Recent Advances in Organic Photodetectors
Abstract
1. Introduction
2. Performance Parameters of Photodetectors
3. Narrowband Organic Photodetectors
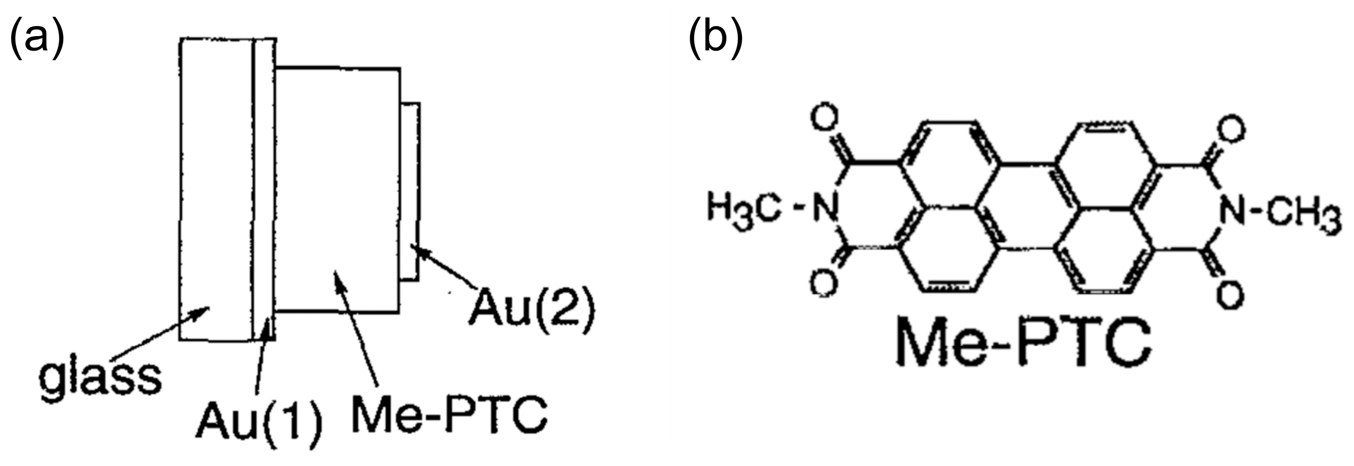
3.1. Innovations in Materials and Structures

3.2. Applications
4. Hybrid Organic–Inorganic Perovskite Photodetectors
4.1. Perovskite Structures
4.2. Perovskite Heterostructures
5. Flexible and Wearable Organic Photodetectors
5.1. Flexible Materials
5.1.1. Substrate
5.1.2. Transparent Conductive Electrode

5.1.3. Active Layer
5.1.4. Encapsulation Layer
5.2. Application
5.2.1. Health Monitoring
5.2.2. Optical Communication
5.2.3. Image Sensors
6. Photomultiplication Type Organic Photodetectors
6.1. Photomultiplication Phenomenon and Preliminary Applications
6.2. Photomultiplication Type Broadband and Narrowband OPDs
6.3. Performance Improvement

7. Challenges and Perspectives
Author Contributions
Funding
Institutional Review Board Statement
Informed Consent Statement
Data Availability Statement
Conflicts of Interest
References
- Kudo, K.; Moriizumi, T. Spectrum-controllable color sensors using organic dyes. Appl. Phys. Lett. 1981, 39, 609–611. [Google Scholar] [CrossRef]
- Zhou, Y.; Qiu, X.; Wan, Z.; Long, Z.; Poddar, S.; Zhang, Q.; Ding, Y.; Chan, C.; Zhang, D.; Zhou, K.; et al. Halide-exchanged perovskite photodetectors for wearable visible-blind ultraviolet monitoring. Nano Energy 2022, 100, 107516. [Google Scholar] [CrossRef]
- Wu, Q.; Wang, C.; Li, L.; Zhang, X.; Jiang, Y.; Cai, Z.; Lin, L.; Ni, Z.; Gu, X.; Ostrikov, K.K. Fast and broadband MoS2 photodetectors by coupling WO3–x semi-metal nanoparticles underneath. J. Mater. Sci. Technol. 2024, 193, 217–225. [Google Scholar] [CrossRef]
- Luo, M.; Chen, R.; Zhu, Z.; Cheng, C.; Ning, X.; Huang, B. A broadband photodetector based on PbS quantum dots and graphene with high responsivity and detectivity. Nanomaterials 2023, 13, 1996. [Google Scholar] [CrossRef] [PubMed]
- Ma, Y.; Deng, Z.; Liang, H.; Guan, X.; Zheng, Z.; Yao, J.; Yang, G. Wafer-Scale Fabrication of Broadband Sb2Se3 Photodetectors and their Multifunctional Optoelectronic Applications. Laser Photonics Rev. 2024, 2400669. [Google Scholar] [CrossRef]
- Xia, Y.; Aguirre, L.E.; Xu, X.; Inganäs, O. All-polymer high-performance photodetector through lamination. Adv. Electron. Mater. 2020, 6, 1901017. [Google Scholar] [CrossRef]
- Chow, P.; Someya, T. Organic photodetectors for next-generation wearable electronics. Adv. Mater. 2020, 32, 1902045. [Google Scholar] [CrossRef]
- Armin, A.; Jansen-van Vuuren, R.D.; Kopidakis, N.; Burn, P.L.; Meredith, P. Narrowband light detection via internal quantum efficiency manipulation of organic photodiodes. Nat. Commun. 2015, 6, 6343. [Google Scholar] [CrossRef]
- Wang, W.; Zhang, F.; Du, M.; Li, L.; Zhang, M.; Wang, K.; Wang, Y.; Hu, B.; Fang, Y.; Huang, J. Highly narrowband photomultiplication type organic photodetectors. Nano Lett. 2017, 17, 1995–2002. [Google Scholar] [CrossRef]
- Li, W.; Guo, H.; Wang, Z.; Dong, G. Narrowband organic photodiodes based on green light sensitive squarylium. J. Phys. Chem. C 2017, 121, 15333–15338. [Google Scholar] [CrossRef]
- Tian, W.; Zhou, H.; Li, L. Hybrid organic–inorganic perovskite photodetectors. Small 2017, 13, 1702107. [Google Scholar] [CrossRef] [PubMed]
- Dong, Y.; Zou, Y.; Song, J.; Song, X.; Zeng, H. Recent progress of metal halide perovskite photodetectors. J. Mater. Chem. C 2017, 5, 11369–11394. [Google Scholar] [CrossRef]
- Dasgupta, N.P.; Sun, J.; Liu, C.; Brittman, S.; Andrews, S.C.; Lim, J.; Gao, H.; Yan, R.; Yang, P. 25th anniversary article: Semiconductor nanowires-synthesis, characterization, and applications. Adv. Mater. 2014, 26, 2137–2184. [Google Scholar] [CrossRef] [PubMed]
- Chen, W.; Chen, H.; Xu, G.; Xue, R.; Wang, S.; Li, Y.; Li, Y. Precise control of crystal growth for highly efficient CsPbI2Br perovskite solar cells. Joule 2019, 3, 191–204. [Google Scholar] [CrossRef]
- Cai, S.; Xu, X.; Yang, W.; Chen, J.; Fang, X. Materials and designs for wearable photodetectors. Adv. Mater. 2019, 31, 1808138. [Google Scholar] [CrossRef]
- Huang, S.; Liu, Y.; Zhao, Y.; Ren, Z.; Guo, C.F. Flexible electronics: Stretchable electrodes and their future. Adv. Funct. Mater. 2019, 29, 1805924. [Google Scholar] [CrossRef]
- Yan, T.; Li, Z.; Cao, F.; Chen, J.; Wu, L.; Fang, X. An all-organic self-powered photodetector with ultraflexible dual-polarity output for biosignal detection. Adv. Mater. 2022, 34, 2201303. [Google Scholar] [CrossRef]
- Dong, Z.; Li, W.; Wang, H.; Jiang, X.; Liu, H.; Zhu, L.; Chen, H. Carbon nanotubes in perovskite-based optoelectronic devices. Matter 2022, 5, 448–481. [Google Scholar] [CrossRef]
- Zhang, S.; Zhang, T.; Liu, Z.; Wang, J.; Xu, J.; Chen, K.; Yu, L. Flexible and robust 3D a-SiGe radial junction near-infrared photodetectors for rapid sphygmic signal monitoring. Adv. Funct. Mater. 2022, 32, 2107040. [Google Scholar] [CrossRef]
- Lian, Y.; Han, J.; Yang, M.; Peng, S.; Zhang, C.; Han, C.; Zhang, X.; Liu, X.; Zhou, H.; Wang, Y. Tunable Bi-directional Photoresponse in Hybrid PtSe2-x Thin Films Based on Precisely Controllable Selenization Engineering. Adv. Funct. Mater. 2022, 32, 2205709. [Google Scholar] [CrossRef]
- Sangwan, V.K.; Hersam, M.C. Electronic transport in two-dimensional materials. Annu. Rev. Phys. Chem. 2018, 69, 299–325. [Google Scholar] [CrossRef] [PubMed]
- Pei, Z.; Zhu, M.; Huang, Y.; Huang, Y.; Xue, Q.; Geng, H.; Zhi, C. Dramatically improved energy conversion and storage efficiencies by simultaneously enhancing charge transfer and creating active sites in MnOx/TiO2 nanotube composite electrodes. Nano Energy 2016, 20, 254–263. [Google Scholar] [CrossRef]
- Zhou, A.F.; Velázquez, R.; Wang, X.; Feng, P.X. Nanoplasmonic 1D diamond UV photodetectors with high performance. ACS Appl. Mater. Interfaces 2019, 11, 38068–38074. [Google Scholar] [CrossRef]
- Xing, S.; Wang, X.; Guo, E.; Kleemann, H.; Leo, K. Organic thin-film red-light photodiodes with tunable spectral response via selective exciton activation. ACS Appl. Mater. Interfaces 2020, 12, 13061–13067. [Google Scholar] [CrossRef] [PubMed]
- Liu, C.-K.; Tai, Q.; Wang, N.; Tang, G.; Hu, Z.; Yan, F. Lead-free perovskite/organic semiconductor vertical heterojunction for highly sensitive photodetectors. ACS Appl. Mater. Interfaces 2020, 12, 18769–18776. [Google Scholar] [CrossRef]
- Shi, L.; Song, J.; Zhang, Y.; Li, G.; Wang, W.; Hao, Y.; Wu, Y.; Cui, Y. High performance flexible organic photomultiplication photodetector based on an ultra-thin silver film transparent electrode. Nanotechnology 2020, 31, 314001. [Google Scholar] [CrossRef]
- Lee, Y.; Chung, J.W.; Lee, G.H.; Kang, H.; Kim, J.-Y.; Bae, C.; Yoo, H.; Jeong, S.; Cho, H.; Kang, S.-G. Standalone real-time health monitoring patch based on a stretchable organic optoelectronic system. Sci. Adv. 2021, 7, eabg9180. [Google Scholar] [CrossRef]
- Wei, Y.; Ren, Z.; Zhang, A.; Mao, P.; Li, H.; Zhong, X.; Li, W.; Yang, S.; Wang, J. Hybrid organic/PbS quantum dot bilayer photodetector with low dark current and high detectivity. Adv. Funct. Mater. 2018, 28, 1706690. [Google Scholar] [CrossRef]
- Yin, B.; Zhou, X.; Li, Y.; Hu, G.; Wei, W.; Yang, M.; Jeong, S.; Deng, W.; Wu, B.; Cao, Y. Sensitive Organic Photodetectors With Spectral Response up to 1.3 µm Using a Quinoidal Molecular Semiconductor. Adv. Mater. 2024, 36, 2310811. [Google Scholar] [CrossRef]
- Luc, N.-Q.; Dang, V.-S.; Nguyen, H.-H.; Mai, A.-T. Micro-rod single-crystalline phthalocyanine for photodetector development. Mater. Sci. Semicond. Process. 2021, 125, 105638. [Google Scholar] [CrossRef]
- Tong, L.; Huang, X.; Wang, P.; Ye, L.; Peng, M.; An, L.; Sun, Q.; Zhang, Y.; Yang, G.; Li, Z. Stable mid-infrared polarization imaging based on quasi-2D tellurium at room temperature. Nat. Commun. 2020, 11, 2308. [Google Scholar] [CrossRef] [PubMed]
- Wang, T.; Zhao, K.; Wang, P.; Shen, W.; Gao, H.; Qin, Z.; Wang, Y.; Li, C.; Deng, H.; Hu, C. Intrinsic linear dichroism of organic single crystals toward high-performance polarization-sensitive photodetectors. Adv. Mater. 2022, 34, 2105665. [Google Scholar] [CrossRef] [PubMed]
- Zhang, Y.; Qin, Z.; Gao, H.; Wang, T.; Gao, C.; Zhang, X.; Hu, W.; Dong, H. Highly-Polarized Solar-Blind Ultraviolet Organic Photodetectors. Adv. Mater. 2024, 36, 2404309. [Google Scholar] [CrossRef] [PubMed]
- Lim, Y.; Yun, S.; Minami, D.; Choi, T.; Choi, H.; Shin, J.; Heo, C.-J.; Leem, D.-S.; Yagi, T.; Park, K.-B. Green-light-selective organic photodiodes with high detectivity for CMOS color image sensors. ACS Appl. Mater. Interfaces 2020, 12, 51688–51698. [Google Scholar] [CrossRef]
- Zhang, T.; Winkler, L.C.; Wolansky, J.; Schröder, J.; Leo, K.; Benduhn, J. High-Performance Filterless Blue Narrowband Organic Photodetectors. Adv. Funct. Mater. 2024, 34, 2308719. [Google Scholar] [CrossRef]
- Yokota, T.; Zalar, P.; Kaltenbrunner, M.; Jinno, H.; Matsuhisa, N.; Kitanosako, H.; Tachibana, Y.; Yukita, W.; Koizumi, M.; Someya, T. Ultraflexible organic photonic skin. Sci. Adv. 2016, 2, e1501856. [Google Scholar] [CrossRef]
- Kabir, S.; Takayashiki, Y.; Hanna, J.-I.; Iino, H. Near-infrared photodetectors based on a liquid crystalline organic semiconductor for photoplethysmography applications. In Proceedings of the 2022 IEEE Sensors, Dallas, TX, USA, 30 October–2 November 2022; pp. 1–4. [Google Scholar] [CrossRef]
- Wang, Y.; Zou, X.; Zhu, J.; Zhang, C.; Cheng, J.; Wang, J.; Wang, X.; Li, X.; Song, K.; Ren, B. Photodetector without Electron Transport Layer Based on Hexane-1,6-Diammonium Pentaiodobismuth (HDA-BiI5) Molecular Semiconductor. Coatings 2021, 11, 1099. [Google Scholar] [CrossRef]
- Yokota, T.; Nakamura, T.; Kato, H.; Mochizuki, M.; Tada, M.; Uchida, M.; Lee, S.; Koizumi, M.; Yukita, W.; Takimoto, A. A conformable imager for biometric authentication and vital sign measurement. Nat. Electron. 2020, 3, 113–121. [Google Scholar] [CrossRef]
- Kim, H.-J.; Kim, B.; Yun, S.; Yun, D.-J.; Choi, T.; Lee, S.; Minami, D.; Heo, C.-J.; Lim, J.; Shibuya, H. Dual Chalcogen-Bonding Interaction for High-Performance Filterless Narrowband Organic Photodetectors. Small 2024, 20, 2309634. [Google Scholar] [CrossRef]
- Wang, Q.; Zhang, G.; Zhang, H.; Duan, Y.; Yin, Z.; Huang, Y. High-resolution, flexible, and full-color perovskite image photodetector via electrohydrodynamic printing of ionic-liquid-based ink. Adv. Funct. Mater. 2021, 31, 2100857. [Google Scholar] [CrossRef]
- Pecunia, V. Efficiency and spectral performance of narrowband organic and perovskite photodetectors: A cross-sectional review. J. Phys.: Mater. 2019, 2, 042001. [Google Scholar] [CrossRef]
- Chen, Y.; He, M.; Peng, J.; Sun, Y.; Liang, Z. Structure and growth control of organic–inorganic halide perovskites for optoelectronics: From polycrystalline films to single crystals. Adv. Sci. 2016, 3, 1500392. [Google Scholar] [CrossRef] [PubMed]
- Zhao, Y.; Zhu, K. Solution chemistry engineering toward high-efficiency perovskite solar cells. J. Phys. Chem. Lett. 2014, 5, 4175–4186. [Google Scholar] [CrossRef] [PubMed]
- Dou, L.; Yang, Y.; You, J.; Hong, Z.; Chang, W.-H.; Li, G.; Yang, Y. Solution-processed hybrid perovskite photodetectors with high detectivity. Nat. Commun. 2014, 5, 5404. [Google Scholar] [CrossRef] [PubMed]
- Li, F.; Ma, C.; Wang, H.; Hu, W.; Yu, W.; Sheikh, A.D.; Wu, T. Ambipolar solution-processed hybrid perovskite phototransistors. Nat. Commun. 2015, 6, 8238. [Google Scholar] [CrossRef] [PubMed]
- Leung, S.-F.; Ho, K.-T.; Kung, P.-K.; Hsiao, V.K.S.; Alshareef, H.N.; Wang, Z.L.; He, J.-H. A self-powered and flexible organometallic halide perovskite photodetector with very high detectivity. Adv. Mater. 2018, 30, 1704611. [Google Scholar] [CrossRef]
- Gu, Z.; Wang, Y.; Wang, S.; Zhang, T.; Zhao, R.; Hu, X.; Huang, Z.; Su, M.; Xu, Q.; Li, L. Controllable printing of large-scale compact perovskite films for flexible photodetectors. Nano Res. 2022, 15, 1547–1553. [Google Scholar] [CrossRef]
- Han, Q.; Bae, S.-H.; Sun, P.; Hsieh, Y.-T.; Yang, Y.; Rim, Y.S.; Zhao, H.; Chen, Q.; Shi, W.; Li, G. Single crystal formamidinium lead iodide (FAPbI3): Insight into the structural, optical, and electrical properties. Adv. Mater. 2016, 28, 2253–2258. [Google Scholar] [CrossRef]
- Wei, H.; Fang, Y.; Mulligan, P.; Chuirazzi, W.; Fang, H.-H.; Wang, C.; Ecker, B.R.; Gao, Y.; Loi, M.A.; Cao, L. Sensitive X-ray detectors made of methylammonium lead tribromide perovskite single crystals. Nat. Photonics 2016, 10, 333–339. [Google Scholar] [CrossRef]
- Gao, L.; Zeng, K.; Guo, J.; Ge, C.; Du, J.; Zhao, Y.; Chen, C.; Deng, H.; He, Y.; Song, H. Passivated single-crystalline CH3NH3PbI3 nanowire photodetector with high detectivity and polarization sensitivity. Nano Lett. 2016, 16, 7446–7454. [Google Scholar] [CrossRef]
- Yin, W.-J.; Shi, T.; Yan, Y. Unique properties of halide perovskites as possible origins of the superior solar cell performance. Adv. Mater. 2014, 26, 4653–4658. [Google Scholar] [CrossRef] [PubMed]
- Wang, M.; Sun, H.; Cao, F.; Tian, W.; Li, L. Moisture-triggered self-healing flexible perovskite photodetectors with excellent mechanical stability. Adv. Mater. 2021, 33, 2100625. [Google Scholar] [CrossRef] [PubMed]
- Luo, X.; Zhao, F.; Du, L.; Lv, W.; Xu, K.; Peng, Y.; Wang, Y.; Lu, F. Ultrasensitive flexible broadband photodetectors achieving pA scale dark current. npj Flex. Electron. 2017, 1, 6. [Google Scholar] [CrossRef][Green Version]
- Lin, Q.; Armin, A.; Lyons, D.M.; Burn, P.L.; Meredith, P. Low noise, IR-blind organohalide perovskite photodiodes for visible light detection and imaging. Adv. Mater. 2015, 27, 2060–2064. [Google Scholar] [CrossRef] [PubMed]
- Wu, G.; Fu, R.; Chen, J.; Yang, W.; Ren, J.; Guo, X.; Ni, Z.; Pi, X.; Li, C.-Z.; Li, H. Perovskite/Organic Bulk-Heterojunction Integrated Ultrasensitive Broadband Photodetectors with High Near-Infrared External Quantum Efficiency over 70%. Small 2018, 14, 1802349. [Google Scholar] [CrossRef]
- Zhao, Q.; Wang, H.; Jiang, L.; Zhen, Y.; Dong, H.; Hu, W. Solution-processed flexible organic ferroelectric phototransistor. ACS Appl. Mater. Interfaces 2017, 9, 43880–43885. [Google Scholar] [CrossRef]
- Zhong, J.; Wu, X.; Lan, S.; Fang, Y.; Chen, H.; Guo, T. High performance flexible organic phototransistors with ultrashort channel length. ACS Photonics 2018, 5, 3712–3722. [Google Scholar] [CrossRef]
- Lipomi, D.J.; Tee, B.C.-K.; Vosgueritchian, M.; Bao, Z. Stretchable organic solar cells. Adv. Mater. 2011, 15, 1771–1775. [Google Scholar] [CrossRef]
- Munzenrieder, N.; Zysset, C.; Kinkeldei, T.; Troster, G. Design rules for IGZO logic gates on plastic foil enabling operation at bending radii of 3.5 mm. IEEE Trans. Electron Devices 2012, 59, 2153–2159. [Google Scholar] [CrossRef]
- Hu, W.; Huang, W.; Yang, S.; Wang, X.; Jiang, Z.; Zhu, X.; Zhou, H.; Liu, H.; Zhang, Q.; Zhuang, X. High-Performance Flexible Photodetectors Based on High-Quality Perovskite Thin Films by a Vapor–Solution Method. Adv. Mater. 2017, 29, 1703256. [Google Scholar] [CrossRef]
- Kim, R.H.; Leem, J.; Muratore, C.; Nam, S.; Rao, R.; Jawaid, A.; Durstock, M.; McConney, M.; Drummy, L.; Rai, R. Photonic crystallization of two-dimensional MoS 2 for stretchable photodetectors. Nanoscale 2019, 11, 13260–13268. [Google Scholar] [CrossRef] [PubMed]
- Jiang, D.-H.; Liao, Y.-C.; Cho, C.-J.; Veeramuthu, L.; Liang, F.-C.; Wang, T.-C.; Chueh, C.-C.; Satoh, T.; Tung, S.-H.; Kuo, C.-C. Facile Fabrication of Stretchable Touch-Responsive Perovskite Light-Emitting Diodes Using Robust Stretchable Composite Electrodes. ACS Appl. Mater. Interfaces 2020, 12, 14408–14415. [Google Scholar] [CrossRef] [PubMed]
- Jinno, H.; Yokota, T.; Koizumi, M.; Yukita, W.; Saito, M.; Osaka, I.; Fukuda, K.; Someya, T. Self-Powered Ultraflexible Photonic Skin for Continuous Bio-Signal Detection via Air-Operation-Stable Polymer Light-Emitting Diodes. Nat. Commun. 2021, 12, 2234. [Google Scholar] [CrossRef] [PubMed]
- Yang, G.; Li, J.; Wu, M.; Yu, X.; Yu, J. Recent advances in materials, structures, and applications of flexible photodetectors. Adv. Electron. Mater. 2023, 9, 2300340. [Google Scholar] [CrossRef]
- He, W.; Ye, C. Flexible transparent conductive films on the basis of Ag nanowires: Design and applications: A review. J. Mater. Sci. Technol. 2015, 31, 581–588. [Google Scholar] [CrossRef]
- Wu, X.; Zhou, Z.; Wang, Y.; Li, J. Syntheses of silver nanowires ink and printable flexible transparent conductive film: A review. Coatings 2020, 10, 865. [Google Scholar] [CrossRef]
- Liu, Z.; Parvez, K.; Li, R.; Dong, R.; Feng, X.; Müllen, K. Transparent conductive electrodes from graphene/PEDOT:PSS hybrid inks for ultrathin organic photodetectors. Adv. Mater. 2014, 27, 669–675. [Google Scholar] [CrossRef]
- Jang, W.; Kim, B.G.; Seo, S.; Shawky, A.; Kim, M.S.; Kim, K.; Mikladal, B.; Kauppinen, E.I.; Maruyama, S.; Jeon, I. Strong dark current suppression in flexible organic photodetectors by carbon nanotube transparent electrodes. Nano Today 2021, 37, 101081. [Google Scholar] [CrossRef]
- Huang, J.; Wang, X.; Kim, Y.; Demello, A.J.; Bradley, D.D.C.; Demello, J.C. High efficiency flexible ITO-free polymer/fullerene photodiodes. Phys. Chem. Chem. Phys. 2006, 8, 3904–3908. [Google Scholar] [CrossRef]
- Fischer, R.; Gregori, A.; Sahakalkan, S.; Hartmann, D.; Büchele, P.; Tedde, S.F.; Schmidt, O. Stable and highly conductive carbon nanotube enhanced PEDOT: PSS as transparent electrode for flexible electronics. Org. Electron. 2018, 62, 351–356. [Google Scholar] [CrossRef]
- Wang, Y.; Zhang, T.; Samigullina, D.; Winkler, L.C.; Dollinger, F.; Kublitski, J.; Jia, X.; Ji, R.; Reineke, S.; Spoltore, D. Semitransparent Near-Infrared Organic Photodetectors: Flexible, Large-Area, and Physical-Vapor-Deposited for Versatile Advanced Optical Applications. Adv. Funct. Mater. 2024, 34, 2313689. [Google Scholar] [CrossRef]
- Li, Z.; Qin, F.; Liu, T.; Ge, R.; Meng, W.; Tong, J.; Xiong, S.; Zhou, Y. Optical properties and conductivity of PEDOT: PSS films treated by polyethylenimine solution for organic solar cells. Org. Electron. 2015, 21, 144–148. [Google Scholar] [CrossRef]
- Xu, X.; Sun, L.; Shen, K.; Zhang, S. Organic and hybrid organic-inorganic flexible optoelectronics: Recent advances and perspectives. Synth. Met. 2019, 256, 116137. [Google Scholar] [CrossRef]
- Huang, H.; Jiang, L.; Peng, J.; Qi, Y.; Bai, S.; Lin, Q. High-performance organic phototransistors based on D18, a high-mobility and unipolar polymer. Chem. Mater. 2021, 33, 8089–8096. [Google Scholar] [CrossRef]
- Xia, Y.; Geng, C.; Bi, X.; Li, M.; Zhu, Y.; Yao, Z.; Wan, X.; Li, G.; Chen, Y. Biomimetic Flexible High-Sensitivity Near-Infrared II Organic Photodetector for Photon Detection and Imaging. Adv. Opt. Mater. 2024, 12, 2301518. [Google Scholar] [CrossRef]
- Kim, J.H.; Liess, A.; Stolte, M.; Krause, A.-M.; Stepanenko, V.; Zhong, C.; Bialas, D.; Spano, F.; Würthner, F. An Efficient Narrowband Near-Infrared at 1040 nm Organic Photodetector Realized by Intermolecular Charge Transfer Mediated Coupling Based on a Squaraine Dye. Adv. Mater. 2021, 33, 2100582. [Google Scholar] [CrossRef]
- Park, Y.; Fuentes-Hernandez, C.; Kim, K.; Chou, W.-F.; Larrain, F.A.; Graham, S.; Pierron, O.N.; Kippelen, B. Skin-like low-noise elastomeric organic photodiodes. Sci. Adv. 2021, 7, eabj6565. [Google Scholar] [CrossRef]
- Ge, Z.; Xu, N.; Zhu, Y.; Zhao, K.; Ma, Y.; Li, G.; Chen, Y. Visible to mid-infrared photodetection based on flexible 3D graphene/organic hybrid photodetector with ultrahigh responsivity at ambient conditions. ACS Photonics 2022, 9, 59–67. [Google Scholar] [CrossRef]
- Lee, H.; Jiang, Z.; Yokota, T.; Fukuda, K.; Park, S.; Someya, T. Stretchable organic optoelectronic devices: Design of materials, structures, and applications. Mater. Sci. Eng. R Rep. 2021, 146, 100631. [Google Scholar] [CrossRef]
- Lee, H.S.; Noh, B.; Kong, S.U.; Hwang, Y.H.; Cho, H.-E.; Jeon, Y.; Choi, K.C. Fiber-based quantum-dot pulse oximetry for wearable health monitoring with high wavelength selectivity and photoplethysmogram sensitivity. npj Flex. Electron. 2023, 7, 15. [Google Scholar] [CrossRef]
- Xu, H.; Liu, J.; Zhang, J.; Zhou, G.; Luo, N.; Zhao, N. Flexible organic/inorganic hybrid near-infrared photoplethysmogram sensor for cardiovascular monitoring. Adv. Mater. 2017, 29, 1700975. [Google Scholar] [CrossRef] [PubMed]
- Fang, Z.; Wang, C.; Yang, J.; Song, Z.; Xie, C.; Ji, Y.; Wang, Z.; Du, X.; Zheng, Q.; Chen, C. Oxyhaemoglobin saturation NIR-IIb imaging for assessing cancer metabolism and predicting the response to immunotherapy. Nat. Nanotechnol. 2024, 19, 124–130. [Google Scholar] [CrossRef] [PubMed]
- Zhu, Y.; Chen, H.; Han, R.; Qin, H.; Yao, Z.; Liu, H.; Ma, Y.; Wan, X.; Li, G.; Chen, Y. High-speed flexible near-infrared organic photodiode for optical communication. Nat. Sci. Rev. 2024, 11, nwad311. [Google Scholar] [CrossRef] [PubMed]
- Hu, C.; Chen, H.; Li, L.; Huang, H.; Shen, G. Ti3C2Tx MXene-RAN van der Waals Heterostructure-Based Flexible Transparent NIR Photodetector Array for 1024 Pixel Image Sensing Application. Adv. Mater. Technol. 2022, 7, 2101639. [Google Scholar] [CrossRef]
- Hiramoto, M.; Imahigashi, T.; Yokoyama, M. Photocurrent multiplication in organic pigment films. Appl. Phys. Lett. 1994, 64, 187–189. [Google Scholar] [CrossRef]
- Hiramoto, M.; Kawase, S.; Yokoyama, M. Photoinduced hole injection multiplication in p-type quinacridone pigment films. Jpn. J. Appl. Phys. 1996, 35, L349. [Google Scholar] [CrossRef]
- Katsume, T.; Hiramoto, M.; Yokoyama, M. Photocurrent multiplication in naphthalene tetracarboxylic anhydride film at room temperature. Appl. Phys. Lett. 1996, 69, 3722–3724. [Google Scholar] [CrossRef]
- Hiramoto, M.; Nakayama, K.-i.; Katsume, T.; Yokoyama, M. Field-activated structural traps at organic pigment/metal interfaces causing photocurrent multiplication phenomena. Appl. Phys. Lett. 1998, 73, 2627–2629. [Google Scholar] [CrossRef]
- Däubler, T.K.; Neher, D.; Rost, H.; Hörhold, H.H. Efficient bulk photogeneration of charge carriers and photoconductivity gain in arylamino-PPV polymer sandwich cells. Phys. Rev. B 1999, 59, 1964. [Google Scholar] [CrossRef]
- Hiramoto, M.; Nakayama, K.; Sato, I.; Kumaoka, H.; Yokoyama, M. Photocurrent multiplication phenomena at organic/metal and organic/organic interfaces. Thin Solid Films 1998, 331, 71–75. [Google Scholar] [CrossRef]
- Chen, H.-Y.; Lo, M.K.F.; Yang, G.; Monbouquette, H.G.; Yang, Y. Nanoparticle-assisted high photoconductive gain in composites of polymer and fullerene. Nat. Nanotechnol. 2008, 3, 543–547. [Google Scholar] [CrossRef] [PubMed]
- Chen, F.-C.; Chien, S.-C.; Cious, G.-L. Highly sensitive, low-voltage, organic photomultiple photodetectors exhibiting broadband response. Appl. Phys. Lett. 2010, 97, 103301. [Google Scholar] [CrossRef]
- Guo, F.; Yang, B.; Yuan, Y.; Xiao, Z.; Dong, Q.; Bi, Y.; Huang, J. A nanocomposite ultraviolet photodetector based on interfacial trap-controlled charge injection. Nat. Nanotechnol. 2012, 7, 798–802. [Google Scholar] [CrossRef] [PubMed]
- Gao, M.; Wang, W.; Li, L.; Miao, J.; Zhang, F. Highly sensitive polymer photodetectors with a wide spectral response range. Chin. Phys. B 2017, 26, 018201. [Google Scholar] [CrossRef]
- Miao, J.; Zhang, F. Recent progress on photomultiplication type organic photodetectors. Laser Photonics Rev. 2019, 13, 1800204. [Google Scholar] [CrossRef]
- Hiramoto, M.; Miki, A.; Yoshida, M.; Yokoyama, M. Photocurrent multiplication in organic single crystals. Appl. Phys. Lett. 2002, 81, 1500–1502. [Google Scholar] [CrossRef]
- Wang, W.; Zhang, F.; Li, L.; Zhang, M.; An, Q.; Wang, J.; Sun, Q. Highly sensitive polymer photodetectors with a broad spectral response range from UV light to the near infrared region. J. Mater. Chem. C 2015, 3, 7386–7393. [Google Scholar] [CrossRef]
- Li, L.; Zhang, F.; Wang, J.; An, Q.; Sun, Q.; Wang, W.; Zhang, J.; Teng, F. Achieving EQE of 16,700% in P3HT: PC71BM based photodetectors by trap-assisted photomultiplication. Sci. Rep. 2015, 5, 9181. [Google Scholar]
- Luo, X.; Lv, W.; Du, L.; Zhao, F.; Peng, Y.; Wang, Y.; Tang, Y. Insight into trap state dynamics for exploiting current multiplication in organic photodetectors. Phys. Status Solidi RRL 2016, 10, 485–492. [Google Scholar] [CrossRef]
- Hammond, W.T.; Xue, J. Organic heterojunction photodiodes exhibiting low voltage, imaging-speed photocurrent gain. Appl. Phys. Lett. 2010, 97, 073302. [Google Scholar] [CrossRef]
- Wang, Q.; Zhang, Y.; Wei, Z. Recent Progress on Organic Near-Infrared Photodetectors: Mechanism, Devices, and Applications. Chin. J. Chem. 2023, 41, 958–978. [Google Scholar] [CrossRef]
- Wang, Y.; Kublitski, J.; Xing, S.; Dollinger, F.; Spoltore, D.; Benduhn, J.; Leo, K. Narrowband organic photodetectors–towards miniaturized, spectroscopic sensing. Mater. Horiz. 2022, 9, 220–251. [Google Scholar] [CrossRef] [PubMed]
- Goel, N.; Kushwaha, A.; Kwoka, M.; Kumar, M. Strategic review of organic–inorganic perovskite photodetectors. Phys. Status Solidi (RRL) 2024, 2400110. [Google Scholar] [CrossRef]
- Wang, Z.; Cheng, S.; Fukuda, K.; Hu, W.; Xu, X.; Someya, T. Flexible Near-Infrared Organic Photodetectors for Emergent Wearable Applications. Wearable Electron. 2024, 1, 53–77. [Google Scholar] [CrossRef]
- Politano, G.G.; Burza, S.; Versace, C. Cyclic Voltammetry and Impedance Measurements of Graphene Oxide Thin Films Dip-Coated on n-Type and p-Type Silicon. Crystals 2023, 13, 73. [Google Scholar] [CrossRef]
- Elsayed, A.M.; Alkallas, F.H.; Ben Gouider Trabelsi, A.; AlFaify, S.; Shkir, M.; Alrebdi, T.A.; Almugren, K.S.; Kusmatsev, F.V.; Rabia, M. Photodetection Enhancement via Graphene Oxide Deposition on Poly 3-Methyl Aniline. Micromachines 2023, 14, 606. [Google Scholar] [CrossRef]
- Yang, M.; Chang, H.; Chen, J.; Zhu, X. Multiplier Effects of Photodetectors—Source of Gain. Coatings 2023, 13, 1088. [Google Scholar] [CrossRef]
- Yang, W.; Wang, W.; Wang, Y.; Sun, R.; Guo, J.; Li, H.; Shi, M.; Guo, J.; Wu, Y.; Wang, T. Balancing the efficiency, stability, and cost potential for organic solar cells via a new figure of merit. Joule 2021, 5, 1209–1230. [Google Scholar] [CrossRef]
- Paleti, S.H.K.; Hultmark, S.; Han, J.; Wen, Y.; Xu, H.; Chen, S.; Järsvall, E.; Jalan, I.; Villalva, D.R.; Sharma, A. Hexanary blends: A strategy towards thermally stable organic photovoltaics. Nat. Commun. 2023, 14, 4608. [Google Scholar] [CrossRef]
- Tseng, A.A.; Jou, S.; Notargiacomo, A.; Chen, T.P. Recent developments in tip-based nanofabrication and its roadmap. J. Nanosci. Nanotechnol. 2008, 8, 2167–2186. [Google Scholar]
- Shi, L.; Chen, K.; Zhai, A.; Li, G.; Fan, M.; Hao, Y.; Zhu, F.; Zhang, H.; Cui, Y. Status and outlook of metal–inorganic semiconductor–metal photodetectors. Laser Photonics Rev. 2021, 15, 2000401. [Google Scholar] [CrossRef]














| Active Layer | Dark Current (Density) | EQE (%) | R (A/W) | D* (Jones) | Applied Bias (V) | Response Time (ms) | Ref. |
|---|---|---|---|---|---|---|---|
| P3HT:PC61BM | 1.94 × 10−8 A | 5.35 × 104 | 278 | 1.3 × 1011 | −60 | - | [9] |
| PC71BM/PTB7:P3HT | 1.98 × 10−10 A/cm2 | ~8 | 4.0 × 10−2 | ~1012 | 0 | - | [24] |
| FASnI3/PEDOT:PSS | 4.5 × 10−4 A | - | 2.6 × 106 | 3.2 × 1012 | - | - | [25] |
| P3HT:PC70BM | - | 1.3 × 105 | 388.4 | 2.23 × 1013 | −15 | 440 | [26] |
| PBDB-T:PBI-Por/PbS-TBAI | 5.2 × 10−11 A | - | 1.89 | 1.12 × 1013 | 40 | - | [28] |
| β-ZnPc | 1.1 × 10−2 A/cm2 | 1.3 × 104 | 11.6 | - | 5 | 142 | [30] |
| BPTTE | 3.5 × 10−8 A | - | - | - | - | - | [33] |
| Rubrene/C60 | 2.46 × 10−12 A/cm2 | 60 | - | 6.35 × 1014 | −1 | ~10−3 | [35] |
| P3HT: PC61BM | - | ~15 | - | - | - | - | [36] |
| 8H2Pc/PC61BM | 4.4 × 10−9 A/cm2 | - | 0.7 | 1.0 × 1013 | −1 | - | [37] |
| HDA-Bil5 | 2 × 10−9 A | ~0.1 | 5.37 × 10−4 | 5.9 × 1010 | 0 | 61 | [38] |
| merocyanine:C60 | 2.9 × 10−9 A/cm2 | 66 | - | - | −5 | - | [40] |
| MAPbI3-xClx | 1.0 × 10−7 A/cm2 | 80 | - | 1014 | ~0 | - | [45] |
| MAPbI3 | - | 80 | 320 | - | −30 | 10−2 | [46] |
| MAPbI3 | - | - | 0.418 | 1.22 × 1013 | 10 | - | [47] |
| MAPbBr3 | 1.3 × 10−8 A | - | 1.036 | - | 3 | - | [48] |
| FAPbI3 | 2.0 × 10−8 A | - | 27.57 | - | 0.1 | 17 | [49] |
| MAPbBr3 | ~3.0 × 10−8 A/cm2 | 43 | - | 6.6 × 1011 | −8 | 0.216 | [50] |
| MAPbI3 | ~2.0 × 10−12 A | - | 4.95 | 2 × 1013 | 1 | <0.1 | [51] |
| FAPbI3:PVA | - | - | 11.3 | 9.4 × 1011 | 5 | - | [53] |
| MAPbI3-xClx:PbPc | 8 × 10−11 A | - | 0.147 | - | ± 50 | <0.6 | [54] |
| PC60BM/C60 | 5 × 10−10 A/cm2 | 70 | - | - | −0.5 | ~1.67 × 10−4 | [55] |
| MAPbI3/PC61BM | - | >70 | 0.518 | >1010 | −0.1 | - | [56] |
| MAPbI3 | 3 × 10−5 A/cm2 | 1.5 × 104 | 81 | 1011 | 1 | - | [61] |
| P3HT:PCBM | 3 × 10−10 A/cm2 | 75 | - | - | −5 | - | [71] |
| D18 | ~10−11 A | - | >105 | 4 × 1013 | 1 | - | [75] |
| DTPC | 5.3 × 10−11 A/cm2 | - | 0.27 | 9.24 × 1013 | 0 | 9.76 × 10−4 | [76] |
| SQ-H/PC61BM | 4 × 10−8 A/cm2 | 12.3 | - | - | 0 | - | [77] |
| PBDBT-2F:IT-4F | - | ~85 | 0.298 | 7.05 × 1010 | - | - | [81] |
| DPP-DTT:PC61BM | - | - | 3.5 × 105 | 5.7 × 1013 | <3 | 0.6 | [82] |
| CH17 | 4.1 × 10−11 A/cm2 | 85 | - | - | 0 | 9.1 × 10−5 | [84] |
| CdTe:P3HT:PC61BM | ~4 × 10−9 A/cm2 | 8 × 103 | - | - | 24.5 | - | [92] |
| Ir-125:P3HT:PC61BM | - | 7.2 × 103 | 32.4 | - | −4.5 | - | [93] |
| P3HT:ZnO | 10−7 A/cm2 | 105 | 1001 | 3.4 × 1015 | 9 | - | [94] |
| P3HT:PBDT-TS1:PC71BM | - | 830 | ~30 | ~2 × 1012 | −10 | - | [95] |
| P3HT:PTB7-Th | - | 3.8 × 104 | 229.5 | 1.91 × 1013 | −25 | - | [98] |
| P3HT:PC71BM | ~10−7 A/cm2 | 1.67 × 104 | 51.7 | - | −19 | - | [99] |
Disclaimer/Publisher’s Note: The statements, opinions and data contained in all publications are solely those of the individual author(s) and contributor(s) and not of MDPI and/or the editor(s). MDPI and/or the editor(s) disclaim responsibility for any injury to people or property resulting from any ideas, methods, instructions or products referred to in the content. |
© 2024 by the authors. Licensee MDPI, Basel, Switzerland. This article is an open access article distributed under the terms and conditions of the Creative Commons Attribution (CC BY) license (https://creativecommons.org/licenses/by/4.0/).
Share and Cite
Zou, J.; Zhang, S.; Tang, X. Recent Advances in Organic Photodetectors. Photonics 2024, 11, 1014. https://doi.org/10.3390/photonics11111014
Zou J, Zhang S, Tang X. Recent Advances in Organic Photodetectors. Photonics. 2024; 11(11):1014. https://doi.org/10.3390/photonics11111014
Chicago/Turabian StyleZou, Jintao, Shuo Zhang, and Xin Tang. 2024. "Recent Advances in Organic Photodetectors" Photonics 11, no. 11: 1014. https://doi.org/10.3390/photonics11111014
APA StyleZou, J., Zhang, S., & Tang, X. (2024). Recent Advances in Organic Photodetectors. Photonics, 11(11), 1014. https://doi.org/10.3390/photonics11111014
