An Alternative Method to Determine the Quantum Yield of the Excited Triplet State Using Laser Flash Photolysis
Abstract
1. Introduction
2. Materials and Methods
3. Theoretical Model
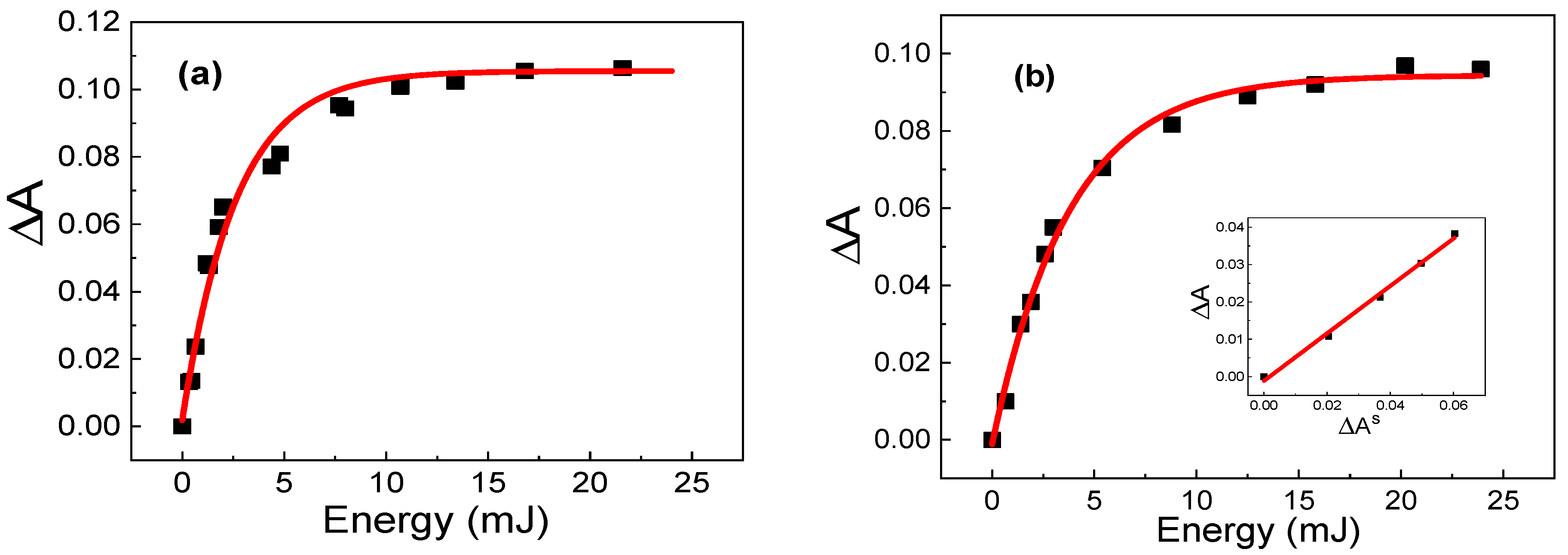
4. Determination of Value from Kinetic Data
5. Determination of φT Value from Spectroscopic Data
- (i)
- The amplitudes of the T1 state decay kinetic curves (ΔA and ) are measured in the function of the exciting pulse energy (E) for the sample and the standard.
- (ii)
- The dependences of ΔA and on the energy are fitted in accordance with an exponential function. From this fitting, the values of and are obtained.
- (iii)
- The obtained fittings are used to determine ΔA and for the same exciting energy.
- (iv)
- The dependence of ΔA upon is constructed.
6. Results and Discussions
| Sample | CS (μM) | C (μM) | ||||||||
|---|---|---|---|---|---|---|---|---|---|---|
| TPPS4 | 25.0 | 37.2 | 0.194 | 0.195 | 0.094 | 0.101 | 0.574 | 0.75 (±0.02) | 0.77 a (±0.05) | 0.77 c (±0.02) |
| ZnTMPyP | 28.9 | 64.0 | 0.234 | 0.245 | 0.225 | 0.108 | 1.087 | 0.90 (±0.03) | 0.7 b (±0.2) | 0.90 d (±0.00) |
| ZnTPPS4 | 25.0 | 49.1 | 0.194 | 0.182 | 0.221 | 0.101 | 1.132 | 0.89 (±0.03) | 0.8 b (±0.2) | 0.86 e (±0.01) |
7. Conclusions
Supplementary Materials
Author Contributions
Funding
Institutional Review Board Statement
Informed Consent Statement
Data Availability Statement
Acknowledgments
Conflicts of Interest
References
- Strieth-Kalthoff, F.; Glorius, F. Triplet Energy Transfer Photocatalysis: Unlocking the Next Level. Chem 2020, 6, 1888–1903. [Google Scholar] [CrossRef]
- Kwiatkowski, S.; Knap, B.; Przystupski, D.; Saczko, J.; Kędzierska, E.; Knap-Czop, K.; Kotlińska, J.; Michel, O.; Kotowski, K.; Kulbacka, J. Photodynamic therapy—Mechanisms, photosensitizers and combinations. Biomed. Pharmacother. 2018, 106, 1098–1107. [Google Scholar] [CrossRef] [PubMed]
- Miao, S.; Lyu, H.; Xu, J.; Bi, S.; Guo, H.; Mu, M.; Lei, S.; Zeng, S.; Liu, H. Characteristics of the chromophoric dissolved organic matter of urban black-odor rivers using fluorescence and UV-visible spectroscopy. Environ. Pollut. 2021, 268, 115763. [Google Scholar] [CrossRef]
- National Cancer Institute. Photodynamic Therapy to Treat Cancer. Available online: https://www.cancer.gov/about-cancer/treatment/types/photodynamic-therapy (accessed on 10 January 2023).
- Liu, Y.; Qin, R.; Zaat, S.A.J.; Breukink, E.; Heger, M. Antibacterial photodynamic therapy: Overview of a promising approach to fight antibiotic-resistant bacterial infections. J. Clin. Transl. Res. 2015, 1, 140–167. [Google Scholar] [PubMed]
- Conrado, P.C.V.; Sakita, K.M.; Arita, G.S.; Galinari, C.B.; Gonçalves, R.S.; Lopes, L.D.G.; Lonardoni, M.V.C.; Teixeira, J.J.V.; Bonfim-Mendonça, P.S.; Kioshima, E.S. A systematic review of photodynamic therapy as an antiviral treatment: Potential guidance for dealing with SARS-CoV-2. Photodiagn. Photodyn. Ther. 2021, 34, 102221. [Google Scholar] [CrossRef] [PubMed]
- Lyon, J.P.; Moreira, L.M.; de Moraes, P.C.; dos Santos, F.V.; de Resende, M.A. Photodynamic therapy for pathogenic fungi. Mycoses 2011, 54, e265–e271. [Google Scholar] [CrossRef]
- Bonnet, R.; Ridge, R.J.; Land, E.J.; Sinclair, R.S.; Tait, D.; Truscott, T.G. Pulsed irradiation of water-soluble porphyrins. J. Chem. Soc. Faraday Trans. Phys. Chem. Condens. Phases 1982, 78, 127–136. [Google Scholar] [CrossRef]
- Pineiro, M.; Carvalho, A.L.; Pereira, M.M.; Gonsalves, A.M.R.; Arnaut, L.G.; Formosinho, S.J. Photoacoustic measurements of porphyrin triplet-state quantum yields and singlet-oxygen efficiencies. Chemistry 1998, 4, 2299–2307. [Google Scholar] [CrossRef]
- Fletcher, B.; Grabowski, J.J. Photoacoustic calorimetry—An undergraduate physical-organic experiment. J. Chem. Educ. 2000, 77, 640–645. [Google Scholar] [CrossRef]
- Bensasson, R.; Goldschmidt, R.; Land, E.J.; Truscot, T.G. Laser Intensity and the Comparative Method for Determination of Triplet Quantum Yield. Photochem. Photobiol. 1978, 28, 277–281. [Google Scholar] [CrossRef]
- Carmichael, I.; Hug, G.L. Triplet–Triplet Absorption Spectra of Organic Molecules in Condensed Phases. J. Phys. Chem. Ref. Data 1986, 15, 321–426. [Google Scholar] [CrossRef]
- Harada, Y.; Suzuki, T.; Ichimura, T.; Xu, Y.Z. Triplet formation of 4-thiothymidine and its photosensitization to oxygen studied by time-resolved thermal lensing technique. J. Phys. Chem. B 2007, 111, 5518–5524. [Google Scholar] [CrossRef] [PubMed]
- Reindl, S.; Penzkofer, A. Triplet quantum yield determination by picosecond laser double-pulse fluorescence excitation. Chem. Phys. 1996, 213, 429–438. [Google Scholar] [CrossRef]
- De Boni, L.; Franzen, P.L.; Gonçalves, P.J.; Borissevitch, I.E.; Misoguti, L.; Mendonça, C.R.; Zilio, S.C. Pulse train fluorescence technique for measuring triplet state dynamics. Opt. Express 2011, 19, 10814. [Google Scholar] [CrossRef] [PubMed]
- Mendonça, C.R.; Gaffo, L.; Misoguti, L.; Moreira, W.C.; Oliveira, O.N., Jr.; Zilio, S.C. Characterization of dynamic optical nonlinearities in ytterbium bis-phthalocyanine solution. Chem. Phys. Lett. 2000, 323, 300–304. [Google Scholar] [CrossRef]
- Cocca, L.H.Z.; Oliveira, T.M.A.; Gotardo, F.; Teles, A.V.; Menegatti, R.; Siqueira, J.P.; Mendonça, C.R.; Bataus, L.A.M.; Ribeiro, A.O.; Souza, T.F.M.; et al. Tetracarboxy-phthalocyanines: From excited state dynamics to photodynamic inactivation against Bovine herpesvirus type 1. J. Photochem. Photobiol. B 2017, 175, 1–8. [Google Scholar] [CrossRef]
- Cocca, L.H.Z.; Gotardo, F.; Sciuti, L.F.; Acunha, T.V.; Iglesias, B.A.; De Boni, L. Investigation of excited singlet state absorption and intersystem crossing mechanism of isomeric meso-tetra(pyridyl)porphyrins containing peripheral polypyridyl platinum(II) complexes. Chem. Phys. Lett. 2018, 708, 1–10. [Google Scholar] [CrossRef]
- De Boni, L.; Monteiro, C.J.P.; Mendonça, C.R.; Zílio, S.C.; Gonçalves, P.J. Influence of halogen atoms and protonation on the photophysicalproperties of sulfonated porphyrins. Chem. Phys. Lett. 2015, 633, 146–151. [Google Scholar] [CrossRef]
- Gonçalves, P.J.; De Boni, L.; Barbosa Neto, N.M.; Rodrigues, J.J., Jr.; Zilio, S.C.; Borissevitch, I.E. Effect of protonation on the photophysical properties of meso-tetra(sulfonatophenyl) porphyrin. Chem. Phys. Lett. 2005, 407, 236–241. [Google Scholar] [CrossRef]
- Gonçalves, P.J.; Franzen, P.L.; Correa, D.S.; Almeida, L.M.; Takara, M.; Ito, A.S.; Zílio, S.C.; Borissevitch, I.E. Effects of environment on the photophysical characteristics of mesotetrakis methylpyridiniumyl porphyrin (TMPyP). Spectrochim. Acta Part A 2011, 79, 1532–1539. [Google Scholar] [CrossRef]
- Gonçalves, P.J.; Corrêa, D.S.; Franzen, P.L.; De Boni, L.; Almeida, L.M.; Mendonça, C.R.; Borissevitch, I.E.; Zílio, S.C. Effect of interaction with micelles on the excited-state optical properties of zinc porphyrins and J-aggregates formation. Spectrochim. Acta Part A 2013, 112, 309–317. [Google Scholar] [CrossRef] [PubMed]
- Gonçalves, P.J.; Barbosa Neto, N.M.; Parra, G.G.; de Boni, L.; Aggarwal, L.P.F.; Siqueira, J.P.; Misoguti, L.; Borissevitch, I.E.; Zílio, S.C. Excited-state dynamics of meso-tetrakis(sulfonatophenyl) porphyrin J-aggregates. Opt. Mater. 2012, 34, 741–747. [Google Scholar] [CrossRef]
- Gonçalves, P.J.; Bezerra, F.C.; Almeida, L.M.; Alonso, L.; Souza, G.R.L.; Alonso, A.; Zílio, S.C.; Borissevitch, I.E. Effects of bovine serum albumin (BSA) on the excited-state properties of meso-tetrakis(sulfonatophenyl) porphyrin (TPPS4). Eur. Biophys. J. 2019, 48, 721–729. [Google Scholar] [CrossRef] [PubMed]
- Borissevitch, I.E.; Ferreira, L.P.; Gonçalves, P.J.; Amado, A.M.; Schlothauer, J.C.; Baptista, M.S. Quenching of meso-tetramethylpyridyl porphyrin excited triplet state by inorganic salts: Exciplex formation. J. Photochem. Photobiol. A 2018, 367, 156–161. [Google Scholar] [CrossRef]
- Dóka, E.; Lente, G. Modeling Studies of Inhomogeneity Effects during Laser Flash Photolysis Experiments: A Reaction–Diffusion Approach. J. Phys. Chem. A 2017, 121, 2740–2747. [Google Scholar] [CrossRef]
- Bazin, M.; Ebbesen, T.W. Distortions in Laser Flash Photolysis Absorption Measurements. The Overlap Problem. Photochem. Photobiol. 1983, 37, 675–678. [Google Scholar] [CrossRef]
- Goez, M.; Fehse, D.; Brautzsch, M. Laser flash photolysis with back-reflected excitation light—Analysis and experimental verification of the improvements in excitation intensity and homogeneity by a retroreflector. J. Photochem. Photobiol. A 2013, 262, 1–6. [Google Scholar] [CrossRef]
- Zhang, X.F. Laser flash photolysis. In Encyclopedia of Physical Organic Chemistry, 1st ed.; Wang, Z., Ed.; John Wiley & Sons, Inc.: Hoboken, NJ, USA, 2017; ISBN 978-1-118-46858-6. [Google Scholar]
- Teles, A.V.; Oliveira, T.M.A.; Bezerra, F.C.; Alonso, L.; Alonso, A.; Borissevitch, I.E.; Gonçalves, P.J.; Souza, G.R.L. Photodynamic inactivation of Bovine herpesvirus type 1 (BoHV-1) by porphyrins. J. Gen. Virol. 2018, 99, 1301–1306. [Google Scholar] [CrossRef]
- Turro, N.J. Modern Molecular Photochemistry; Benjamin-Cummings: Menlo Park, CA, USA, 1978; 628p. [Google Scholar]
- Kalyanasundaram, K.; Neumann-Spallart, M. Photophysical and redox properties of water-soluble porphyrins in aqueous media. J. Phys. Chem. 1982, 86, 5163–5169. [Google Scholar] [CrossRef]
- Chirvony, V.S.; Galievsky, V.A.; Kruk, N.N.; Dzhagarov, B.M.; Turpin, P.Y. Photophysics of cationic 5,10,15,20-tetrakis-(4-N-methylpyridyl) porphyrin bound to DNA, [poly(dA-dT)]2 and [poly(dG-dC)]2: On a possible charge transfer process between guanine and porphyrin in its excited singlet state. J. Photochem. Photobiol. B 1997, 40, 154–162. [Google Scholar] [CrossRef]
- Harriman, A.; Porter, G.; Richou, M.C. Photosensitised Reduction of Water to Hydrogen using Water-soluble Zinc Porphyrins. J. Chem. Soc. Faraday Trans. 1981, 77, 833–844. [Google Scholar] [CrossRef]
- Kalyanasundaram, K. Photochemistry of Water-Soluble Porphyrins: Comparative Study of Isomeric Tetrapyridyl- and Tetrakis(N-Methylpyridiniumy1) porphyrins. Inorg. Chem. 1984, 23, 2453–2459. [Google Scholar] [CrossRef]
- Kubat, P.; Mosinger, J. Photophysical properties of metal complexes of meso-tetrakis (4-sulphonatophenyl) porphyrin. J. Photochem. Photobiol. A 1996, 96, 93–97. [Google Scholar] [CrossRef]
- Mosinger, J.; Kliment, V.; Sejbal, J.; Kubát, P.; Lang, K. Host-guest complexes of anionic porphyrin sensitizers with cyclodextrins. J. Porphyr. Phthalocyanines 2002, 6, 514. [Google Scholar] [CrossRef]
- Mosinger, J.; Micka, Z. Quantum yields of singlet oxygen of metal complexes of meso-tetrakis(sulphonatophenyl) porphine. J. Photochem. Photobiol. A 1997, 107, 77–82. [Google Scholar] [CrossRef]





Disclaimer/Publisher’s Note: The statements, opinions and data contained in all publications are solely those of the individual author(s) and contributor(s) and not of MDPI and/or the editor(s). MDPI and/or the editor(s) disclaim responsibility for any injury to people or property resulting from any ideas, methods, instructions or products referred to in the content. |
© 2023 by the authors. Licensee MDPI, Basel, Switzerland. This article is an open access article distributed under the terms and conditions of the Creative Commons Attribution (CC BY) license (https://creativecommons.org/licenses/by/4.0/).
Share and Cite
Borissevitch, I.E.; Silveira-Alves, E., Jr.; Almeida, C.G.L.; Souza, G.R.L.; Sokolov, S.S.; Gonçalves, P.J. An Alternative Method to Determine the Quantum Yield of the Excited Triplet State Using Laser Flash Photolysis. Photonics 2023, 10, 409. https://doi.org/10.3390/photonics10040409
Borissevitch IE, Silveira-Alves E Jr., Almeida CGL, Souza GRL, Sokolov SS, Gonçalves PJ. An Alternative Method to Determine the Quantum Yield of the Excited Triplet State Using Laser Flash Photolysis. Photonics. 2023; 10(4):409. https://doi.org/10.3390/photonics10040409
Chicago/Turabian StyleBorissevitch, Iouri Evgenievitch, Eli Silveira-Alves, Jr., Claudio Gabriel Lemos Almeida, Guilherme Rocha Lino Souza, Svyatoslav Sergeevich Sokolov, and Pablo José Gonçalves. 2023. "An Alternative Method to Determine the Quantum Yield of the Excited Triplet State Using Laser Flash Photolysis" Photonics 10, no. 4: 409. https://doi.org/10.3390/photonics10040409
APA StyleBorissevitch, I. E., Silveira-Alves, E., Jr., Almeida, C. G. L., Souza, G. R. L., Sokolov, S. S., & Gonçalves, P. J. (2023). An Alternative Method to Determine the Quantum Yield of the Excited Triplet State Using Laser Flash Photolysis. Photonics, 10(4), 409. https://doi.org/10.3390/photonics10040409

