Silicon Nitride Bent Asymmetric Coupled Waveguides with Partial Euler Bends
Abstract
1. Introduction
2. Device Geometry
3. Modal Properties of Constant-Curvature Asymmetric Two-Waveguide Sections
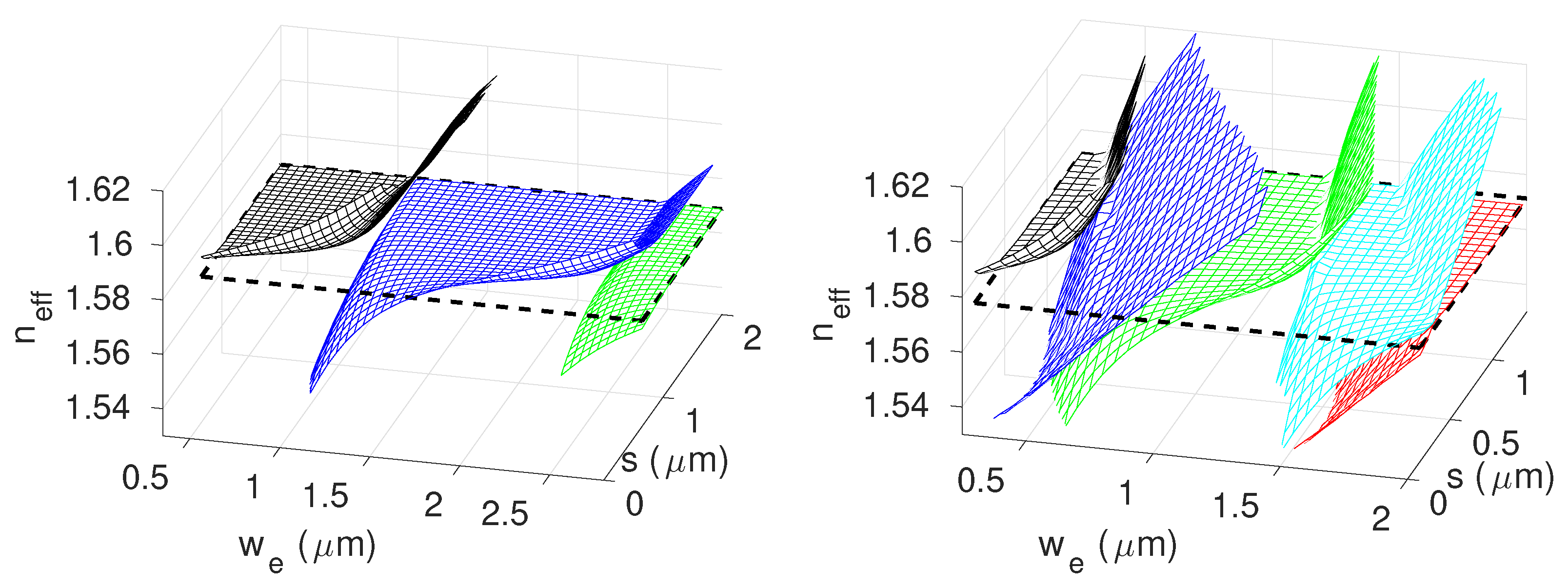
4. Results
4.1. Reduction in Radiation Loss at Small Radii
4.2. Device Footprint
4.3. Polarizers
5. Discussion
Funding
Institutional Review Board Statement
Informed Consent Statement
Data Availability Statement
Conflicts of Interest
References
- Zhang, C.; Tran, M.A.; Dorche, A.E.; Shen, Y.; Shen, B.; Asawa, K.; Kim, G.; Kim, N.; Levison, F.; Bowers, J.E.; et al. Integrated photonics beyond communications. Appl. Phys. Lett. 2023, 123, 230501. [Google Scholar] [CrossRef]
- Wu, J.; Yue, G.; Chen, W.; Xing, Z.; Wang, J.; Wong, W.R.; Cheng, Z.; Set, S.Y.; Murugan, G.S.; Wang, X.; et al. On-Chip Optical Gas Sensors Based on Group-IV Materials. ACS Photonics 2020, 7, 2923–2940. [Google Scholar] [CrossRef]
- Wang, J.; Dong, J. Optical Waveguides and Integrated Optical Devices for Medical Diagnosis, Health Monitoring and Light Therapies. Sensors 2020, 20, 3981. [Google Scholar] [CrossRef]
- Chang, L.; Liu, S.; Bowers, J.E. Integrated optical frequency comb technologies. Nat. Photonics 2022, 16, 95–108. [Google Scholar] [CrossRef]
- Luo, W.; Cao, L.; Shi, Y.; Wan, L.; Zhang, H.; Li, S.; Chen, G.; Li, Y.; Li, S.; Wang, Y.; et al. Recent progress in quantum photonic chips for quantum communication and internet. Light Sci. Appl. 2023, 12, 175. [Google Scholar] [CrossRef] [PubMed]
- Siew, S.Y.; Li, B.; Gao, F.; Zheng, H.Y.; Zhang, W.; Guo, P.; Xie, S.W.; Dong, L.; Luo, L.W.; Li, C.; et al. Review of Silicon Photonics Technology and Platform Development. J. Light. Technol. 2021, 39, 4374–4389. [Google Scholar] [CrossRef]
- Sharma, T.; Wang, J.; Kaushik, B.K.; Cheng, Z.; Kumar, R.; Wei, Z.; Li, X. Review of Recent Progress on Silicon Nitride-Based Photonic Integrated Circuits. IEEE Access 2020, 8, 195436–195446. [Google Scholar] [CrossRef]
- Chamorro-Posada, P. Radiation in bent asymmetric coupled waveguides. Appl. Opt. 2019, 58, 4450–4457. [Google Scholar] [CrossRef]
- Wu, H.; Li, C.; Song, L.; Tsang, H.-K.; Bowers, J.E.; Dai, D. Ultra-Sharp Multimode Waveguide Bends with Subwavelength Gratings. Laser Photonics Rev. 2019, 13, 1800119. [Google Scholar] [CrossRef]
- Harjanne, M.; Aalto, T. Design of tight bends in silicon-on-insulator ridge waveguides. Phys. Scr. 2004, T114, 209–212. [Google Scholar] [CrossRef]
- Solehmainen, K.; Aalto, T.; Dekker, J.; Kapulainen, M.; Harjanne, M.; Heimala, P. Development of multi-step processing in silicon-on-insulator for optical waveguide applications. J. Opt. A Pure Appl. Opt. 2006, 8, S455–S460. [Google Scholar] [CrossRef]
- Melloni, A.; Monguzzi, P.; Costa, R.; Martinelli, M. Design of curved waveguides: The matched bend. J. Opt. Soc. Am. A 2003, 20, 130–137. [Google Scholar] [CrossRef] [PubMed]
- Nuemann, E.-G. Curved dielectric optical waveguides with reduced transition losses. IEE Proc. 1982, 129, 278–280. [Google Scholar] [CrossRef]
- Kitoh, T.; Takato, N.; Yasu, M.; Kawachi, M. Bending loss reduction in silica-based waveguides by using lateral offsets. J. Light. Technol. 1995, 13, 555–562. [Google Scholar] [CrossRef]
- Ladouceur, F.; Labeye, P. A New General Approach to Optical Waveguide Path Design. J. Light. Technol. 1995, 13, 481–492. [Google Scholar] [CrossRef]
- Yi, D.; Zhang, Y.; Tsang, H.K. Optimal Bezier curve transition for low-loss ultra-compact S-bends. Opt. Lett. 2021, 46, 876–879. [Google Scholar] [CrossRef]
- Song, J.H.; Kongnyuy, T.D.; Stassen, A.; Mukund, V.; Rottenberg, X. Adiabatically Bent Waveguides on Silicon Nitride Photonics for Compact and Dense Footprints. IEEE Photonics Technol. Lett. 2016, 28, 2164–2167. [Google Scholar] [CrossRef]
- Song, J.H.; Kongnyuy, T.D.; De Heyn, P.; Lardenois, S.; Roelof, J.; Rottenberg, X. Low-Loss Waveguide Bends by Advanced Shape for Photonic Integrated Circuits. J. Light. Technol. 2020, 38, 3273–3279. [Google Scholar] [CrossRef]
- Liu, P.-L.; Li, B.-J.; Cressman, P.J.; Debesis, J.R.; Stoller, S. Comparison of Measurede Losses of Ti:LiNbO3 Channel Waveguide Bends. IEEE Photonics Technol. Lett. 1991, 3, 755–756. [Google Scholar] [CrossRef]
- Mustieles, F.J.; Ballesteros, E.; Baquero, P. Theoretical S-Bend Profile for Optimization of Optical Waveguide Radiation Losses. IEEE Photonics Technol. Lett. 1993, 5, 551–553. [Google Scholar] [CrossRef]
- Bogaerts, W.; Selvaraja, S.K. Compact Single-Mode Silicon Hybrid Rib/Strip Waveguide With Adiabatic Bends. IEEE Photonics J. 2011, 3, 422–432. [Google Scholar] [CrossRef]
- Cherchi, M.; Ylinen, S.; Harjanne, M.; Kapulainen, M.; Aalto, T. Dramatic size reduction of waveguide bends on a micron-scale silicon photonic platform. Opt. Express 2013, 21, 17814–17823. [Google Scholar] [CrossRef]
- Jiang, X.; Wu, H.; Dai, D. Low-loss and low-crosstalk multimode waveguide bend on silicon. Opt. Express 2018, 13, 17680–17689. [Google Scholar] [CrossRef]
- Fujisawa, T.; Makino, S.; Sato, T.; Saitoh, K. Low-loss, compact, and fabrication-tolerant Si-wire 90deg waveguide bend using clothoid and normal curves for large scale photonic integrated circuts. Opt. Express 2017, 25, 9150–9159. [Google Scholar] [CrossRef]
- Vogelbacher, F.; Nevlcasil, S.; Sagmeister, M.; Kraft, J.; Unterrainer, K.; Hainberger, R. Analysis of silicon nitride partial Euler waveguide bends. Opt. Express 2019, 27, 31394–31406. [Google Scholar] [CrossRef]
- Sun, T.; Xia, M. Low loss modified Bezier bend waveguide. Opt. Express 2022, 30, 452580. [Google Scholar] [CrossRef]
- Zhang, L.; Chen, J.; Ma, W.; Chen, G.; Li, R.; Li, W.; An, J.; Zhang, J.; Wang, Y.; Gou, G.; et al. Low-loss, ultracompact n-adjustable waveguide bends for photonic integrated circuits. Opt. Express 2023, 31, 2792–2806. [Google Scholar] [CrossRef] [PubMed]
- Chen, T.; Lee, H.; Li, J.; Vahala, K.J. A general design algorithm for low optical loss adiabatic connections in waveguides. Opt. Express 2012, 20, 22819–22829. [Google Scholar] [CrossRef] [PubMed]
- Gabrielli, L.H.; Liu, D.; Johnson, S.G.; Lipson, M. On-chip transformation optics for multimode waveguide bends. Nat. Commun. 2012, 3, 1217. [Google Scholar] [CrossRef]
- Yu, Z.; Ma, Y.; Sun, X. Photonic welding points for arbitrary on-chip optical interconnects. Nanophotonics 2018, 7, 1679–1686. [Google Scholar] [CrossRef]
- Liu, Y.; Sun, W.; Xie, H.; Zhang, N.; Xu, K.; Yao, Y.; Xiao, S.; Song, Q. Very sharp adiabatic bends based on an inverse design. Opt. Lett. 2018, 43, 2482–2485. [Google Scholar] [CrossRef] [PubMed]
- Bahadori, M.N.M.; Cheng, Q.X.; Bergman, K. Universal design of waveguide bends in silicon-on-insulator photonics platform. J. Light. Technol. 2019, 37, 3044–3054. [Google Scholar] [CrossRef]
- Li, Z.; Li, G.; Huang, J.; Zhang, Z.; Yang, J.; Yang, C.; Qian, Y.; Xu, W.; Huang, H. Ultra-compact high efficiency and low crosstalk optical interconnection structures based on inverse designed nanophotonic elements. Sci. Rep. 2020, 10, 11993. [Google Scholar] [CrossRef] [PubMed]
- Yu, Z.; Sun, X. Inverse-designed photonic jumpers with ultracompact size and ultralow loss. J. Light. Technol. 2020, 38, 6623–6628. [Google Scholar] [CrossRef]
- Chamorro-Posada, P. Q-Enhanced racetrack microresonators. Optics Commun. 2017, 387, 70–78. [Google Scholar] [CrossRef]
- Chamorro-Posada, P.; Baños, R. Design and Characterization of Q-Enhanced Silicon Nitride Racetrack Microresonators. J. Light. Technol. 2021, 2917–2923. [Google Scholar] [CrossRef]
- Chamorro-Posada, P. Asymmetric Concentric Microring Resonator Label-Free Biosensors. Photonics 2022, 9, 27. [Google Scholar] [CrossRef]
- Chamorro-Posada, P. Ultracompact integrated polarizers using bent asymmetric coupled waveguides. Opt. Lett. 2019, 44, 2040–2043. [Google Scholar] [CrossRef]
- Chamorro-Posada, P. Design and characterization of silicon nitride ultracompact integrated polarizers using bent asymmetric coupled waveguides. Opt. Lett. 2021, 46, 609–612. [Google Scholar] [CrossRef]
- Abramowitz, M. Handbook of Mathematical Functions, with Formulas, Graphs, and Mathematical Tables; Dover Publications: Mineola, NY, USA, 1974; p. 301. [Google Scholar]
- Krause, M. Finite-difference mode solver for curved waveguides with angled and curved dielectric interfaces. J. Light. Technol. 2009, 29, 691–699. [Google Scholar] [CrossRef]
- wgms3d-Full-Vectorial Waveguide Mode Solver. Available online: http://www.soundtracker.org/raw/wgms3d/ (accessed on 27 February 2024).
- Hiremath, K.R.; Hammer, M.; Stoffer, R.; Prkna, L.; Ctyroky, J. Analytic approach to dielectric optical bent slab waveguides. Opt. Quantum Electron. 2005, 37, 37–61. [Google Scholar] [CrossRef]
- Gallagher, D.F.G.; Felici, T.P. Eigenmode expansion methods for simulation of optical propagation in photonics: Pros and cons. Proc. SPIE 2003, 4897, 69–89. [Google Scholar]
- Huang, W.P.; Xu, C.-L. Simulation of Three-Dimensional Optical Waveguides by a Full-Vector Beam Propagation Method. IEEE J. Quantum Electron. 1993, 29, 2639–2649. [Google Scholar] [CrossRef]
- Lui, W.; Xu, C.-L.; Hirono, T.; Yokoyama, K.; Huang, W.P. Full-vectorial wave propagation in semiconductor optical bending waveguides and equivalent straight waveguide approximations. J. Light. Technol. 1998, 16, 910–914. [Google Scholar] [CrossRef]
- Yee, K. Numerical solution of initial boundary value problems involving Maxwell’s equations in isotropic media. IEEE Trans. Antennas Propag. 1966, 14, 302–307. [Google Scholar]








Disclaimer/Publisher’s Note: The statements, opinions and data contained in all publications are solely those of the individual author(s) and contributor(s) and not of MDPI and/or the editor(s). MDPI and/or the editor(s) disclaim responsibility for any injury to people or property resulting from any ideas, methods, instructions or products referred to in the content. |
© 2024 by the author. Licensee MDPI, Basel, Switzerland. This article is an open access article distributed under the terms and conditions of the Creative Commons Attribution (CC BY) license (https://creativecommons.org/licenses/by/4.0/).
Share and Cite
Chamorro-Posada, P. Silicon Nitride Bent Asymmetric Coupled Waveguides with Partial Euler Bends. Photonics 2024, 11, 218. https://doi.org/10.3390/photonics11030218
Chamorro-Posada P. Silicon Nitride Bent Asymmetric Coupled Waveguides with Partial Euler Bends. Photonics. 2024; 11(3):218. https://doi.org/10.3390/photonics11030218
Chicago/Turabian StyleChamorro-Posada, Pedro. 2024. "Silicon Nitride Bent Asymmetric Coupled Waveguides with Partial Euler Bends" Photonics 11, no. 3: 218. https://doi.org/10.3390/photonics11030218
APA StyleChamorro-Posada, P. (2024). Silicon Nitride Bent Asymmetric Coupled Waveguides with Partial Euler Bends. Photonics, 11(3), 218. https://doi.org/10.3390/photonics11030218
