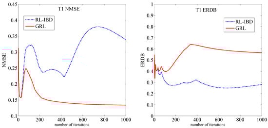
4. Simulation Results and Analysis
5. Conclusions and Discussion
Author Contributions
Funding
Institutional Review Board Statement
Informed Consent Statement
Data Availability Statement
Conflicts of Interest
References
- Hampson, K.M.; Turcotte, R.; Miller, D.T.; Kurokawa, K.; Males, J.R.; Ji, N.; Booth, M.J. Adaptive optics for high-resolution imaging. Nat. Rev. Methods Primers 2021, 1, 68. [Google Scholar] [CrossRef] [PubMed]
- Sturdevant, R.W. From satellite tracking to space situational awareness: The USAF and space surveillance, 1957–2007. Air Power Hist. 2008, 55, 4–23. [Google Scholar]
- Zhong, L.; Tian, Y.; Rao, C. Speckle image reconstruction of the adaptive optics solar images. Opt. Express 2014, 22, 29249–29259. [Google Scholar] [CrossRef] [PubMed]
- Jefferies, S.M.; Hart, M. Deconvolution from wave front sensing using the frozen flow hypothesis. Opt. Express 2011, 19, 1975–1984. [Google Scholar] [CrossRef] [PubMed]
- Guo, S.; Zhang, R.; Li, J.; Zou, J.; Xu, R.; Liu, C. Sequential deconvolution from wave-front sensing using bivariate simplex splines. Opt. Commun. 2015, 342, 73–78. [Google Scholar] [CrossRef]
- Ayers, G.R.; Dainty, J.C. Iterative blind deconvolution method and its applications. Opt. Lett. 1988, 13, 547–549. [Google Scholar] [CrossRef] [PubMed]
- Jefferies, S.M.; Christou, J.C. Restoration of astronomical images by iterative blind deconvolution. Astrophys. J. 1993, 415, 862. [Google Scholar] [CrossRef]
- Gonsalves, R.A. Phase retrieval and diversity in adaptive optics. Opt. Eng. 1982, 21, 829–832. [Google Scholar] [CrossRef]
- Hart, M.; Jefferies, S.; Hope, D.; Hege, E.K.; Briguglio, R.; Pinna, E.; Puglisi, A.; Quiros, F.; Xompero, M. Multiframe blind deconvolution for imaging in daylight and strong turbulence conditions. In Unconventional Imaging, Wavefront Sensing, and Adaptive Coded Aperture Imaging and Non-Imaging Sensor Systems; SPIE: San Diego, CA, USA, 2011; Volume 8165, pp. 113–118. [Google Scholar]
- Zhu, X.; Milanfar, P. Removing atmospheric turbulence via space-invariant deconvolution. IEEE Trans. Pattern Anal. Mach. Intell. 2012, 35, 157–170. [Google Scholar] [CrossRef]
- Babacan, S.D.; Wang, J.; Molina, R.; Katsaggelos, A.K. Bayesian blind deconvolution from differently exposed image pairs. IEEE Trans. Image Process. 2010, 19, 2874–2888. [Google Scholar] [CrossRef][Green Version]
- Lee, G.K.; Gelfand, S.B.; Fitz, M.P. Bayesian techniques for blind deconvolution. IEEE Trans. Commun. 1996, 44, 826–835. [Google Scholar]
- Ruiz, P.; Zhou, X.; Mateos, J.; Molina, R.; Katsaggelos, A.K. Variational Bayesian blind image deconvolution: A review. Digit. Signal Process. 2015, 47, 116–127. [Google Scholar] [CrossRef]
- Fétick, R.J.-L.; Mugnier, L.M.; Fusco, T.; Neichel, B. Blind deconvolution in astronomy with adaptive optics: The parametric marginal approach. Mon. Not. R. Astron. Soc. 2020, 496, 4209–4220. [Google Scholar] [CrossRef]
- Perrone, D.; Favaro, P. Total variation blind deconvolution: The devil is in the details. In Proceedings of the IEEE Conference on Computer Vision and Pattern Recognition, Mandi, India, 16–19 December 2014; pp. 2909–2916. [Google Scholar]
- Molina, R.; Mateos, J.; Katsaggelos, A.K. Blind deconvolution using a variational approach to parameter, image, and blur estimation. IEEE Trans. Image Process. 2006, 15, 3715–3727. [Google Scholar] [CrossRef] [PubMed]
- Ma, L.; Zhang, R.; Qu, Z.; Lu, F.; Xu, R. Blind image deconvolution using sparse and redundant representation. Optik 2014, 125, 6942–6945. [Google Scholar] [CrossRef]
- Dong, W.; Wang, Q.; Tao, S.; Tian, C. Blind multi-Poissonian image deconvolution with sparse log-step gradient prior. Opt. Express 2024, 32, 9061–9080. [Google Scholar] [CrossRef] [PubMed]
- Qiao, C.; Chen, H.; Wang, R.; Jiang, T.; Wang, Y.; Li, D. Deep learning-based optical aberration estimation enables offline digital adaptive optics and super-resolution imaging. Photonics Res. 2024, 12, 474–484. [Google Scholar] [CrossRef]
- Shi, J.; Zhang, R.; Guo, S.; Yang, Y.; Xu, R.; Niu, W.; Li, J. Space targets adaptive optics images blind restoration by convolutional neural network. Opt. Eng. 2019, 58, 093102. [Google Scholar] [CrossRef]
- Chan, T.F.; Wong, C.K. Total variation blind deconvolution. IEEE Trans. Image Process. 1998, 7, 370–375. [Google Scholar] [CrossRef]
- Shao, W.-Z.; Deng, H.-S.; Luo, W.-W.; Li, J.-Y.; Liu, M.-L. Revisiting reweighted graph total variation blind deconvolution and beyond. Vis. Comput. 2023, 40, 3119–3135. [Google Scholar] [CrossRef]
- Richardson, W.H. Bayesian-based iterative method of image restoration. J. Opt. Soc. Am. 1972, 62, 55–59. [Google Scholar] [CrossRef]
- Lucy, L.B. An iterative technique for the rectification of observed distributions. Astron. J. 1974, 79, 745. [Google Scholar] [CrossRef]
- Rudin, L.I.; Osher, S.; Fatemi, E. Nonlinear total variation based noise removal algorithms. Phys. D Nonlinear Phenom. 1992, 60, 259–268. [Google Scholar] [CrossRef]
- Lin, W.; Kuo, C.C.J. Perceptual visual quality metrics: A survey. J. Vis. Commun. Image Represent. 2011, 22, 297–312. [Google Scholar] [CrossRef]
- Gong, G.; Zhang, H.; Yao, M. Construction model for total variation regularization parameter. Opt. Express 2014, 22, 10500–10508. [Google Scholar] [CrossRef] [PubMed]
- Guo, S.; Zhang, R.; Yang, Y.; Xu, R.; Liu, C.; Li, J. Quality metric in matched Laplacian of Gaussian response domain for blind adaptive optics image deconvolution. Opt. Eng. 2016, 55, 043108. [Google Scholar] [CrossRef]
- Biggs, D.S.C.; Andrews, M. Asymmetric iterative blind deconvolution of multiframe images. In Advanced Signal Processing Algorithms, Architectures, and Implementations VIII; SPIE: San Diego, CA, United States, 1998; Volume 3461, pp. 328–338. [Google Scholar]
- Galaktionov, I.; Sheldakova, J.; Samarkin, V.; Toporovsky, V.; Kudryashov, A. Atmospheric Turbulence with Kolmogorov Spectra: Software Simulation, Real-Time Reconstruction and Compensation by Means of Adaptive Optical System with Bimorph and Stacked-Actuator Deformable Mirrors. Photonics 2023, 10, 1147. [Google Scholar] [CrossRef]
- Galaktionov, I.; Sheldakova, J.; Toporovsky, V.; Kudryashov, A. Atmospheric turbulence generator: Software and hardware implementation of Kolmogorov phase screen simulation system. In Laser Resonators, Microresonators, and Beam Control XXVI; SPIE: San Francisco, CA, USA, 2024; Volume 12871, pp. 112–119. [Google Scholar]
- Ferzli, R.; Karam, L.J. A no-reference objective image sharpness metric based on the notion of just noticeable blur (JNB). IEEE Trans. Image Process. 2009, 18, 717–728. [Google Scholar] [CrossRef]
- Muller, R.A.; Buffington, A. Real-time correction of atmospherically degraded telescope images through image sharpening. J. Opt. Soc. Am. 1974, 64, 1200–1210. [Google Scholar] [CrossRef]









Disclaimer/Publisher’s Note: The statements, opinions and data contained in all publications are solely those of the individual author(s) and contributor(s) and not of MDPI and/or the editor(s). MDPI and/or the editor(s) disclaim responsibility for any injury to people or property resulting from any ideas, methods, instructions or products referred to in the content. |
© 2024 by the authors. Licensee MDPI, Basel, Switzerland. This article is an open access article distributed under the terms and conditions of the Creative Commons Attribution (CC BY) license (https://creativecommons.org/licenses/by/4.0/).
Share and Cite
Guo, S.; Lu, Y.; Li, Y. Richardson–Lucy Iterative Blind Deconvolution with Gaussian Total Variation Constraints for Space Extended Object Images. Photonics 2024, 11, 576. https://doi.org/10.3390/photonics11060576
Guo S, Lu Y, Li Y. Richardson–Lucy Iterative Blind Deconvolution with Gaussian Total Variation Constraints for Space Extended Object Images. Photonics. 2024; 11(6):576. https://doi.org/10.3390/photonics11060576
Chicago/Turabian StyleGuo, Shiping, Yi Lu, and Yibin Li. 2024. "Richardson–Lucy Iterative Blind Deconvolution with Gaussian Total Variation Constraints for Space Extended Object Images" Photonics 11, no. 6: 576. https://doi.org/10.3390/photonics11060576
APA StyleGuo, S., Lu, Y., & Li, Y. (2024). Richardson–Lucy Iterative Blind Deconvolution with Gaussian Total Variation Constraints for Space Extended Object Images. Photonics, 11(6), 576. https://doi.org/10.3390/photonics11060576
