Bionic Compass Method Based on Atmospheric Polarization Optimization in Non-Ideal Clear Condition
Abstract
1. Introduction
2. Formation of the Skylight Polarization Field
3. Bionic Navigation Algorithm Based on Atmospheric Polarization Optimization
3.1. Optimization Model Based on the Atmospheric Polarization Energy Functional
3.2. Heading Angle Acquisition Algorithm
4. Experiment and Results
4.1. Polarized Light Compass System
4.2. Polarization Optimization Model Validation Experiment
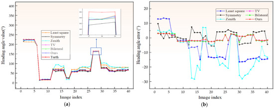
4.3. Outfield Validation Experiments of Heading Determination Algorithm
5. Conclusions
Author Contributions
Funding
Institutional Review Board Statement
Informed Consent Statement
Data Availability Statement
Acknowledgments
Conflicts of Interest
References
- Suhai, B.C.; Horváth, G. How well does the Rayleigh model describe the E-vector distribution of skylight in clear and cloudy conditions? A full-sky polarimetric study. J. Opt. Soc. Am. A 2004, 21, 1669–1676. [Google Scholar] [CrossRef] [PubMed]
- Zhou, Y.C.; Ye, C.; Lin, Z.H.; Zhan, C.L.; Gao, H. Self-Adaptive Image Segmentation Algorithm for Polarization Navigation under Complex Scenes. Acta Opt. Sin. 2024, 44, 150–160. [Google Scholar]
- Wang, D.; Liang, H.; Zhu, H.; Zhang, S. A bionic camera-based polarization navigation sensor. Sensors 2014, 14, 13006–13023. [Google Scholar] [CrossRef] [PubMed]
- Lambrinos, D.; Möller, R.; Labhart, T.; Pfeifer, R.; Wehner, R. A mobile robot employing insect strategies for navigation. Robot. Auton. Syst. 2000, 30, 39–64. [Google Scholar] [CrossRef]
- Liang, H.; Bai, H.; Hu, K.; Lv, X. Bioinspired polarized skylight orientation determination artificial neural network. J. Bionic Eng. 2023, 20, 1141–1152. [Google Scholar] [CrossRef]
- Wang, Y.; Yang, J.; Tang, J.; Liu, J.; Sheng, C.; Qin, L. Heading angle detection system based on atmospheric polarized light. J. Ordnance Equip. Eng. 2019, 40, 127–131. [Google Scholar]
- Wang, C.; Zhang, N.; Li, D.; Yang, J.; Wang, F.; Ren, J.; Tang, J.; Liu, J.; Xue, C. Calculation of heading angle using all-sky atmosphere polarization. Opto-Electron. Eng. 2015, 42, 60–66. [Google Scholar]
- Aycock, T.; Lompado, A.; Wolz, T.; Chenault, D. Passive optical sensing of atmospheric polarization for GPS denied operations. Proc. SPIE 2016, 9838, 98380Y. [Google Scholar]
- Wang, X.; Gao, J.; Fan, Z. Empirical corroboration of an earlier theoretical resolution to the UV paradox of insect polarized skylight orientation. Naturwissenschaften 2014, 101, 95–103. [Google Scholar] [CrossRef]
- Aycock, T.M.; Lompado, A.; Wheeler, B.M. Using atmospheric polarization patterns for azimuth sensing. Proc. SPIE 2014, 9085, 90850B. [Google Scholar]
- Dupeyroux, J.; Viollet, S.; Serres, J.R. Polarized skylight based heading measurements: A bio-inspired approach. J. R. Soc. Interface 2019, 16, 20180878. [Google Scholar] [CrossRef] [PubMed]
- Dupeyroux, J.; Viollet, S.; Serres, J.R. An ant-inspired celestial compass applied to autonomous outdoor robot navigation. Robot. Auton. Syst. 2019, 117, 40–56. [Google Scholar] [CrossRef]
- Ma, T.; Hu, X.; Zhang, L.; Lian, J.; He, X.; Wang, Y.; Xian, Z. An evaluation of skylight polarization patterns for navigation. Sensors 2015, 15, 25746–25760. [Google Scholar] [CrossRef]
- Liang, H.; Bai, H.; Sun, R.; Sun, R.; Guo, H. Polarization orientation determination algorithm based on the extremum of moment of inertia. In Proceedings of the Chinese Control Conference, Wuhan, China, 25–27 July 2018; pp. 4928–4932. [Google Scholar]
- Zhao, H.; Xu, W.; Zhang, Y.; Li, X.; Zhang, H.; Xuan, J.; Jia, B. Polarization patterns under different sky conditions and a navigation method based on the symmetry of the AOP map of skylight. Opt. Express 2018, 22, 28589–28603. [Google Scholar] [CrossRef]
- Jiang, R.; Wang, X.; Zuo, Y. Research on bionic navigation based on local atmospheric polarization. Acta Aeronaut. Astronaut. Sin. 2020, 41, 152–160. [Google Scholar]
- Li, Y.; Wang, X.; Pan, Y.; Li, L.; Chen, J. Ultraviolet-visible light compass method based on local atmospheric polarization characteristics in adverse weather conditions. Appl. Opt. 2022, 61, 6853–6860. [Google Scholar] [CrossRef]
- Li, Y.; Wang, X.; Zhang, M.; Xu, C. Ultraviolet bionic compass method based on non-ideality correction and statistical guidance in twilight conditions. Opt. Express 2024, 32, 22132–22152. [Google Scholar] [CrossRef]
- Tang, J.; Zhang, N.; Li, D.; Wang, F.; Zhang, B.; Wang, C.; Shen, C.; Ren, J.; Xue, C.; Liu, J. Novel robust skylight compass method based on full-sky polarization imaging under harsh conditions. Opt. Express 2016, 24, 15834–15844. [Google Scholar] [CrossRef]
- Wu, X.D.; Zhao, D.H.; Yu, H.; Jin, T.; Liu, Y.X.; Shen, C. Bionic Polarization Orientation Method Under Severe Weather. J. Navig. Position. Timing. 2022, 9, 104–111. [Google Scholar]
- Li, Q.; Hu, Y.; Hao, Q.; Cao, J.; Cheng, Y.; Dong, L.; Huang, X. Skylight polarization patterns under urban obscurations and a navigation method adapted to urban environments. Opt. Express 2021, 29, 42090–42105. [Google Scholar] [CrossRef]
- Zhang, R.; Cai, H.; Guan, L.; Wan, Z.-H.; Chen, Y.-T.; Fan, Y.-Y.; Chu, J.-K. Polarization orientation method for cloudy sky. Opt. Precis. Eng. 2021, 29, 1499–1510. [Google Scholar] [CrossRef]
- Pu, X.; Wang, X.; Gao, X.; Wei, C.; Gao, J. Sky Polarization Pattern Reconstruction and Neutral Line Detection Based on Adversarial Learning. IEEE Trans. Instrum. Meas. 2023, 72, 1–13. [Google Scholar] [CrossRef]
- Li, X.; Zhang, R.; Lu, S.F.; Lin, M.; Chu, J. Ultraviolet Polarization Employing Mie Scattering Monte-Carlo Method for Cloud-Based Navigation. Laser Optoelectron. Prog. 2021, 58, 1701001. [Google Scholar]
- Wu, X.D. Study on Orientation of Atmospheric Polarized Light in Complex Weather; North University of China: Taiyuan, China, 2022. [Google Scholar]
- Rudin, L.; Osher, S.; Fatemi, E. Nonlinear total variation based noise removal algorithms. Physica D 1992, 60, 259–268. [Google Scholar] [CrossRef]
- Wang, J.; Chen, R.; Ma, X.Q.; Wu, B.Y. Unsupervised seismic data random noise suppression method based on weighted total variation regularization and ADMM solution. Oil Geophys. Prospect. 2023, 58, 769–779. [Google Scholar]
- Grippo, L.; Sciandrone, M. Globally convergent block-coordinate techniques for unconstrained optimization. Optim. Methods Softw. 1999, 10, 587–637. [Google Scholar] [CrossRef]
- Beck, A.; Tetruashvili, L.; Vaisbourd, Y.; Shemtov, A. Rate of convergence analysis of dual-based variables decomposition methods for strongly convex problems. Oper. Res. Lett. 2016, 44, 61–66. [Google Scholar] [CrossRef]
- Zhang, N.; Chu, J.; Zhao, K.; Meng, F. The design of the subwavelength wire-grid polarizers based on rigorous couple-wave theory. Chin. J. Sens. Actuators 2006, 19, 1739–1743. [Google Scholar]
- Liang, H.; Bai, H.; Liu, N.; Sui, X. Polarized skylight compass based on a soft-margin support vector machine working in cloudy conditions. Appl. Opt. 2020, 59, 1271–1279. [Google Scholar] [CrossRef]
- Lu, H.; Zhao, K.; Wang, X.; You, Z.; Huang, K. Real-time imaging algorithm orientation determination system to verify imaging polarization navigation. Sensors 2016, 16, 562. [Google Scholar] [CrossRef]
- Zhang, Z.Y. A flexible new technique for camera calibration. IEEE Trans. Pattern Anal. Mach. Intell. 2000, 22, 1330–1334. [Google Scholar] [CrossRef]
- Xu, Z.Y. Polarization Image Preprocessing and Objective Evaluation Method of Fused Image; Beijing Institute of Technology: Beijing, China, 2019. [Google Scholar]
- Tomasi, C.; Manduchi, R. Bilateral filtering for gray and color images. In Proceedings of the 6th International Conference on Computer Vision, Bombay, India, 7 January 1998; pp. 839–846. [Google Scholar]
- Hao, J.; Du, Y.; Wang, S.; Ren, W. Infrared image enhancement algorithm based on wavelet transform and improved bilateral filtering. Infrared Technol. 2024, 46, 1051–1059. [Google Scholar]


















| Experimental Instrument | Model and Manufacturer | Main Parameters |
|---|---|---|
| Division of focal-plane polarization camera | Lucid, PHX050S-P, Richmond, BC, Canada | Sony CMOS: IMX250MZR Resolution: 2048 × 2448 |
| Industrial lens | Hikvision, MVL-HF2528M-6MP, Hangzhou, China | Focal length: 25 mm FOV: 32.6° × 21.8° |
| Power supply | Boltpower, Shenzhen, China | 220 V, 300 W, 118,000 mAh |
| High-precision turntable | Honc, WFDT-360X, Shanghai, China | Accuracy: 0.005° |
| RMSE (°) | SSIM | |
|---|---|---|
| Before optimization | 6.3944 | 0.7638 |
| After optimization | 3.6120 | 0.9686 |
| RMSE (°) | MAX (°) | Variance | |
|---|---|---|---|
| Symmetry analysis | 1.2173 | −2.7652 | 1.5035 |
| Zenith | 1.3370 | 3.8972 | 1.2439 |
| Least square | 1.2248 | −3.1656 | 1.5302 |
| TV | 0.584 | −1.6485 | 0.34802 |
| Bilateral | 0.5912 | −1.4955 | 0.3557 |
| Ours | 0.5594 | 1.661 | 0.3098 |
| RMSE (°) | MAX (°) | Variance | |
|---|---|---|---|
| Symmetry analysis | 0.9188 | 2.8096 | 0.8144 |
| Zenith | 0.7190 | 3.0191 | 0.3880 |
| Least square | 0.5998 | 2.0333 | 0.2577 |
| TV | 0.5156 | 1.605 | 0.1847 |
| Bilateral | 0.5313 | 1.5625 | 0.2028 |
| Ours | 0.5068 | 1.5188 | 0.1836 |
| RMSE (°) | MAX (°) | Variance | |
|---|---|---|---|
| Symmetry analysis | 4.0574 | 9.7940 | 15.4117 |
| Zenith | 14.8117 | −28.3773 | 137.5910 |
| Least square | 11.2382 | −16.5130 | 93.2443 |
| TV | 2.2245 | 3.2026 | 5.0226 |
| Bilateral | 2.3428 | 3.2160 | 5.5256 |
| Ours | 2.0664 | 3.1429 | 4.3537 |
Disclaimer/Publisher’s Note: The statements, opinions and data contained in all publications are solely those of the individual author(s) and contributor(s) and not of MDPI and/or the editor(s). MDPI and/or the editor(s) disclaim responsibility for any injury to people or property resulting from any ideas, methods, instructions or products referred to in the content. |
© 2024 by the authors. Licensee MDPI, Basel, Switzerland. This article is an open access article distributed under the terms and conditions of the Creative Commons Attribution (CC BY) license (https://creativecommons.org/licenses/by/4.0/).
Share and Cite
Li, Y.; Wang, X.; Zhang, M.; Li, R.; Sun, Q. Bionic Compass Method Based on Atmospheric Polarization Optimization in Non-Ideal Clear Condition. Photonics 2024, 11, 1099. https://doi.org/10.3390/photonics11121099
Li Y, Wang X, Zhang M, Li R, Sun Q. Bionic Compass Method Based on Atmospheric Polarization Optimization in Non-Ideal Clear Condition. Photonics. 2024; 11(12):1099. https://doi.org/10.3390/photonics11121099
Chicago/Turabian StyleLi, Yuyang, Xia Wang, Min Zhang, Ruiqiang Li, and Qiyang Sun. 2024. "Bionic Compass Method Based on Atmospheric Polarization Optimization in Non-Ideal Clear Condition" Photonics 11, no. 12: 1099. https://doi.org/10.3390/photonics11121099
APA StyleLi, Y., Wang, X., Zhang, M., Li, R., & Sun, Q. (2024). Bionic Compass Method Based on Atmospheric Polarization Optimization in Non-Ideal Clear Condition. Photonics, 11(12), 1099. https://doi.org/10.3390/photonics11121099

