Uplink and Downlink NOMA Based on a Novel Interference Coefficient Estimation Strategy for Next-Generation Optical Wireless Networks
Abstract
1. Introduction
2. NOMA System Model
2.1. System Design
2.2. Uplink NOMA
2.3. Downlink NOMA
3. SIC Detection Based on Interference Estimation Coefficient
Proposed Algorithm
4. Experiments and Analysis of Results
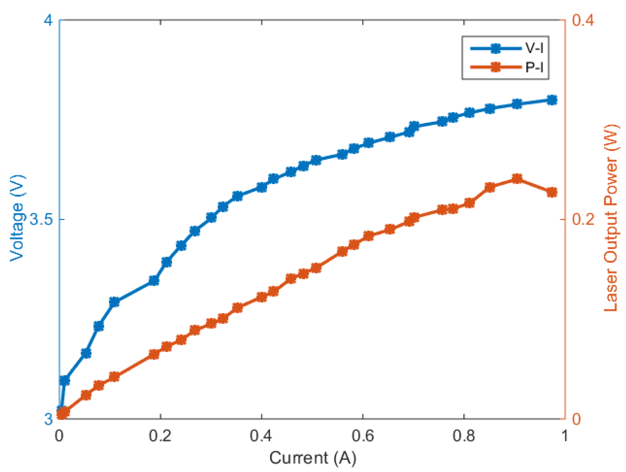
4.1. The Analysis of Uplink NOMA-VLC
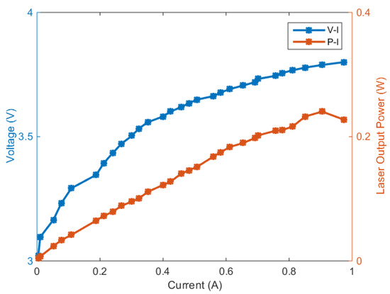
4.2. The Analysis of Downlink NOMA-VLC
5. Conclusions
Author Contributions
Funding
Institutional Review Board Statement
Informed Consent Statement
Data Availability Statement
Conflicts of Interest
References
- Chuang, Y.C.; Li, Z.Q.; Hsu, C.W.; Liu, Y.; Chow, C.W. Visible light communication and positioning using positioning cells and machine learning algorithms. Opt. Express 2019, 27, 16377–16383. [Google Scholar] [CrossRef] [PubMed]
- Chow, C.W.; Liu, Y.; Yeh, C.H.; Chang, Y.H.; Lin, Y.S.; Hsu, K.L.; Liao, X.-L.; Lin, K.H. Display light panel and rolling shutter image sensor based optical camera communication (OCC) using frame-averaging background removal and neural network. J. Light. Technol. 2021, 39, 4360–4366. [Google Scholar] [CrossRef]
- Mohsan, S.A.H. Optical camera communications: Practical constraints, applications, potential challenges, and future directions. J. Opt. Technol. 2021, 88, 729–741. [Google Scholar] [CrossRef]
- Huang, X.H.; Lu, H.H.; Chang, P.S.; Liu, C.X.; Lin, Y.Y.; Ko, T.; Chen, Y.T. Bidirectional white-lighting WDM VLC–UWOC converged systems. J. Light. Technol. 2021, 39, 4351–4359. [Google Scholar] [CrossRef]
- Tang, X.; Kumar, R.; Sun, C.; Zhang, L.; Chen, Z.; Jiang, R.; Wang, H.; Zhang, A. Towards underwater coherent optical wireless communications using a simplified detection scheme. Opt. Express 2021, 29, 19340–19351. [Google Scholar] [CrossRef]
- Jiang, R.; Sun, C.; Zhang, L.; Tang, X.; Wang, H.; Zhang, A. Deep Learning Aided Signal Detection for SPAD-based Underwater Optical Wireless Communications. IEEE Access 2020, 8, 20363–20374. [Google Scholar] [CrossRef]
- Zhang, L.; Tang, X.; Sun, C.; Chen, Z.; Li, Z.; Wang, H.; Jiang, R.; Shi, W.; Zhang, A. Over 10 attenuation length gigabits per second underwater wireless optical communication using a silicon photomultiplier (SiPM) based receiver. Opt. Express 2020, 28, 24968–24980. [Google Scholar] [CrossRef]
- Lu, H.H.; Lin, Y.P.; Wu, P.Y.; Chen, C.Y.; Chen, M.C.; Jhang, T.W. A multiple-input-multiple-output visible light communication system based on VCSELs and spatial light modulators. Opt. Express 2014, 22, 3468–3474. [Google Scholar] [CrossRef] [PubMed]
- Xu, G.; Zhang, N.; Xu, M.; Xu, Z.; Zhang, Q.; Song, Z. Outage Probability and Average BER of UAV-assisted Dual-hop FSO Communication with Amplify-and-Forward Relaying. IEEE Trans. Veh. Technol. 2023, 23, 4337. [Google Scholar] [CrossRef]
- Li, C.Y.; Lu, H.H.; Tsai, W.S.; Feng, C.Y.; Chou, C.R.; Chen, Y.H.; Nainggolan, A. White-lighting and WDM-VLC system using transmission gratings and an engineered diffuser. Opt. Lett. 2020, 45, 6206–6209. [Google Scholar] [CrossRef]
- Rahman, M.D.R.; Adedara, K.; Ashok, A. Enabling multiple access in visible light communication using liquid crystal displays: A proof-of-concept study. Electronics 2020, 9, 826. [Google Scholar] [CrossRef]
- Qiu, Y.; Chen, H.; Li, J.; Meng, W. VLC-CDMA systems based on optical complementary codes. IEEE Wirel. Commun. 2020, 27, 147–153. [Google Scholar] [CrossRef]
- Akhoundi, F.; Salehi, J.A.; Tashakori, A. Cellular underwater wireless optical CDMA network: Performance analysis and implementation concepts. IEEE Trans. Commun. 2015, 63, 882–891. [Google Scholar] [CrossRef]
- Li, X.; Tong, Z.; Lyu, W.; Chen, X.; Yang, X.; Zhang, Y.; Liu, S.; Dai, Y.; Zhang, Z.; Guo, C.; et al. Underwater quasi-omnidirectional wireless optical communication based on perovskite quantum dots. Opt. Express 2022, 30, 1709–1722. [Google Scholar] [CrossRef] [PubMed]
- Shi, J.; Hong, Y.; Deng, R.; He, J.; Chen, L.-K.; Chang, G.-K. Demonstration of real-time software reconfigurable dynamic power-and-subcarrier allocation scheme for OFDM-NOMA-based multi-user visible light communications. J. Light. Technol. 2019, 37, 4401–4409. [Google Scholar] [CrossRef]
- Lin, B.; Ye, W.; Tang, X.; Ghassemlooy, Z. Experimental demonstration of bidirectional NOMA-OFDMA visible light communications. Opt. Express 2017, 25, 4348–4355. [Google Scholar] [CrossRef]
- Wang, Z.; Zhang, L.; Li, J.; Wei, G.; Dong, Y.; Fu, H.Y. Fluorescent concentrator based MISO-NOMA for visible light communications. Opt. Lett. 2022, 47, 902–905. [Google Scholar] [CrossRef] [PubMed]
- Manousiadis, P.P.; Chun, H.; Rajbhandari, S.; Vithanage, D.A.; Mulyawan, R.; Faulkner, G.; Haas, H.; O’Brien, D.C.; Collins, S.; Turnbull, G.A. Optical antennas for wavelength division multiplexing in visible light communications beyond the étendue limit. Adv. Opt. Mater. 2020, 8, 1901139. [Google Scholar] [CrossRef]
- Manousiadis, P.P.; Rajbhandari, S.; Mulyawan, R.; Vithanage, D.A.; Chun, H.; Faulkner, G.; O’Brien, D.C.; Turnbull, G.A.; Collins, S.; Samuel, I.D.W. Wide field-of-view fluorescent antenna for visible light communications beyond the étendue limit. Optica 2016, 3, 702–706. [Google Scholar] [CrossRef]
- Dong, Y.; Shi, M.; Yang, X.; Zeng, P.; Gong, J.; Zheng, S.; Zhang, M.; Liang, R.; Ou, Q.; Chi, N.; et al. Nanopatterned luminescent concentrators for visible light communications. Opt. Express 2017, 25, 21926–21934. [Google Scholar] [CrossRef]
- Kang, C.H.; Dursun, I.; Liu, G.; Sinatra, L.; Sun, X.; Kong, M.; Pan, J.; Maity, P.; Ooi, E.N.; Ng, T.K.; et al. High-speed colour-converting photodetector with all-inorganic CsPbBr3 perovskite nanocrystals for ultraviolet light communication. Light Sci. Appl. 2019, 8, 94. [Google Scholar] [CrossRef] [PubMed]
- Mulyawan, R.; Chun, H.; Gomez, A.; Rajbhandari, S.; Faulkner, G.; Manousiadis, P.P.; Vithanage, D.A.; Turnbull, G.A.; Samuel, I.D.; Collins, S.; et al. MIMO visible light communications using a wide field-of-view fluorescent concentrator. IEEE Photonics Technol. Lett. 2017, 29, 306–309. [Google Scholar] [CrossRef]
- Wang, Z.; Yu, H.; Wang, D. Channel and bit adaptive power control strategy for uplink NOMA VLC systems. Appl. Sci. 2019, 9, 220. [Google Scholar] [CrossRef]
- Dai, L.; Wang, B.; Yuan, Y.; Han, S.; Chih-Lin, I.; Wang, Z. Non-orthogonal multiple access for 5G: Solutions, challenges, opportunities, and future research trends. IEEE Commun. Mag. 2015, 53, 74–81. [Google Scholar] [CrossRef]
- Tomida, S.; Higuchi, K. Non-orthogonal access with SIC in cellular downlink for user fairness enhancement. In Proceedings of the 2011 International Symposium on Intelligent Signal Processing and Communications Systems (ISPACS), Chiang Mai, Thailand, 7–9 December 2011; IEEE: Piscataway, NJ, USA, 2011; pp. 1–6. [Google Scholar]
- Eroğlu, Y.S.; Yapıcı, Y.; Güvenç, I. Impact of random receiver orientation on visible light communications channel. IEEE Trans. Commun. 2018, 67, 1313–1325. [Google Scholar] [CrossRef]
- Wang, J.Y.; Li, Q.L.; Zhu, J.X.; Wang, Y. Impact of receiver’s tilted angle on channel capacity in VLCs. Electron. Lett. 2017, 53, 421–423. [Google Scholar] [CrossRef]
- Soltani, M.D.; Purwita, A.A.; Zeng, Z.; Haas, H.; Safari, M. Modeling the random orientation of mobile devices: Measurement, analysis and LiFi use case. IEEE Trans. Commun. 2018, 67, 2157–2172. [Google Scholar] [CrossRef]
- Soltani, M.D.; Wu, X.; Safari, M.; Haas, H. Access point selection in Li-Fi cellular networks with arbitrary receiver orientation. In Proceedings of the 2016 IEEE 27th Annual International Symposium on Personal, Indoor, and Mobile Radio Communications (PIMRC), Valencia, Spain, 4–8 September 2016; pp. 1–6. [Google Scholar]
- Soltani, M.D.; Kazemi, H.; Safari, M.; Haas, H. Handover modeling for indoor Li-Fi cellular networks: The effects of receiver mobility and rotation. In Proceedings of the 2017 IEEE Wireless Communications and Networking Conference (WCNC), Francisco, CA, USA, 19–22 March 2017; pp. 1–6. [Google Scholar]
- Eroğlu, Y.S.; Yapici, Y.; Güvenc, I. Effect of random vertical orientation for mobile users in visible light communication. In Proceedings of the 2017 51st Asilomar Conference on Signals, Systems, and Computers, Pacific Grove, CA, USA, 1–29 October 2017; pp. 238–242. [Google Scholar]
- Wang, J.Y.; Wang, J.B.; Zhu, B.; Lin, M.; Wu, Y.; Wang, Y.; Chen, M. Improvement of BER performance by tilting receiver plane for indoor visible light communications with input-dependent noise. In Proceedings of the 2017 IEEE International Conference on Communications (ICC), Paris, France, 21–25 May 2017; pp. 1–6. [Google Scholar]
- Guan, X.; Hong, Y.; Chan, C.C.K. Non-orthogonal multiple access with multicarrier precoding in visible light communications. In Proceedings of the 2016 21st Opto-Electronics and Communications Conference (OECC) Held Jointly with 2016 International Conference on Photonics in Switching (PS), Niigata, Japan, 3–7 July 2016; IEEE: Piscataway, NJ, USA, 2016; pp. 1–3. [Google Scholar]
- Li, H.; Huang, Z.; Xiao, Y.; Zhan, S.; Ji, Y. Solution for error propagation in a NOMA-based VLC network: Symmetric superposition coding. Opt. Express 2017, 25, 29856–29863. [Google Scholar] [CrossRef]
- Mounir, M.; El_Mashade, M.B.; Mohamed Aboshosha, A. On the selection of power allocation strategy in power domain non-orthogonal multiple access (PD-NOMA) for 6G and beyond. Trans. Emerg. Telecommun. Technol. 2022, 33, e4289. [Google Scholar] [CrossRef]
- Jiang, R.; Sun, C.; Tang, X.; Zhang, L.; Wang, H.; Zhang, A. Joint User-Subcarrier Pairing and Power Allocation for Uplink ACO-OFDM-NOMA Underwater Visible Light Communication Systems. J. Light. Technol. 2021, 39, 1997–2007. [Google Scholar] [CrossRef]
- Islam, S.M.; Zeng, M.; Dobre, O.A.; Kwak, K.S. Non-orthogonal multiple access (NOMA): How it meets 5G and beyond. arXiv 2019, arXiv:1907.10001. [Google Scholar]
- Chen, C.; Fu, S.; Jian, X.; Liu, M.; Deng, X.; Ding, Z. NOMA for energy-efficient LiFi-enabled bidirectional IoT communication. IEEE Trans. Commun. 2021, 69, 1693–1706. [Google Scholar] [CrossRef]
- Sadat, H.; Abaza, M.; Mansour, A.; Alfalou, A. A survey of NOMA for VLC systems: Research challenges and future trends. Sensors 2022, 22, 1395. [Google Scholar] [CrossRef]
- Marshoud, H.; Kapinas, V.M.; Karagiannidis, G.K.; Muhaidat, S. Non-orthogonal multiple access for visible light communications. IEEE Photonics Technol. Lett. 2015, 28, 51–54. [Google Scholar] [CrossRef]
- Zhao, Q.; Jiang, J.; Wang, Y.; Du, J. A low complexity power allocation scheme for NOMA-based indoor VLC systems. Opt. Commun. 2020, 463, 125383. [Google Scholar] [CrossRef]
- Chen, C.; Zhong, W.D.; Yang, H.; Du, P. On the performance of MIMO-NOMA-based visible light communication systems. IEEE Photonics Technol. Lett. 2017, 30, 307–310. [Google Scholar] [CrossRef]
- Yang, Z.; Xu, W.; Li, Y. Fair non-orthogonal multiple access for visible light communication downlinks. IEEE Wirel. Commun. Lett. 2016, 6, 66–69. [Google Scholar] [CrossRef]
- Tahira, Z.; Asif, H.M.; Khan, A.A.; Baig, S.; Mumtaz, S.; Al-Rubaye, S. Optimization of non-orthogonal multiple access based visible light communication systems. IEEE Commun. Lett. 2019, 23, 1365–1368. [Google Scholar] [CrossRef]
- Eroglu, Y.S.; Anjinappa, C.K.; Guvenc, I.; Pala, N. Slow beam steering and NOMA for indoor multi-user visible light communications. IEEE Trans. Mob. Comput. 2019, 20, 1627–1641. [Google Scholar] [CrossRef]
- Pham, Q.V.; Huynh-The, T.; Alazab, M.; Zhao, J.; Hwang, W.J. Sum-rate maximization for UAV-assisted visible light communications using NOMA: Swarm intelligence meets machine learning. IEEE Internet Things J. 2020, 7, 10375–10387. [Google Scholar] [CrossRef]
- Zhang, X.; Gao, Q.; Gong, C.; Xu, Z. User grouping and power allocation for NOMA visible light communication multi-cell networks. IEEE Commun. Lett. 2016, 21, 777–780. [Google Scholar] [CrossRef]
- Eltokhey, M.W.; Khalighi, M.A.; Ghazy, A.S.; Hranilovic, S. Hybrid NOMA and ZF pre-coding transmission for multi-cell VLC networks. IEEE Open J. Commun. Soc. 2020, 1, 513–526. [Google Scholar] [CrossRef]
- Raj, R.; Dixit, A. An Energy-Efficient Power Allocation Scheme for NOMA-Based IoT Sensor Networks in 6G. IEEE Sens. J. 2022, 22, 7371–7384. [Google Scholar] [CrossRef]
- Dogra, T.; Bharti, M.R. User pairing and power allocation strategies for downlink NOMA-based VLC systems: An overview. AEU-Int. J. Electron. Commun. 2022, 149, 154184. [Google Scholar] [CrossRef]
- Fu, Y.; Hong, Y.; Chen, L.K.; Sung, C.W. Enhanced power allocation for sum rate maximization in OFDM-NOMA VLC systems. IEEE Photonics Technol. Lett. 2018, 30, 1218–1221. [Google Scholar] [CrossRef]
- Feng, S.; Bai, T.; Hanzo, L. Joint power allocation for the multi-user NOMA-downlink in a power-line-fed VLC network. IEEE Trans. Veh. Technol. 2019, 68, 5185–5190. [Google Scholar] [CrossRef]
- Feng, S.; Zhang, R.; Xu, W.; Hanzo, L. Multiple access design for ultra-dense VLC networks: Orthogonal vs non-orthogonal. IEEE Trans. Commun. 2018, 67, 2218–2232. [Google Scholar] [CrossRef]
- Kusaladharma, S.; Zhu, W.-P.; Ajib, W.; Baduge, G.A.A. Rate and Energy Efficiency Improvements of Massive MIMO-Based Stochastic Cellular Networks with NOMA. IEEE Trans. Green Commun. Netw. 2021, 5, 1467–1481. [Google Scholar] [CrossRef]
- Zeng, M.; Yadav, A.; Dobre, O.A.; Poor, H.V. Energy-Efficient Power Allocation for MIMO-NOMA with Multiple Users in a Cluster. IEEE Access 2018, 6, 5170–5181. [Google Scholar] [CrossRef]
- Yang, Z.; Ding, Z.; Fan, P.; Al-Dhahir, N. A General Power Allocation Scheme to Guarantee Quality of Service in Downlink and Uplink NOMA Systems. IEEE Trans. Wirel. Commun. 2016, 15, 7244–7257. [Google Scholar] [CrossRef]
- Yang, Z.; Xu, W.; Pan, C.; Pan, Y.; Chen, M. On the Optimality of Power Allocation for NOMA Downlinks with Individual QoS Constraints. IEEE Commun. Lett. 2017, 21, 1649–1652. [Google Scholar] [CrossRef]
- Li, S.; Dang, X.; Xu, G.; Yu, X.; Hao, C.; Li, J. Detection of Downlink Asynchronous NOMA with MSK-Type Signals. IEEE Commun. Lett. 2023, 27, 1442–1446. [Google Scholar] [CrossRef]
- Jamali, M.V.; Mahdavifar, H. Uplink non-orthogonal multiple access over mixed RF-FSO systems. IEEE Trans. Wirel. Commun. 2020, 19, 3558–3574. [Google Scholar] [CrossRef]
- Zhang, J.; Zhang, L.; Pan, G. Outage Performance for NOMA-based FSO-RF Systems with a Dual Energy Harvesting Mode. IEEE Internet Things J. 2023. [Google Scholar] [CrossRef]
- Obeed, M.; Dahrouj, H.; Salhab, A.M.; Zummo, S.A.; Alouini, M.-S. User Pairing, Link Selection, and Power Allocation for Cooperative NOMA Hybrid VLC/RF Systems. IEEE Trans. Wirel. Commun. 2021, 20, 1785–1800. [Google Scholar] [CrossRef]
- Raj, R.; Dixit, A. Outage Analysis and Reliability Enhancement of Hybrid VLC-RF Networks Using Cooperative Non-Orthogonal Multiple Access. IEEE Trans. Netw. Serv. Manag. 2021, 18, 4685–4696. [Google Scholar] [CrossRef]
- Almohimmah, E.M.; Alresheedi, M.T. Error analysis of NOMA-based VLC systems with higher order modulation schemes. IEEE Access 2019, 8, 2792–2803. [Google Scholar] [CrossRef]
- Ren, H.; Wang, Z.; Du, S.; He, Y.; Chen, J.; Han, S.; Yu, C.; Xu, C.; Yu, J. Performance improvement of NOMA visible light communication system by adjusting superposition constellation: A convex optimization approach. Opt. Express 2018, 26, 29796–29806. [Google Scholar] [CrossRef]
- Dong, Z.; Shang, T.; Li, Q.; Tang, T. Differential evolution-based optimal power allocation scheme for NOMA-VLC systems. Opt. Express 2020, 28, 21627–21640. [Google Scholar] [CrossRef]
- Wang, G.; Shao, Y.; Chen, L.K.; Zhao, J. Improved joint subcarrier and power allocation to enhance the throughputs and user fairness in indoor OFDM-NOMA VLC systems. Opt. Express 2021, 29, 29242–29256. [Google Scholar] [CrossRef]
- Song, X.; Liu, Y.; Xue, L.; Wang, J.; Zhang, J.; Wang, J.; Jiang, L.; Cheng, Z. Time-series well performance prediction based on Long Short-Term Memory (LSTM) neural network model. J. Pet. Sci. Eng. 2020, 186, 106682. [Google Scholar] [CrossRef]
- Bin, T.; Wang, G.; Xu, Z.; Zhang, Y.; Zhao, X. Communication delay compensation for string stability of CACC system using LSTM prediction. Veh. Commun. 2021, 29, 100333. [Google Scholar]
- Sherstinsky, A. Fundamentals of recurrent neural network (RNN) and long short-term memory (LSTM) network. Phys. D Nonlinear Phenom. 2020, 404, 132306. [Google Scholar] [CrossRef]


















| Reference | Communication Domain | Focus Area |
|---|---|---|
| [43] | VLC | Karush–Kuhn–Tucker (KKT) optimality conditions to enhance sum-rate performance over that of OFDMA |
| [44] | VLC | Convex optimization applied to improve data rate of downlink NOMA-VLC |
| [45] | VLC | Iterative algorithm to attain an additional sum-rate gain of 10 Mbps for NOMA users compared to time division multiple access (TDMA) |
| [46] | VLC | Harris Hawks optimization to enhance sum-rate performance by jointly optimizing power allocation and placement of unmanned aerial vehicle (UAV) |
| [47] | VLC | Gradient projection (GP) algorithm to gain higher sum-rate performance than OMA |
| [48] | VLC | Interior point approach and zero forcing (ZF) pre-coding-based NOMA techniques outperform traditional NOMA and ZF |
| [49] | VLC | Energy-efficient power allocation (EPA) technique to improve energy efficiency of NOMA-based IoT networks |
| [50] | VLC | Power allocation and user pairing approaches for downlink VLC-NOMA |
| [51] | VLC | Analytical method and power allocation method for better maximum sum-rate than fixed power allocation (FPA) and GRPA |
| [52] | VLC | KKT optimality conditions to attain higher system sum-rate than FPA and NGDPA |
| [53] | Hybrid OMA and NOMA VLC | Dynamic programming-based layer-recursion model for better achievability throughput than traditional NOMA and TDMA |
| [54] | RF communication | Distance-dependent power allocation (DDPA) technique for mMIMO-aided NOMA |
| [55] | RF communication | Energy-efficient power allocation for multiple-user MIMO-NOMA |
| [56] | RF communication | Power allocation to ensure QoS requirements in NOMA systems |
| [57] | RF communication | Power allocation to ensure individual QoS requirements in downlink NOMA systems |
| [58] | RF communication | Binary continuous phase modulation (CPM) with modulation is considered into downlink symbol-asynchronous non-orthogonal multiple access (ANOMA) to improve spectral and power efficiency |
| [59] | Hybrid RF/FSO | Superior performance of FSO backhauling for high-reliability and high-throughput NOMA systems compared to RF backhauling |
| [60] | Hybrid RF/FSO | Superior outage performance for an FSO-RF system with NOMA under a dual energy harvesting (EH) mode compared to single EH mode |
| [61] | Hybrid RF/VLC | Link selection and user pairing in cooperative-NOMA |
| [62] | Hybrid RF/VLC | Outage performance and reliability improvement of cooperative-NOMA |
| Characteristics | Material-1 | Material-2 |
|---|---|---|
| Volatile substances (toluene) | 99.65 wt% | 96.51 wt% |
| Non-volatile organics | 0.06 wt% | 0.85 wt% |
| Inorganics | (QD CdSe/ZnS) 0.29 wt% | (QD CsPbBr3) 2.64 wt% |
| Density | 0.870 g/cm3 | 0.867 g/cm3 |
| QD (inorganics + ligands) Con. | 3 mg/mL | 3 mg/mL |
| Optical Performance | Material-1 | Material-2 |
|---|---|---|
| PL peak emission wavelength | 526 nm | 514 nm |
| Full wave at half maximum | 26 nm | 18 nm |
| Photoluminescence quantum yield | 86% | 80% |
| Reference | Materials | Light Source | Modulation Scheme | BER | Data Rate (Mbps) | Distance (m) |
|---|---|---|---|---|---|---|
| [17] | CdZnSeS/ZnSe1.0 S1.3 | QD blue µLEDs | NOMA | 3.24 × 10−3 | 120 | 1.5 underwater |
| [18] | Cm6 and DCM | Blue and green LEDs | OOK | 4 × 10−3 | 12 | Not provided |
| [20] | Conjugated polymer | Blue LEDs | OFDM | <FEC | 400 | 0.5 air |
| [22] | Cm6 | White LEDs | OOK | <FEC | 32 | 0.3 air |
| Our work | Material-1 (CdSe/ZnS) | Blue LD | NOMA | <FEC | 40 | 1.5 air |
| Our work | Material-2 (CsPbBr3-50) | Blue LD | NOMA | <FEC | 40 | 1.5 air |
Disclaimer/Publisher’s Note: The statements, opinions and data contained in all publications are solely those of the individual author(s) and contributor(s) and not of MDPI and/or the editor(s). MDPI and/or the editor(s) disclaim responsibility for any injury to people or property resulting from any ideas, methods, instructions or products referred to in the content. |
© 2023 by the authors. Licensee MDPI, Basel, Switzerland. This article is an open access article distributed under the terms and conditions of the Creative Commons Attribution (CC BY) license (https://creativecommons.org/licenses/by/4.0/).
Share and Cite
Mohsan, S.A.H.; Li, Y.; Zhang, Z.; Ali, A.; Xu, J. Uplink and Downlink NOMA Based on a Novel Interference Coefficient Estimation Strategy for Next-Generation Optical Wireless Networks. Photonics 2023, 10, 569. https://doi.org/10.3390/photonics10050569
Mohsan SAH, Li Y, Zhang Z, Ali A, Xu J. Uplink and Downlink NOMA Based on a Novel Interference Coefficient Estimation Strategy for Next-Generation Optical Wireless Networks. Photonics. 2023; 10(5):569. https://doi.org/10.3390/photonics10050569
Chicago/Turabian StyleMohsan, Syed Agha Hassnain, Yanlong Li, Zejun Zhang, Amjad Ali, and Jing Xu. 2023. "Uplink and Downlink NOMA Based on a Novel Interference Coefficient Estimation Strategy for Next-Generation Optical Wireless Networks" Photonics 10, no. 5: 569. https://doi.org/10.3390/photonics10050569
APA StyleMohsan, S. A. H., Li, Y., Zhang, Z., Ali, A., & Xu, J. (2023). Uplink and Downlink NOMA Based on a Novel Interference Coefficient Estimation Strategy for Next-Generation Optical Wireless Networks. Photonics, 10(5), 569. https://doi.org/10.3390/photonics10050569

