Mitigating the Strong Inter-Core Crosstalk during MCF Transmissions by Neural-Network-Equalizer-Based MIMO-DSP and Approaches for Its Simplification
Abstract
1. Introduction
2. Principles of NNE-Based MIMO-DSP and Approaches for Its Simplification
2.1. Transfer Learning of NNE-Based MIMO-DSP
| Algorithm 1 DFNNE training process |
|
2.2. Partial MIMO-DSP Enabled by the IC-XT Cancellation via Orthogonal Filtering
2.3. Performance Metrics
3. Results and Discussion
3.1. MCF Transmissions Model Based on Coupled Nonlinear Schrödinger Equation
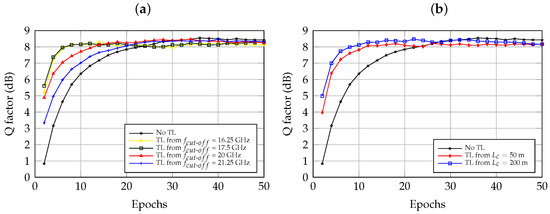
3.2. Simulation Results of the TL-Aided NNE-Based MIMO-DSP
3.3. Experimental Setup
3.4. Experimental Results of Orthogonal Filtering
4. Conclusions
Author Contributions
Funding
Institutional Review Board Statement
Informed Consent Statement
Data Availability Statement
Conflicts of Interest
References
- Rademacher, G.; van den Hout, M.; Luís, R.S.; Puttnam, B.J.; Sciullo, G.D.; Hayashi, T.; Inoue, A.; Nagashima, T.; Gross, S.; Ross-Adams, A.; et al. Randomly Coupled 19-Core Multi-Core Fiber with Standard Cladding Diameter. In Proceedings of the 2023 Optical Fiber Communication Conference (OFC), San Diego, CA, USA, 5–9 March 2023; p. Th4A.4. [Google Scholar]
- Downie, J.D.; Liang, X.; Makovejs, S. Assessing Capacity and Cost/Capacity of 4-Core Multicore Fibers against Single Core Fibers in Submarine Cable Systems. J. Light. Technol. 2020, 38, 3015–3022. [Google Scholar] [CrossRef]
- Tateno, S.; Takeshita, H.; Hosokawa, K.; de Gabory, E.L.T. Capacity Expansion in Submarine Cable Systems with Bidirectional Transmission Using 4-Core-or-More MCF and MC-EDFA. J. Light. Technol. 2023, 41, 3943–3949. [Google Scholar] [CrossRef]
- Takeshita, H.; Nakamura, K.; Matsuo, Y.; Inoue, T.; Masuda, D.; Hiwatashi, T.; Hosokawa, K.; Inada, Y.; de Gabory, E.L.T. Demonstration of Uncoupled 4-Core Multicore Fiber in Submarine Cable Prototype With Integrated Multicore EDFA. J. Light. Technol. 2023, 41, 980–988. [Google Scholar] [CrossRef]
- Luís, R.S.; Rademacher, G.; Puttnam, B.J.; Eriksson, T.A.; Furukawa, H.; Ross-Adams, A.; Gross, S.; Withford, M.; Riesen, N.; Sasaki, Y.; et al. 1.2 Pb/s Throughput Transmission Using a 160 μm Cladding, 4-Core, 3-Mode Fiber. J. Light. Technol. 2019, 37, 1798–1804. [Google Scholar] [CrossRef]
- Soma, D.; Wakayama, Y.; Beppu, S.; Sumita, S.; Tsuritani, T.; Hayashi, T.; Nagashima, T.; Suzuki, M.; Yoshida, M.; Kasai, K.; et al. 10.16-Peta-B/s Dense SDM/WDM Transmission Over 6-Mode 19-Core Fiber Across the C+L Band. J. Light. Technol. 2018, 36, 1362–1368. [Google Scholar] [CrossRef]
- Fresi, F.; Imran, M.; Malacarne, A.; Meloni, G.; Sorianello, V.; Forestieri, E.; Potì, L. Advances in optical technologies and techniques for high capacity communications. J. Opt. Commun. Netw. 2017, 9, C54–C64. [Google Scholar] [CrossRef]
- Ma, M.; Chang, H.; Gao, R.; Guo, D.; Liu, X.; Yuan, M. Modeling of Multi-Core Fiber Channel Based on M-CGAN for High Capacity Fiber Optical Communication. In Proceedings of the 2023 Asia Communications and Photonics Conference/2023 International Photonics and Optoelectronics Meetings (ACP/POEM), Wuhan, China, 4–7 November 2023; pp. 1–5. [Google Scholar] [CrossRef]
- Kingsta, R.M.; Selvakumari, R.S. A review on coupled and uncoupled multicore fibers for future ultra-high capacity optical communication. Optik 2019, 199, 163341. [Google Scholar] [CrossRef]
- Awaji, Y.; Sakaguchi, J.; Puttnam, B.J.; Luis, R.S.; Mendinueta, J.M.D.; Klaus, W.; Wada, N. High-capacity transmission over multi-core fibers. Opt. Fiber Technol. 2017, 35, 100–107. [Google Scholar] [CrossRef]
- Matsui, T.; Yamada, Y.; Sagae, Y.; Nakajima, K. Standard cladding diameter multi-core fiber technology. In Proceedings of the 2021 Optical Fiber Communications Conference and Exhibition (OFC), San Francisco, CA, USA, 6–10 June 2021; p. Tu6B.4. [Google Scholar]
- Ryf, R.; Alvarado-Zacarias, J.C.; Wittek, S.; Fontaine, N.K.; Essiambre, R.J.; Chen, H.; Amezcua-Correa, R.; Sakuma, H.; Hayashi, T.; Hasegawa, T. Coupled-Core Transmission over 7-Core Fiber. In Proceedings of the 2019 Optical Fiber Communication Conference Postdeadline Papers, San Diego, CA, USA, 3–7 March 2019; p. Th4B.3. [Google Scholar]
- Sakamoto, T.; Mori, T.; Wada, M.; Yamamoto, T.; Yamamoto, F.; Nakajima, K. Strongly-coupled multi-core fiber and its optical characteristics for MIMO transmission systems. Opt. Fiber Technol. 2017, 35, 8–18. [Google Scholar] [CrossRef]
- Richardson, D.J.; Fini, J.M.; Nelson, L.E. Space-division multiplexing in optical fibres. Nat. Photonics 2013, 7, 354–362. [Google Scholar] [CrossRef]
- Shibahara, K.; Lee, D.; Kobayashi, T.; Mizuno, T.; Takara, H.; Sano, A.; Kawakami, H.; Miyamoto, Y.; Ono, H.; Oguma, M.; et al. Dense SDM (12-Core × 3-Mode) Transmission over 527 km with 33.2-ns Mode-Dispersion Employing Low-Complexity Parallel MIMO Frequency-Domain Equalization. J. Light. Technol. 2016, 34, 196–204. [Google Scholar] [CrossRef]
- Inan, B.; Spinnler, B.; Ferreira, F.; van den Borne, D.; Lobato, A.; Adhikari, S.; Sleiffer, V.A.J.M.; Kuschnerov, M.; Hanik, N.; Jansen, S.L. DSP complexity of mode-division multiplexed receivers. Opt. Express 2012, 20, 10859–10869. [Google Scholar] [CrossRef] [PubMed]
- Faruk, M.S.; Kikuchi, K. Adaptive frequency-domain equalization in digital coherent optical receivers. Opt. Express 2011, 19, 12789–12798. [Google Scholar] [CrossRef] [PubMed]
- Lavery, D.; Thomsen, B.C.; Bayvel, P.; Savory, S.J. Reduced Complexity Equalization for Coherent Long-Reach Passive Optical Networks. J. Opt. Commun. Netw. 2015, 7, A16–A27. [Google Scholar] [CrossRef]
- Pan, X.; Wang, X.; Tian, B.; Wang, C.; Zhang, H.; Guizani, M. Machine-Learning-Aided Optical Fiber Communication System. IEEE Netw. 2021, 35, 136–142. [Google Scholar] [CrossRef]
- Chen, G.; Du, J.; Sun, L.; Zheng, L.; Xu, K.; Tsang, H.K.; Chen, X.; Reed, G.T.; He, Z. Machine Learning Adaptive Receiver for PAM-4 Modulated Optical Interconnection Based on Silicon Microring Modulator. J. Light. Technol. 2018, 36, 4106–4113. [Google Scholar] [CrossRef]
- Sun, L.; Du, J.; Xu, K.; Liu, B.; He, Z. K-Means Assisted Soft Decision of PAM4 to Mitigate Level Nonlinearity and Level-Dependent Noise for VCSEL-Based 100-Gbps 100-m MMF Optical Interconnection. In Proceedings of the 2019 Optical Fiber Communications Conference and Exhibition (OFC), San Diego, CA, USA, 3–7 March 2019; p. M1F.5. [Google Scholar]
- Xiong, Y.; Yang, Y.; Ye, Y.; Rouskas, G.N. A machine learning approach to mitigating fragmentation and crosstalk in space division multiplexing elastic optical networks. Opt. Fiber Technol. 2019, 50, 99–107. [Google Scholar] [CrossRef]
- Eriksson, T.A.; Bülow, H.; Leven, A. Applying Neural Networks in Optical Communication Systems: Possible Pitfalls. IEEE Photonics Technol. Lett. 2017, 29, 2091–2094. [Google Scholar] [CrossRef]
- Xu, Z.; Sun, C.; Ji, T.; Ji, H.; Shieh, W. Transfer Learning Aided Neural Networks for Nonlinear Equalization in Short-Reach Direct Detection Systems. In Proceedings of the 2020 Optical Fiber Communications Conference and Exhibition (OFC), San Diego, CA, USA, 8–12 March 2020; p. T4D.4. [Google Scholar]
- Zhang, J.; Xia, L.; Zhu, M.; Hu, S.; Xu, B.; Qiu, K. Fast remodeling for nonlinear distortion mitigation based on transfer learning. Opt. Lett. 2019, 44, 4243–4246. [Google Scholar] [CrossRef]
- Ye, C.; Zhang, D.; Hu, X.; Huang, X.; Feng, H.; Zhang, K. Recurrent Neural Network (RNN) Based End-to-End Nonlinear Management for Symmetrical 50 Gbps NRZ PON with 29 dB+ Loss Budget. In Proceedings of the 2018 European Conference on Optical Communication (ECOC), Rome, Italy, 23–27 September 2018; pp. 1–3. [Google Scholar]
- Sun, L.; Du, J.; He, Z. Multiband Three-Dimensional Carrierless Amplitude Phase Modulation for Short Reach Optical Communications. J. Light. Technol. 2016, 34, 3103–3109. [Google Scholar] [CrossRef]
- Sun, L.; Zhang, J.; Zhou, G.; Chen, B.; Liu, G.N.; Cai, Y.; Li, Z.; Lu, C.; Shen, G. Theoretical investigations of weakly- and strongly-coupled multi-core fibers for the applications of optical submarine communications under power and fiber count limits. Opt. Express 2023, 31, 4615–4629. [Google Scholar] [CrossRef] [PubMed]
- Xiong, J.; Ma, L.; Shi, Y.; Bai, L.; He, Z. Low Loss Ultra-Small Core Pitch All-Fiber Fan-In/Fan-Out Device For Coupled-Core Multicore Fibers. IEEE Photonics J. 2022, 14, 7146805. [Google Scholar] [CrossRef]
- Van Uden, R.G.; Okonkwo, C.M.; Chen, H.; de Waardt, H.; Koonen, A.M. Time domain multiplexed spatial division multiplexing receiver. Opt. Express 2014, 22, 12668–12677. [Google Scholar] [CrossRef] [PubMed]








| Parameters | Values |
|---|---|
| Reference optical wavelength | 1550 nm |
| Symbol rate | 50 GBaud |
| Sampling rate | 200 GSa/s |
| Attenuation | 0.16 dB/km |
| Nonlinearity coefficient | 0.81 /m |
| Dispersion | 16 ps/nm/km |
| Polarization mode dispersion PMD | 0.1 s/ |
| Dispersion coefficient | 16 s/ |
| Dispersion slope | 0.08 s/ |
| Core 1 | Core 2 | Core 3 | Core 4 | |
|---|---|---|---|---|
| Core 1 | — | −9.68 | −14.05 | −9.97 |
| Core 2 | −7.88 | — | −11.58 | −15.30 |
| Core 3 | −22.63 | −13.31 | — | −10.47 |
| Core 4 | −10.49 | −15.32 | −7.12 | — |
| TL-DFNNE | |
| FTN signals at the cut-off frequency of 17.5 GHz | 83.3% acceleration for a convergence |
| FTN signals at the cut-off frequency of 20 GHz | 70.8% acceleration for a convergence |
| OrthogonalFiltering | |
| Compared to the 2 × 2 MIMO-DSP without IC-XT cancellation | 4.6 dB Q gain |
| Compared to the full-MIMO structure | 1.25 dB Q penalty |
Disclaimer/Publisher’s Note: The statements, opinions and data contained in all publications are solely those of the individual author(s) and contributor(s) and not of MDPI and/or the editor(s). MDPI and/or the editor(s) disclaim responsibility for any injury to people or property resulting from any ideas, methods, instructions or products referred to in the content. |
© 2024 by the authors. Licensee MDPI, Basel, Switzerland. This article is an open access article distributed under the terms and conditions of the Creative Commons Attribution (CC BY) license (https://creativecommons.org/licenses/by/4.0/).
Share and Cite
Hu, D.; Cai, J.; Sun, L.; Xiong, J.; Ma, L.; Chen, B.; Cai, Y.; Liu, G.N. Mitigating the Strong Inter-Core Crosstalk during MCF Transmissions by Neural-Network-Equalizer-Based MIMO-DSP and Approaches for Its Simplification. Photonics 2024, 11, 196. https://doi.org/10.3390/photonics11030196
Hu D, Cai J, Sun L, Xiong J, Ma L, Chen B, Cai Y, Liu GN. Mitigating the Strong Inter-Core Crosstalk during MCF Transmissions by Neural-Network-Equalizer-Based MIMO-DSP and Approaches for Its Simplification. Photonics. 2024; 11(3):196. https://doi.org/10.3390/photonics11030196
Chicago/Turabian StyleHu, Daohui, Jiaqi Cai, Lin Sun, Junjie Xiong, Lin Ma, Bin Chen, Yi Cai, and Gordon Ning Liu. 2024. "Mitigating the Strong Inter-Core Crosstalk during MCF Transmissions by Neural-Network-Equalizer-Based MIMO-DSP and Approaches for Its Simplification" Photonics 11, no. 3: 196. https://doi.org/10.3390/photonics11030196
APA StyleHu, D., Cai, J., Sun, L., Xiong, J., Ma, L., Chen, B., Cai, Y., & Liu, G. N. (2024). Mitigating the Strong Inter-Core Crosstalk during MCF Transmissions by Neural-Network-Equalizer-Based MIMO-DSP and Approaches for Its Simplification. Photonics, 11(3), 196. https://doi.org/10.3390/photonics11030196
