Protecting the Quantum Coherence of Two Atoms Inside an Optical Cavity by Quantum Feedback Control Combined with Noise-Assisted Preparation
Abstract
1. Introduction
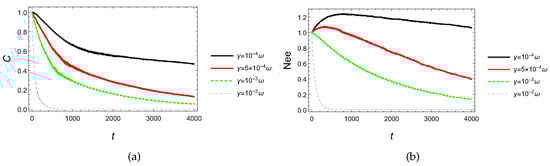
2. The Steady Quantum Coherence Generated by Noise-Assisted Preparation
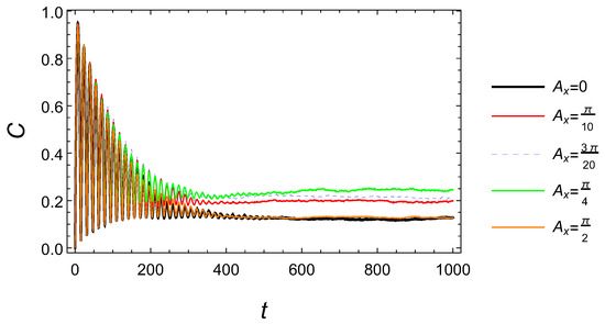
3. Effect of Feedback Control on Quantum Coherence and Excited-State Population
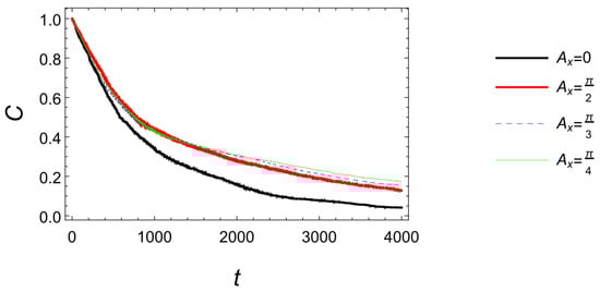
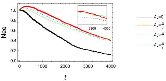
4. Effect of the Joint Action of Quantum Feedback and Noise-Assisted Preparation on Quantum Coherence
5. Conclusions and Discussion
Funding
Institutional Review Board Statement
Informed Consent Statement
Data Availability Statement
Conflicts of Interest
References
- Aberg, J. Catalytic coherence. Phys. Rev. Lett. 2014, 113, 150402. [Google Scholar] [CrossRef] [PubMed]
- Lostaglio, M.; Korzekwa, K.; Jennings, D.; Rudolph, T. Quantum coherence, time-translation symmetry, and thermodynamics. Phys. Rev. X 2015, 5, 021001. [Google Scholar] [CrossRef]
- Hillery, M. Coherence as a resource in decision problems: The deutsch-jozsa algorithm and a variation. Phys. Rev. A 2016, 93, 012111. [Google Scholar] [CrossRef]
- Napoli, C.; Bromley, T.R.; Cianciaruso, M.; Piani, M.; Johnston, N.; Adesso, G. Robustness of coherence: An operational and observable measure of quantum coherence. Phys. Rev. Lett. 2016, 116, 150502. [Google Scholar] [CrossRef] [PubMed]
- Piani, M.; Cianciaruso, M.; Bromley, T.R.; Napoli, C.; Johnston, N.; Adesso, G. Robustness of asymmetry and coherence of quantum states. Phys. Rev. A 2016, 93, 042107. [Google Scholar] [CrossRef]
- Baumgratz, T.; Cramer, M.; Plenio, M.B. Quantifying coherence. Phys. Rev. Lett. 2014, 113, 140401. [Google Scholar] [CrossRef] [PubMed]
- Winter, A.; Yang, D. Operational resource theory of coherence. Phys. Rev. Lett. 2016, 116, 120404. [Google Scholar] [CrossRef] [PubMed]
- Rana, S.; Parashar, P.; Lewenstein, M. Trace-distance measure of coherence. Phys. Rev. A 2016, 93, 012110. [Google Scholar] [CrossRef]
- Rastegin, A.E. Quantum-coherence quantifiers based on the tsallis relative α entropies. Phys. Rev. A 2016, 93, 032136. [Google Scholar] [CrossRef]
- Streltsov, A.; Rana, S.; Boes, P.; Eisert, J. Structure of the resource theory of quantum coherence. Phys. Rev. Lett. 2017, 119, 140402. [Google Scholar] [CrossRef] [PubMed]
- Du, S.; Bai, Z.; Guo, Y. Conditions for coherence transformations under incoherent operations. Phys. Rev. A 2015, 91, 052120. [Google Scholar] [CrossRef]
- Ma, J.; Yadin, B.; Girolami, D.; Vedral, V.; Gu, M. Converting coherence to quantum correlations. Phys. Rev. Lett. 2016, 116, 160407. [Google Scholar] [CrossRef] [PubMed]
- Zhang, Y.-R.; Shao, L.-H.; Li, Y.; Fan, H. Quantifying coherence in infinite-dimensional systems. Phys. Rev. A 2016, 93, 012334. [Google Scholar] [CrossRef]
- Cheng, S.; Hall, M.J.W. Complementarity relations for quantum coherence. Phys. Rev. A 2015, 92, 042101. [Google Scholar] [CrossRef]
- Singh, U.; Zhang, L.; Pati, A.K. Average coherence and its typicality for random pure states. Phys. Rev. A 2016, 93, 032125. [Google Scholar] [CrossRef]
- Hu, M.-L.; Hu, X.; Wang, J.; Peng, Y.; Zhang, Y.-R.; Fan, H. Quantum coherence and geometric quantum discord. Phys. Rep. 2018, 762, 1. [Google Scholar] [CrossRef]
- Carvalho, A.R.R.; Reid, A.J.S.; Hope, J.J. Controlling entanglement by direct quantum feedback. Phys. Rev. A 2008, 78, 012334. [Google Scholar] [CrossRef]
- Carvalho, A.R.R.; Hope, J.J. Stabilizing entanglement by quantum-jump-based feedback. Phys. Rev. A 2007, 76, 010301. [Google Scholar] [CrossRef]
- Bacon, D.; Kempe, J.; Lidar, D.A.; Whaley, K.B. Universal fault-tolerant quantum computation on decoherence-free subspaces. Phys. Rev. Lett. 2000, 85, 1758–1761. [Google Scholar] [CrossRef]
- Xue, D.; Zou, J.; Shao, B. Continuous dynamical protection of coherent evolutions of two distant atoms against atomic decay. Eur. Phys. J. D 2013, 67, 16. [Google Scholar] [CrossRef]
- Poyatos, J.F.; Cirac, J.I.; Zoller, P. Quantum reservoir engineering with laser cooled trapped ions. Phys. Rev. Lett. 1996, 77, 4728–4731. [Google Scholar] [CrossRef] [PubMed]
- Maniscalco, S.; Francica, F.; Zaffino, R.L.; Gullo, N.L.; Plastina, F. Protecting entanglement via the quantum zeno effect. Phys. Rev. Lett. 2008, 100, 090503. [Google Scholar] [CrossRef] [PubMed]
- Liu, X.; Tian, Z.; Wang, J.; Jing, J. Protecting quantum coherence of two-level atoms from vacuum fluctuations of electromagnetic field. Ann. Phys. 2016, 366, 102. [Google Scholar] [CrossRef]
- Hu, M.L.; Fan, H. Quantum coherence of multiqubit states in correlated noisy channels. Sci. China Phys. Mech. Astron. 2020, 63, 230322. [Google Scholar] [CrossRef]
- Wiseman, H.M.; Mancini, S.; Wang, J. Bayesian feedback versus markovian feedback in a two-level atom. Phys. Rev. A 2002, 66, 013807. [Google Scholar] [CrossRef]
- Cheng, J.-Q.; Wu, W.; Xu, J.-B. Effect of feedback control on the dynamics of quantum discord with and without the rotating-wave approximation. J. Opt. Soc. Am. B 2017, 34, 701. [Google Scholar] [CrossRef]
- Wang, J.; Wiseman, H.M.; Milburn, G.J. Dynamical creation of entanglement by homodyne-mediated feedback. Phys. Rev. A 2005, 71, 042309. [Google Scholar] [CrossRef]
- Mancini, S.; Vitali, D.; Tombesi, P.; Bonifacio, R. Stochastic control of quantum coherence. Europhys. Lett. 2002, 60, 498–504. [Google Scholar] [CrossRef]
- Calderbank, A.R.; Shor, P.W. Good quantum error-correcting codes exist. Phys. Rev. A 1996, 54, 1098–1105. [Google Scholar] [CrossRef]
- Kim, M.S.; Lee, J.; Ahn, D.; Knight, P.L. Entanglement induced by a single-mode heat environment. Phys. Rev. A 2002, 65, 040101. [Google Scholar] [CrossRef]
- Yi, X.X.; Yu, C.S.; Zhou, L.; Song, H.S. Noise-assisted preparation of entangled atoms. Phys. Rev. A 2003, 68, 052304. [Google Scholar] [CrossRef]
- Zhao, X.; Yu, Y.M.; Xia, Y. Noise-assisted quantum coherence protection in a hierarchical environment. Phys. Rev. A 2022, 105, 042217. [Google Scholar] [CrossRef]
- Plenio, M.B.; Huelga, S.F. Entangled Light from White Noise. Phys. Rev. Lett. 2022, 88, 197901. [Google Scholar] [CrossRef]
- Schneider, S.; Milburn, G.J. Entanglement in the steady state of a collective-angular-momentum (dicke) model. Phys. Rev. A 2002, 65, 042107. [Google Scholar] [CrossRef]
- Zheng, W.; Huang, B.-H.; Zhao, X.; Xia, Y. Quantum Entanglement Protection by Utilizing Classical Noises. Adv. Quantum Technol. 2023, 6, 2300150. [Google Scholar] [CrossRef]
- Pedrozo-Peñafiel, E.; Colombo, S.; Shu, C.; Adiyatullin, A.F.; Li, Z.; Mendez, E.; Braverman, B.; Kawasaki, A.; Akamatsu, D.; Xiao, Y.; et al. Entanglement on an optical atomic-clock transition. Nature 2020, 588, 414. [Google Scholar] [CrossRef]
- Leroux, I.D.; Schleier-Smith, M.H.; Vuletic, V. Implementation of Cavity Squeezing of a Collective Atomic Spin. Phys. Rev. Lett. 2010, 104, 073602. [Google Scholar] [CrossRef]
- Kollár, A.J.; Fitzpatrick, M.; Houck, A.A. Hyperbolic lattices in circuit quantum electrodynamics. Nature 2019, 571, 45. [Google Scholar] [CrossRef] [PubMed]
- Periwal, A.; Cooper, E.S.; Kunkel, P.; Wienand, J.F.; Davis, E.J.; Schleier-Smith, M. Programmable interactions and emergent geometry in an array of atom clouds. Nature 2021, 600, 630. [Google Scholar] [CrossRef]
- Vijayan, J.; Piotrowski, J.; Gonzalez-Ballestero, C.; Weber, K.; Romero-Isart, O.; Novotny, L. Cavity-mediated long-range interactions in levitated optomechanics. Nat. Phys. 2024. [Google Scholar] [CrossRef]
- Chauhan, A.K.; Černotík, O.; Filip, R. Tuneable Gaussian entanglement in levitated nanoparticle arrays. NPJ Quantum Inf. 2022, 8, 151. [Google Scholar] [CrossRef]
- Hou, S.C.; Huang, X.L.; Yi, X.X. Suppressing decoherence and improving entanglement by quantum-jump-based feedback control in two-level systems. Phys. Rev. A 2010, 82, 012336. [Google Scholar] [CrossRef]
- Dalibard, J.; Castin, Y.; Mølmer, K. Wave-function approach to dissipative processes in quantum optics. Phys. Rev. Lett. 1992, 68, 580–583. [Google Scholar] [CrossRef] [PubMed]
- Dum, R.; Zoller, P.; Ritsch, H. Monte carlo simulation of the atomic master equation for spontaneous emission. Phys. Rev. A 1992, 45, 4879–4887. [Google Scholar] [CrossRef] [PubMed]
- Plenio, M.B.; Huelga, S.F.; Beige, A.; Knight, P.L. Cavity-loss-induced generation of entangled atoms. Phys. Rev. A 1999, 59, 2468–2475. [Google Scholar] [CrossRef]
- Ebadi, S.; Wang, T.T.; Levine, H.; Keesling, A.; Semeghini, G.; Omran, A.; Bluvstein, D.; Samajdar, R.; Pichler, H.; Ho, W.W.; et al. Quantum phases of matter on a 256-atom programmable quantum simulator. Nature 2021, 595, 227. [Google Scholar] [CrossRef] [PubMed]
- Scholl, P.; Schuler, M.; Williams, H.J.; Eberharter, A.A.; Barredo, D.; Schymik, K.-N.; Lienhard, V.; Henry, L.-P.; Lang, T.C.; Lahaye, T.; et al. Quantum simulation of 2D antiferromagnets with hundreds of Rydberg atoms. Nature 2021, 595, 233. [Google Scholar] [CrossRef] [PubMed]
- Puppe, T.; Schuster, I.; Grothe, A.; Kubanek, A.; Murr, K.; Pinkse, P.W.H.; Rempe, G. Trapping and Observing Single Atoms in a Blue-Detuned Intracavity Dipole Trap. Phys. Rev. Lett. 2007, 99, 013002. [Google Scholar] [CrossRef] [PubMed]
- Wiseman, H.M. Quantum theory of continuous feedback. Phys. Rev. A 1994, 49, 2133–2150. [Google Scholar] [CrossRef]
- Rosario, L.F.; Giuseppe, C. Indistinguishability of Elementary Systems as a Resource for Quantum Information Processing. Phys. Rev. Lett. 2018, 120, 240403. [Google Scholar]
- Piccolini, M.; Giovannetti, V.; Lo Franco, R. Robust Engineering of Maximally Entangled States by Identical Particle Interferometry. Adv. Quantum Technol. 2023, 6, 2300146. [Google Scholar] [CrossRef]
- Ozaydin, F.; Sarkar, R.; Bayrakci, V.; Bayındır, C.; Altintas, A.A.; Müstecaplıoğlu, Ö.E. Engineering Four-Qubit Fuel States for Protecting Quantum Thermalization Machine from Decoherence. Information 2024, 15, 35. [Google Scholar] [CrossRef]
- Sayrin, C.; Dotsenko, I.; Zhou, X.; Peaudecerf, B.; Rybarczyk, T.; Gleyzes, S.; Rouchon, P.; Mirrahimi, M.; Amini, H.; Brune, M.; et al. Real-time quantum feedback prepares and stabilizes photon number states. Nature 2011, 477, 73. [Google Scholar] [CrossRef]
- Minev, Z.K.; Mundhada, S.O.; Shankar, S.; Reinhold, P.; Gutiérrez-Jáuregui, R.; Schoelkopf, R.J.; Mirrahimi, M.; Carmichael, H.J.; Devoret, M.H. To catch and reverse a quantum jump mid-flight. Nature 2019, 570, 200. [Google Scholar] [CrossRef] [PubMed]








Disclaimer/Publisher’s Note: The statements, opinions and data contained in all publications are solely those of the individual author(s) and contributor(s) and not of MDPI and/or the editor(s). MDPI and/or the editor(s) disclaim responsibility for any injury to people or property resulting from any ideas, methods, instructions or products referred to in the content. |
© 2024 by the author. Licensee MDPI, Basel, Switzerland. This article is an open access article distributed under the terms and conditions of the Creative Commons Attribution (CC BY) license (https://creativecommons.org/licenses/by/4.0/).
Share and Cite
Li, C.-X. Protecting the Quantum Coherence of Two Atoms Inside an Optical Cavity by Quantum Feedback Control Combined with Noise-Assisted Preparation. Photonics 2024, 11, 400. https://doi.org/10.3390/photonics11050400
Li C-X. Protecting the Quantum Coherence of Two Atoms Inside an Optical Cavity by Quantum Feedback Control Combined with Noise-Assisted Preparation. Photonics. 2024; 11(5):400. https://doi.org/10.3390/photonics11050400
Chicago/Turabian StyleLi, Chang-Xiao. 2024. "Protecting the Quantum Coherence of Two Atoms Inside an Optical Cavity by Quantum Feedback Control Combined with Noise-Assisted Preparation" Photonics 11, no. 5: 400. https://doi.org/10.3390/photonics11050400
APA StyleLi, C.-X. (2024). Protecting the Quantum Coherence of Two Atoms Inside an Optical Cavity by Quantum Feedback Control Combined with Noise-Assisted Preparation. Photonics, 11(5), 400. https://doi.org/10.3390/photonics11050400
