Modeling Lattice Matched Dilute Nitride Triple and Quadruple Junction Solar Cells on Virtual SiGe Substrate
Abstract
1. Introduction
2. Materials and Methods
2.1. Derivation of Equations
2.2. Material Parameters
3. Results and Discussion
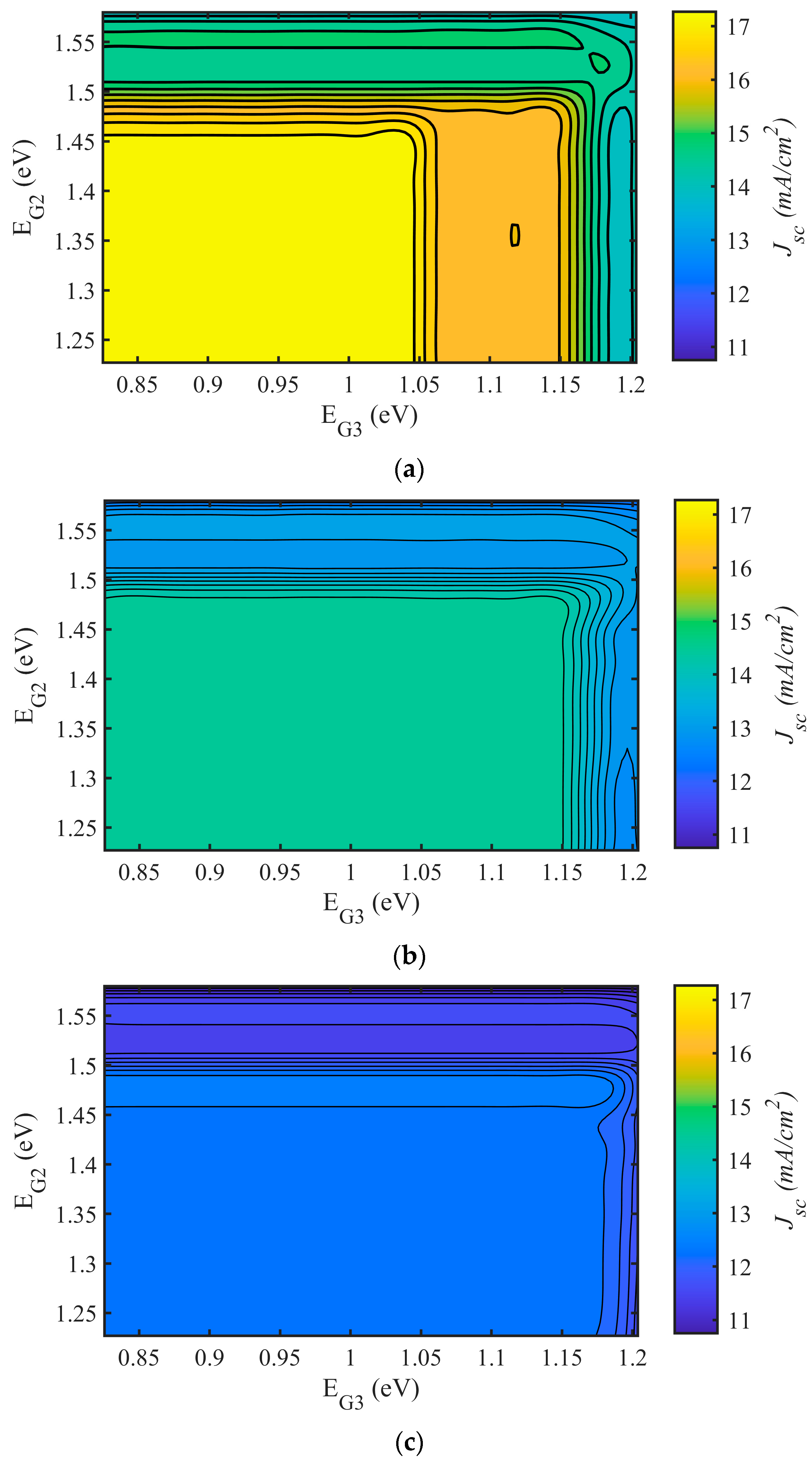
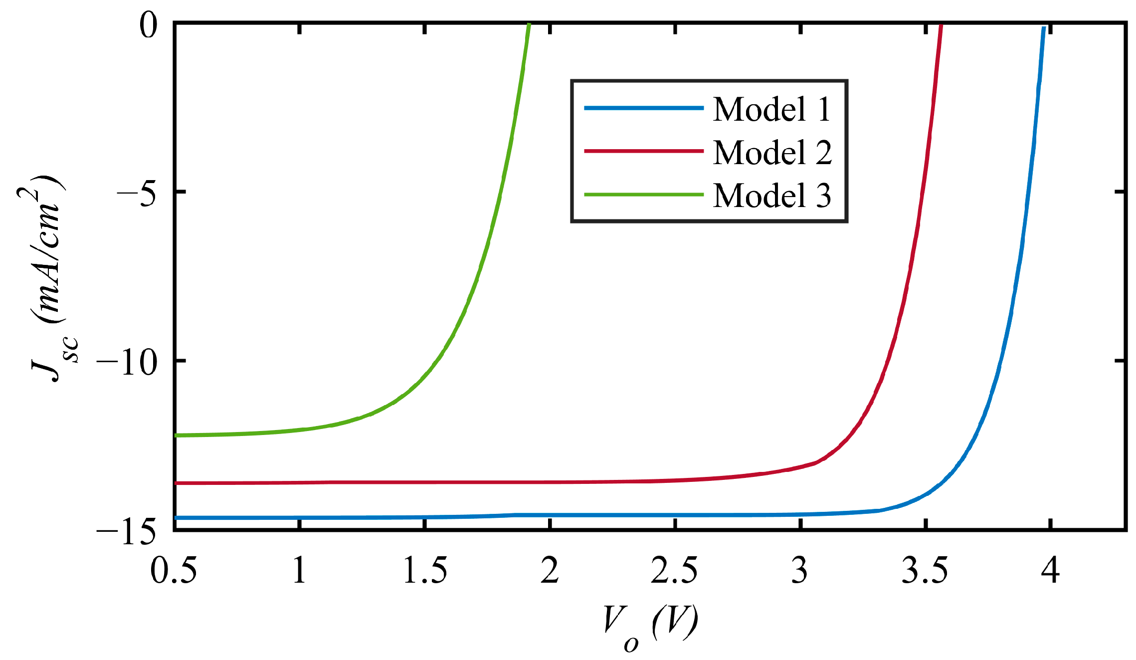
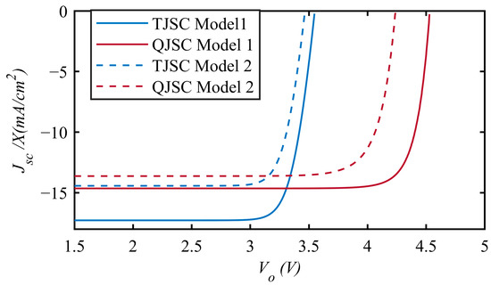
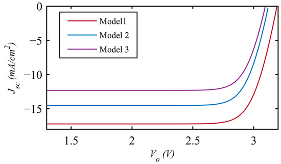
3.1. Triple Junction Cell Design
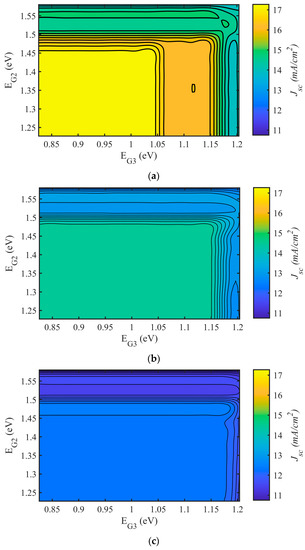
3.2. Quadruple Junction Cell Design
4. Conclusions
Funding
Institutional Review Board Statement
Informed Consent Statement
Data Availability Statement
Conflicts of Interest
References
- Green, M.A.; Dunlop, H.D.; Hohl-Ebinger, J.; Yoshita, M.; Kopidakis, N.; Hao, X. Solar cell efficiency tables (Version 61). Prog. Photovolt. Res. Appl. 2023, 31, 3–16. [Google Scholar] [CrossRef]
- Battaglia, C.; Cuevas, A.; De Wolf, S. High-efficiency crystalline silicon solar cells: Status and perspectives. Energy Environ. Sci. 2016, 9, 1552–1576. [Google Scholar] [CrossRef]
- Yoshikawa, K.; Yoshida, W.; Irie, T.; Kawasaki, H.; Konishi, K.; Ishibashi, H.; Asatani, T.; Adachi, D.; Kanematsu, M.; Uzu, H.; et al. Exceeding conversion efficiency of 26% by heterojunction interdigitated back contact solar cell with thin film Si technology. Sol. Energy Mater. Sol. Cells 2017, 173, 37–42. [Google Scholar] [CrossRef]
- Richter, A.; Hermle, M.; Glunz, S.W. Reassessment of the limiting efficiency for crystalline silicon solar cells. IEEE J. Photovolt. 2013, 3, 1184–1191. [Google Scholar] [CrossRef]
- Supplie, O.; Romanyuk, O.; Koppka, C.; Steidl, M.; Nägelein, A.; Paszuk, A.; Winterfeld, L.; Dobrich, A.; Kleinschmidt, P.; Runge, E.; et al. Metalorganic vapor phase epitaxy of III–V-on-silicon: Experiment and theory. Prog. Cryst. Growth Charact. Mater. 2018, 64, 103–132. [Google Scholar] [CrossRef]
- Essig, A.S.; Allebee, C.; Remo, T.; Geisz, J.F.; Steiner, M.A.; Horowitz, K.; Barraud, L.; Ward, J.S.; Schnabel, M.; Descoeudres, A.; et al. Raising the one-sun conversion efficiency of III–V/Si solar cells to 32.8% for two junctions and 35.9% for three junctions. Nat. Energy 2017, 2, 17144. [Google Scholar] [CrossRef]
- Yang, V.K.; Groenert, M.E.; Taraschi, G.; Leitz, C.W.; Pitera, A.J.; Currie, M.T.; Cheng, Z.; Fitzgerald, E.A. Monolithic integration of III-V optical interconnects on Si using SiGe virtual substrates. J. Mater. Sci. Mater. Electron. 2002, 13, 377–380. [Google Scholar] [CrossRef]
- Groenert, M.E.; Leitz, C.W.; Pitera, A.J.; Yang, V.; Lee, H.; Ram, R.J.; Fitzgerald, E.A. Monolithic integration of room-temperature cw GaAs/AlGaAs lasers on Si substrates via relaxed graded GeSi buffer layers. J. Appl. Phys. 2003, 93, 362–367. [Google Scholar] [CrossRef]
- Luan, H.; Lim, D.R.; Lee, K.K.; Chen, K.M.; Sandland, J.G.; Wada, K.; Kimerling, L.C. High-quality Ge epilayers on Si with low threading-dislocation densities. Appl. Phys. Lett. 1999, 75, 2909–2911. [Google Scholar] [CrossRef]
- Lew, K.L.; Yoon, S.F.; Loke, W.K.; Tanoto, H.; Dohrman, C.L.; Isaacson, D.M.; Fitzgerald, E.A. High gain AlGaAsGaAs heterojunction bipolar transistor fabricated on SiGeSi substrate. J. Vac. Sci. Technol. B Microelectron. Nanometer Struct. 2007, 25, 902–905. [Google Scholar] [CrossRef]
- Ginige, R.; Corbett, B.; Modreanu, M.; Barrett, C.; Hilgarth, J.; Isella, G.; Chrastina, D.; Von Känel, H. Characterization of Ge-on-Si virtual substrates and single junction GaAs solar cells. Semicond. Sci. Technol. 2006, 21, 775–780. [Google Scholar] [CrossRef]
- Kim, T.W.; Albert, B.R.; Kimerling, L.C.; Michel, J. InGaP solar cell on Ge-on-Si virtual substrate for novel solar power conversion. J. Appl. Phys. 2018, 123, 085111. [Google Scholar] [CrossRef]
- Lueck, M.R.; Andre, C.L.; Pitera, A.J.; Lee, M.L.; Fitzgerald, E.A.; Ringel, S.A. Dual junction GalnP/GaAs solar cells grown on metamorphic SiGe/Si substrates with high open circuit voltage. IEEE Electron. Device Lett. 2006, 27, 142–144. [Google Scholar] [CrossRef]
- García, I.; Barrutia, L.; Dadgostar, S.; Hinojosa, M.; Johnson, A.; Rey-Stolle, I. Thinned GaInP/GaInAs/Ge solar cells grown with reduced cracking on Ge|Si virtual substrates. Sol. Energy Mater. Sol. Cells 2021, 225, 111034. [Google Scholar] [CrossRef]
- Schmieder, K.J.; Gerger, A.; Diaz, M.; Pulwin, Z.; Ebert, C.; Lochtefeld, A.; Opila, R.; Barnett, A. Analysis of tandem III-V/SiGe devices grown on Si. In Proceedings of the 38th IEEE Photovoltaic Specialists Conference, Austin, TX, USA, 3–8 June 2012. [Google Scholar] [CrossRef]
- Caño, P.; Hinojosa, M.; García, I.; Beanland, R.; Marrón, D.F.; Ruiz, C.M.; Johnson, A.; Rey-Stolle, I. GaAsP/SiGe tandem solar cells on porous Si substrates. Sol. Energy 2021, 230, 925–934. [Google Scholar] [CrossRef]
- Caño, P.; Hinojosa, M.; Nguyen, H.; Morgan, A.; Marrón, D.F.; García, I.; Johnson, A.; Rey-Stolle, I. Hybrid III-V/SiGe solar cells grown on Si substrates through reverse graded buffers. Sol. Energy Mater. Sol. Cells 2020, 205, 110246. [Google Scholar] [CrossRef]
- Sabnis, V.; Yuen, H.; Wiemer, M. High-efficiency multijunction solar cells employing dilute nitrides. AIP Conf. Proc. 2012, 1477, 14–19. [Google Scholar] [CrossRef]
- Aho, A.; Isoaho, R.; Hytönen, L.; Aho, T.; Raappana, M.; Polojärvi, V.; Tukiainen, A.; Reuna, J.; Mäkelä, S.; Guina, M. Lattice-matched four-junction tandem solar cell including two dilute nitride bottom junctions. Prog. Photovolt. Res. Appl. 2019, 27, 299–305. [Google Scholar] [CrossRef]
- Aho, A.; Isoaho, R.; Raappana, M.; Aho, T.; Anttola, E.; Lyytikäinen, J.; Hietalahti, A.; Polojärvi, V.; Tukiainen, A.; Reuna, J.; et al. Wide spectral coverage (0.7–2.2 eV) lattice-matched multijunction solar cells based on AlGaInP, AlGaAs and GaInNAsSb materials. Prog. Photovolt. Res. Appl. 2021, 29, 869–875. [Google Scholar] [CrossRef]
- Isoaho, R.; Aho, A.; Tukiainena, A.; Aho, T.; Raappana, M.; Salminen, T.; Reuna, J.; Guina, M. Photovoltaic properties of low-bandgap (0.7–0.9 eV) lattice-matched GaInNAsSb solar junctions grown by molecular beam pitaxy on GaAs. Sol. Energ. Mat. Sol. C 2019, 195, 198–203. [Google Scholar] [CrossRef]
- Aho, A.; Isoaho, R.; Tukiainena, A.; Gori, G.; Campesato, R.; Guina, M. Dilute nitride triple junction solar cells for space applications: Progress towards highest AM0 efficiency. Prog. Photovolt. Res. Appl. 2018, 26, 740–744. [Google Scholar] [CrossRef]
- Levillayer, M.; Duzellier, S.; Massiot, I.; Arnoult, A.; Nuns, T.; Inguimbert, C.; Aicardi, C.; Parola, S.; Olivié, F.; Monflier, R.; et al. Degradation Study of InGaAsN p-i-n Solar Cell Under 1-MeV Electron Irradiation. IEEE Trans. Nucl. Sci. 2021, 68, 1694–1700. [Google Scholar] [CrossRef]
- Baranov, A.I.; Gudovskikh, A.S.; Kudryashov, D.A.; Lazarenko, A.A.; Morozov, I.A.; Mozharov, M.A.; Nikitina, E.V.; Pirogov, E.V.; Sobolev, M.S.; Zelentsov, K.S.; et al. Defect properties of InGaAsN layers grown as sub-monolayer digital alloys by molecular beam epitaxy. J. Appl. Phys. 2018, 123, 161418. [Google Scholar] [CrossRef]
- Isoaho, R.; Aho, T.; Aho, A.; Tukiainen, A.; Reuna, J.; Raappana, M.; Guinaet, M. High performance low-bandgap (0.8 eV) single junction GaInNAsSb solar cells incorporating Au-based back surface reflectors. Sol. Energ. Mat. Sol. C 2022, 234, 111413. [Google Scholar] [CrossRef]
- Murali, S.; Chikhalkar, A.; Zhang, C.; King, R.R.; Honsberg, C.B. Dilute nitride GaPNx as potential top cell candidate for Silicon based multijunction solar cells. In Proceedings of the 47th IEEE Photovoltaic Specialists Conference (PVSC), Calgary, AB, Canada, 15 June–21 August 2020. [Google Scholar] [CrossRef]
- Zhang, X.; Lin, K.; Xie, H.; Wang, Y. Theoretical study on potential performance of lattice-matched monolithic GaNP/GaNAsP/Si triple-junction solar cell. J. Phys. D 2020, 53, 445106. [Google Scholar] [CrossRef]
- Zhang, Y.; Yi, Y.; Li, W.; Liang, S.; Ma, J.; Cheng, S.; Yang, W.; Yi, Y. High Absorptivity and Ultra-Wideband Solar Absorber Based on Ti-Al2O3 Cross Elliptical Disk. Coatings 2023, 13, 531. [Google Scholar] [CrossRef]
- Wang, Z.; Liu, Y.; Li, L.; Zhu, D.; Yu, X.; Cheng, S.; Zheng, D.; Xiong, Y. An investigation of the effects of ZnO inverse opal pore size in the composite of ZnO nanorods/ZnO inverse opal on the performance of quantum dot-sensitized solar cells. Dalton Trans. 2023, 52, 81–89. [Google Scholar] [CrossRef]
- Zhao, F.; Lin, J.; Lei, Z.; Yi, Z.; Qin, F.; Zhang, J.; Liu, L.; Wu, X.; Yang, W.; Wu, P. Realization of 18.97% theoretical efficiency of 0.9 μm thick c-Si/ZnO heterojunction ultrathin-film solar cells via surface plasmon resonance enhancement. Phys.Chem. Chem. Phys. 2022, 24, 4871–4880. [Google Scholar] [CrossRef]
- Kudrawiec, R. Parameterization of the band gap energy for GaNxAs1-x-z Pz alloys. J. Appl. Phys. 2007, 101, 116101. [Google Scholar] [CrossRef]
- Navruz, T.S. Modeling lattice-matched InP-based multijunction solar cells. Turk. J. Electr. Eng. Co. 2017, 25, 1010–1020. [Google Scholar] [CrossRef]
- Nelson, J. Physics of Solar Cells; Imperial College Press: London, UK, 2003; pp. 145–169. [Google Scholar]
- Rey-Stolle, I.; García, I.; Barrigón, E.; Olea, J.; Pastor, D.; Ochoa, M.; Barrutia, L.; Algora, C.; Walukiewicz, W. On the thermal degradation of tunnel diodes in multijunction solar cells. In Proceedings of the 13th International Conference on Concentrator Photovoltaic Systems (CPV-13), AIP Conference Proceedings, Ottawa, ON, Canada, 6 September 2017; Volume 1881, p. 040005. [Google Scholar] [CrossRef]
- García, I.; Ochoa, M.; Lombardero, I.; Cifuentes, L.; Hinojosa, M.; Caño, P.; Rey-Stolle, I.; Algora, C.; Johnson, A.; Davies, I.; et al. Degradation of subcells and tunnel junctions during growth of GaInP/Ga(In)As/GaNAsSb/Ge 4-junction solar cells. Prog. Photovolt. Res. Appl. 2017, 25, 887–895. [Google Scholar] [CrossRef]
- Dawidowski, W.; Sciana, B.; Zborowska-Lindert, I.; Mikolasek, M.; Kova, J.; Tłaczała, M. Tunnel junction limited performance of InGaAsN/GaAs tandem solar cell. Sol. Energy 2021, 214, 632–641. [Google Scholar] [CrossRef]
- Walker, A.W.; Thériault, O.; Wilkins, M.M.; Wheeldon, J.F.; Hinzer, K. Tunnel-Junction-Limited Multijunction Solar Cell Performance Over Concentration. IEEE J. Sel. Top. Quantum Electron. 2013, 19, 1–8. [Google Scholar] [CrossRef]
- A NREL 2012 Reference Air Mass 1.5 Spectra (NREL 2012). Available online: https://www.nrel.gov/grid/solar-resource/spectra-am1.5.html (accessed on 10 February 2022).
- Vurgaftman, I.; Meyer, J.S.; Ram-Mohan, L.R. Band parameters for III–V compound semiconductors and their alloys. J. Appl. Phys. 2001, 89, 5815. [Google Scholar] [CrossRef]
- Levinshtein, M.; Rumyantsev, S.; Shur, M. Handbook Series on Semiconductor Parameters 1; World Scientific: London, UK, 1996. [Google Scholar]
- Dismukes, J.P.; Ekstrom, L.; Paff, R.J. Lattice Parameter and Density in Germanium-Silicon Alloys. J. Phys. Chem. 1964, 68, 3021–3027. [Google Scholar] [CrossRef]
- Jain, N.; Hudait, M.K. Impact of Threading Dislocations on the Design of GaAs and InGaP/GaAs Solar Cells on Si Using Finite Element Analysis. IEEE J. Photovolt. 2012, 3, 528–534. [Google Scholar] [CrossRef]
- Olson, J.M.; Ahrenkiel, R.K.; Dunlavy, D.J.; Keyes, B.; Kibbler, A.E. Ultralow recombination velocity at Ga0.5In0.5P/GaAs heterointerfaces. Appl. Phys. Lett. 1989, 55, 1208. [Google Scholar] [CrossRef]
- Geisz, J.F.; Reedy, R.C.; Keyes, B.M.W.; Metzger, K. Unintentional carbon and hydrogen incorporation in GaNP grown by metal-organic chemical vapor deposition. J. Cryst. Growth 2003, 259, 223–231. [Google Scholar] [CrossRef]
- Baranowski, M.; Kudrawiec, R.; Luce, A.V. Temperature evolution of carrier dynamics in GaNxPyAs1−y−xalloys. J. Appl. Phys. 2015, 117, 175702. [Google Scholar] [CrossRef]
- Navruz, T.S.; Saritas, M. Determination of the optimum material parameters for intermediate band solar cells using diffusion model. Prog. Photovolt. Res. Appl. 2014, 22, 593–602. [Google Scholar] [CrossRef]











| Parameters | Model 1 | Model 2 | Model 3 |
|---|---|---|---|
| Sn (cm/s) | 10 | 100 | 1000 |
| Sp (cm/s) | 100 | 1000 | 10,000 |
| τn (ns) | 100 | 10 | 1 |
| τp (ns) | 10 | 1 | 0.1 |
| Parameters | Model 1 | Model 2 | Model 3 | |||
|---|---|---|---|---|---|---|
| This Study | [27] | This Study | [27] | This Study | [27] | |
| EG2 (eV) | 1.45 | 1.48 | 1.45 | 1.47 | 1.5 | 1.48 |
| EG3 (eV) | 1.04 | 1.12 (Si) | 1.15 | 1.12 (Si) | 1.17 | 1.12 (Si) |
| Jsc (mA/cm2) | 17.27 | 14.38 | 14.53 | 14.13 | 12.32 | 12.46 |
| Voc (V) | 3.19 | 3.39 | 3.15 | 3.26 | 3.1 | 3.17 |
| FF (%) | 88.8 | 89.6 | 88.7 | 90 | 88.3 | 91.6 |
| Efficiency (%) | 48.9 | 43.7 | 40.6 | 41.5 | 33.7 | 36.2 |
| Jsc (mA/cm2) | Voc (V) | FF (%) | Efficiency (%) | |
|---|---|---|---|---|
| Case 1: Sn = 10 cm/s, Sp = 100 cm/s and τn = 1 ns, τp = 0.1 ns | 16.72 | 2.99 | 88.2 | 44.1 |
| Case 2: Sn = 100 cm/s, Sp = 1000 cm/s and τn = 1 ns, τp = 0.1 ns | 14.53 | 3.1 | 86.9 | 38.9 |
| Parameters | Model 1 | Model 2 | Model 3 |
|---|---|---|---|
| EG2 (eV) | 1.56 | 1.53 | 1.5 |
| EG3 (eV) | 1.2 | 1.2 | 1.19 |
| EG4 (eV) | 0.92 | 0.99 | 0.92 |
| Jsc (mA/cm2) | 14.64 | 13.63 | 12.22 |
| Voc (V) | 3.97 | 3.56 | 1.92 |
| FF (%) | 84.1 | 82.7 | 67.0 |
| Efficiency (%) | 48.9 | 39.9 | 15.73 |
| Parameters | Model 1 | Model 2 | ||
|---|---|---|---|---|
| TJSC | QJSC | TJSC | QJSC | |
| Jsc/X(mA/cm2) | 17.28 | 14.64 | 14.53 | 13.63 |
| Voc (V) | 3.55 | 4.53 | 3.5 | 4.2 |
| FF (%) | 89.4 | 88.4 | 87.9 | 86.5 |
| Efficiency (%) | 54.9 | 58.6 | 44.7 | 49.5 |
Disclaimer/Publisher’s Note: The statements, opinions and data contained in all publications are solely those of the individual author(s) and contributor(s) and not of MDPI and/or the editor(s). MDPI and/or the editor(s) disclaim responsibility for any injury to people or property resulting from any ideas, methods, instructions or products referred to in the content. |
© 2023 by the author. Licensee MDPI, Basel, Switzerland. This article is an open access article distributed under the terms and conditions of the Creative Commons Attribution (CC BY) license (https://creativecommons.org/licenses/by/4.0/).
Share and Cite
Navruz, T.S. Modeling Lattice Matched Dilute Nitride Triple and Quadruple Junction Solar Cells on Virtual SiGe Substrate. Photonics 2023, 10, 630. https://doi.org/10.3390/photonics10060630
Navruz TS. Modeling Lattice Matched Dilute Nitride Triple and Quadruple Junction Solar Cells on Virtual SiGe Substrate. Photonics. 2023; 10(6):630. https://doi.org/10.3390/photonics10060630
Chicago/Turabian StyleNavruz, Tugba S. 2023. "Modeling Lattice Matched Dilute Nitride Triple and Quadruple Junction Solar Cells on Virtual SiGe Substrate" Photonics 10, no. 6: 630. https://doi.org/10.3390/photonics10060630
APA StyleNavruz, T. S. (2023). Modeling Lattice Matched Dilute Nitride Triple and Quadruple Junction Solar Cells on Virtual SiGe Substrate. Photonics, 10(6), 630. https://doi.org/10.3390/photonics10060630

