Femtosecond Laser Line-by-Line Inscribed Seven Core Fiber Cascaded Fabry–Perot Cavity and Its Vectorial Bending Sensing Application
Abstract
1. Introduction
2. Principle and Preparation of the Sensor
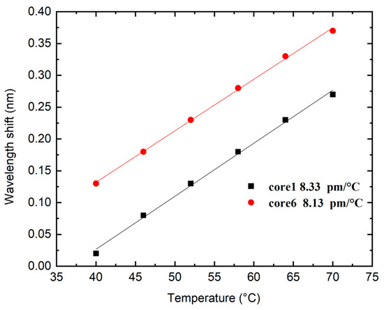
3. Sensing Performance Testing and Analysis
4. Curvature Reconstruction
5. Conclusions
Author Contributions
Funding
Institutional Review Board Statement
Informed Consent Statement
Data Availability Statement
Acknowledgments
Conflicts of Interest
References
- Zhang, Y.; Zhou, L.; Qiao, D.; Liu, M.; Yang, H.; Meng, C.; Miao, T.; Xue, J.; Yao, Y. Progress on optical fiber biochemical sensors based on graphene. Micromachines 2022, 13, 348. [Google Scholar] [CrossRef] [PubMed]
- Sabri, N.; Aljunid, S.A.; Salim, M.S.; Fouad, S. Fiber optic sensors: Short review and applications. In Recent Trends in Physics of Material Science and Technology; Springer: Berlin/Heidelberg, Germany, 2015; pp. 299–311. [Google Scholar]
- Zhao, Y.; Cai, L.; Li, X.-G.; Meng, F.-C.; Zhao, Z. Investigation of the high sensitivity RI sensor based on SMS fiber structure. Sens. Actuators A Phys. 2014, 205, 186–190. [Google Scholar] [CrossRef]
- Wang, T.; Liu, B.; Zhao, L.; Mao, Y.; Ren, J.; Zheng, J. High-Sensitivity Liquid Level Sensor Based on the Balloon-Shaped Fiber Optic MZI. IEEE Photonics J. 2022, 14, 6821007. [Google Scholar] [CrossRef]
- Zheng, J.; Liu, B.; Zhao, L.; Ullah, R.; Mao, Y.; Ren, J.; Wang, T. An optical sensor designed from cascaded anti-resonant reflection waveguide and fiber ring-shaped structure for simultaneous measurement of refractive index and temperature. IEEE Photonics J. 2022, 14, 6812406. [Google Scholar] [CrossRef]
- Li, T.; Wu, D.; Khyam, M.O.; Guo, J.; Tan, Y.; Zhou, Z. Recent advances and tendencies regarding fiber optic sensors for deformation measurement: A review. IEEE Sens. J. 2021, 22, 2962–2973. [Google Scholar] [CrossRef]
- Inaudi, D.; Glisic, B. Long-range pipeline monitoring by distributed fiber optic sensing. J. Press. Vessel Technol. 2009, 132, 011701. [Google Scholar] [CrossRef]
- Sahota, J.K.; Gupta, N.; Dhawan, D. Fiber Bragg grating sensors for monitoring of physical parameters: A comprehensive review. Opt. Eng. 2020, 59, 060901. [Google Scholar] [CrossRef]
- Traudes, D. In situ tomography of microcracking in cross ply carbon fiber composites with pre-existing debonding damage. Master’s Thesis, King Abdullah University of Science and Technology, Thuwal, Saudi Arabia, 2012. [Google Scholar]
- Kang, S.C.; Kim, S.Y.; Lee, S.B.; Kwon, S.W.; Choi, S.S.; Lee, B. Temperature-independent strain sensor system using a tilted fiber Bragg grating demodulator. IEEE Photonics Technol. Lett. 1998, 10, 1461–1463. [Google Scholar] [CrossRef]
- Slavík, R. Coupling to circularly asymmetric modes via long-period gratings made in a standard straight fiber. Opt. Commun. 2007, 275, 90–93. [Google Scholar] [CrossRef]
- Allsop, T.; Dubov, M.; Martinez, A.; Floreani, F.; Khrushchev, I.; Webb, D.; Bennion, I. Long period grating directional bend sensor based on asymmetric index modification of cladding. Electron. Lett. 2005, 41, 59–60. [Google Scholar] [CrossRef]
- Duan, D.W.; Rao, Y.J.; Xu, L.C.; Zhu, T.; Wu, D.; Yao, J. In-fiber Mach–Zehnder interferometer formed by large lateral offset fusion splicing for gases refractive index measurement with high sensitivity. Sens. Actuators B Chem. 2011, 160, 1198–1202. [Google Scholar] [CrossRef]
- Blanchard, P.M.; Burnett, J.G.; Erry, G.R.G.; Greenaway, A.H.; Harrison, P.; Mangan, B.; Knight, J.C.; Russell, P.S.J.; Gander, M.J.; McBride, R.; et al. Two-dimensional bend sensing with a single, multi-core optical fibre. Smart Mater. Struct. 2000, 9, 132–140. [Google Scholar] [CrossRef]
- Ghaffar, A.; Hou, Y.L.; Liu, W.Y.; Dharejo, F.A.; Zhang, H.-X.; Jia, P.; Hu, Y.; Liu, J.; Zhang, Y.; Nasir, Z. Two-dimensional displacement optical fiber sensor based on macro-bending effect. Opt. Laser Technol. 2019, 120, 105688. [Google Scholar] [CrossRef]
- Wang, S.; Zhang, Y.-X.; Zhang, W.-G.; Geng, P.-C.; Yan, T.-Y.; Chen, L.; Li, Y.-P.; Hu, W. Two-dimensional bending vector sensor based on the multimode-3-core-multimode fiber structure. IEEE Photonics Technol. Lett. 2017, 29, 822–825. [Google Scholar] [CrossRef]
- Al-Ahmad, O.; Ourak, M.; Vlekken, J.; Poorten, E.V. Local One-Dimensional Motion Estimation Using FBG-Based Shape Sensing for Cardiac Applications. IEEE Robot. Autom. Lett. 2022, 7, 8122–8129. [Google Scholar] [CrossRef]
- Zhao, Y.; Peng, H.; Ma, Y.; Liu, Y.; Yang, Y.; He, Z. Helical Long-Period Gratings in Four-Core Fiber for Multiparametric Monitoring of Directional Bending, Torsion and Temperature. J. Light. Technol. 2022; early access. [Google Scholar]
- Wang, Y.; Zhou, C.; Wang, W.; Xu, D.; Zeng, F.; Zhan, C.; Gu, J.; Li, M.; Zhao, W.; Zhang, J.; et al. Photocatalytically Powered Matchlike Nanomotor for Light-Guided Active SERS Sensing. Angew. Chem. 2018, 130, 13294–13297. [Google Scholar] [CrossRef]
- Qi, B.; Su, B.; Zhang, F.; Xu, O.; Qin, Y. Temperature-insensitive two-dimensional vector bending sensor based on Fabry-Pérot interferometer incorporating a seven-core fiber. IEEE Photonics J. 2022, 14, 6844809. [Google Scholar] [CrossRef]
- Hou, M.; Yang, K.; He, J.; Xu, X.; Ju, S.; Guo, K.; Wang, Y. Two-dimensional vector bending sensor based on seven-core fiber Bragg gratings. Opt. Express 2018, 26, 23770–23781. [Google Scholar] [CrossRef]
- Zhu, F.; Zhang, Y.; Qu, Y.; Jiang, W.; Su, H.; Guo, Y.; Qi, K. Stress-insensitive vector curvature sensor based on a single fiber Bragg grating. Opt. Fiber Technol. 2020, 54, 102133. [Google Scholar] [CrossRef]
- Zhang, Y.; Huang, J.; Lan, X.; Yuan, L.; Xiao, H. Simultaneous measurement of temperature and pressure with cascaded extrinsic Fabry–Perot interferometer and intrinsic Fabry–Perot interferometer sensors. Opt. Eng. 2014, 53, 067101. [Google Scholar] [CrossRef]
- Oliveira, R.; Cardoso, M.; Rocha, A.M. Two-dimensional vector bending sensor based on Fabry-Pérot cavities in a multicore fiber. Opt. Express 2022, 30, 2230–2246. [Google Scholar] [CrossRef] [PubMed]
- Yang, A.; Bao, W.; Chen, F.; Li, X.; Wang, R.; Wang, Y.; Qiao, X. Two-dimensional displacement (bending) sensor based on cascaded Fabry–Perot interferometers fabricated in a seven-core fiber. Opt. Express 2023, 31, 7753–7763. [Google Scholar] [CrossRef] [PubMed]
- Deng, J.; Wang, D.N.; Zhang, H. Femtosecond laser inscribed multiple in-fiber reflection mirrors for high-temperature sensing. J. Light. Technol. 2019, 37, 5537–5541. [Google Scholar] [CrossRef]
- Wang, Q.; Zhang, H.; Wang, D.N. Cascaded multiple Fabry–Perot interferometers fabricated in no-core fiber with a waveguide for high-temperature sensing. Opt. Lett. 2019, 44, 5145–5148. [Google Scholar] [CrossRef]
- Osório, J.H.; Oliveira, R.; Aristilde, S.; Chesini, G.; Franco, M.A.; Nogueira, R.N.; Cordeiro, C.M. Bragg gratings in surface-core fibers: Refractive index and directional curvature sensing. Opt. Fiber Technol. 2017, 34, 86–90. [Google Scholar] [CrossRef]








Disclaimer/Publisher’s Note: The statements, opinions and data contained in all publications are solely those of the individual author(s) and contributor(s) and not of MDPI and/or the editor(s). MDPI and/or the editor(s) disclaim responsibility for any injury to people or property resulting from any ideas, methods, instructions or products referred to in the content. |
© 2023 by the authors. Licensee MDPI, Basel, Switzerland. This article is an open access article distributed under the terms and conditions of the Creative Commons Attribution (CC BY) license (https://creativecommons.org/licenses/by/4.0/).
Share and Cite
Zhang, Y.; Ma, H.; Yao, Y.; Wang, M.; Zhang, L.; Nie, Z.; Bai, C. Femtosecond Laser Line-by-Line Inscribed Seven Core Fiber Cascaded Fabry–Perot Cavity and Its Vectorial Bending Sensing Application. Photonics 2023, 10, 605. https://doi.org/10.3390/photonics10060605
Zhang Y, Ma H, Yao Y, Wang M, Zhang L, Nie Z, Bai C. Femtosecond Laser Line-by-Line Inscribed Seven Core Fiber Cascaded Fabry–Perot Cavity and Its Vectorial Bending Sensing Application. Photonics. 2023; 10(6):605. https://doi.org/10.3390/photonics10060605
Chicago/Turabian StyleZhang, Yanqing, Haili Ma, Yicun Yao, Minghong Wang, Liqiang Zhang, Zhaogang Nie, and Chenglin Bai. 2023. "Femtosecond Laser Line-by-Line Inscribed Seven Core Fiber Cascaded Fabry–Perot Cavity and Its Vectorial Bending Sensing Application" Photonics 10, no. 6: 605. https://doi.org/10.3390/photonics10060605
APA StyleZhang, Y., Ma, H., Yao, Y., Wang, M., Zhang, L., Nie, Z., & Bai, C. (2023). Femtosecond Laser Line-by-Line Inscribed Seven Core Fiber Cascaded Fabry–Perot Cavity and Its Vectorial Bending Sensing Application. Photonics, 10(6), 605. https://doi.org/10.3390/photonics10060605

