Multistage Positron Acceleration by an Electron Beam-Driven Strong Terahertz Radiation
Abstract
1. Introduction
2. Terahertz Wave Generation and Positron Beam Acceleration
2.1. Overview of the Scheme
2.2. Generation of Coherent THz Radiation
2.3. THz-Driven Positron Acceleration
3. Discussion
3.1. Parametric Influences
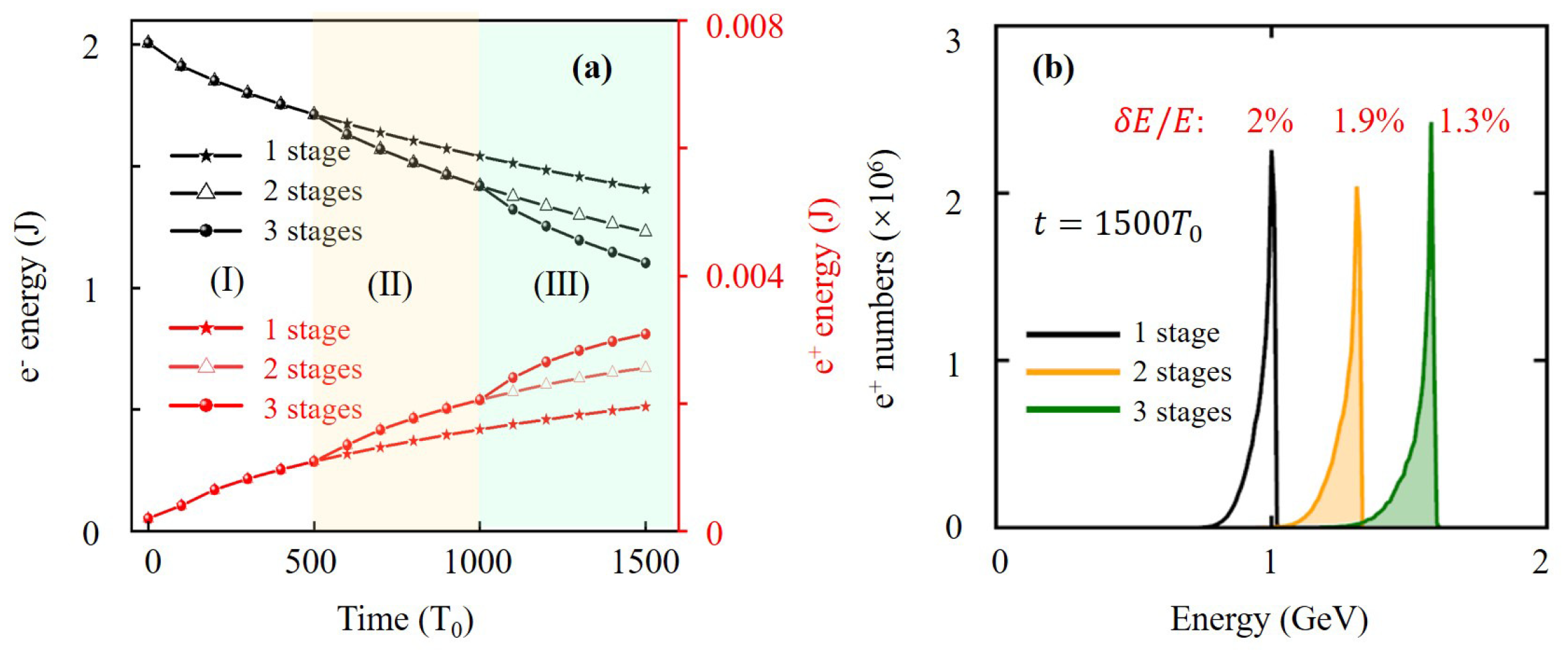
3.2. Multistage Positron Acceleration
4. Conclusions
Author Contributions
Funding
Institutional Review Board Statement
Informed Consent Statement
Data Availability Statement
Acknowledgments
Conflicts of Interest
References
- Dirac, P.A. The Quantum Theory of the Electron. Proc. R. Soc. Lond. A 1928, 117, 610–624. [Google Scholar]
- Wu, Z.; de Krom, T.; Colombi, G.; Chaykina, D.; van Hattem, G.; Schut, H.; Dickmann, M.; Egger, W.; Hugenschmidt, C.; Brück, E.; et al. Formation of Vacancies and Metallic-like Domains in Photochromic Rare-Earth Oxyhydride Thin Films Studied by in-Situ Illumination Positron Annihilation Spectroscopy. Phys. Rev. Mater. 2022, 6, 065201. [Google Scholar] [CrossRef]
- Guedj, E.; McGonigal, A.; Vaugier, L.; Mundler, O.; Bartolomei, F. Metabolic Brain PET Pattern Underlying Hyperkinetic Seizures. Epilepsy Res. 2012, 101, 237–245. [Google Scholar] [CrossRef] [PubMed]
- Treglia, G.; Piccardo, A.; Garibotto, V. [18F]FDOPA Positron Emission Tomography for Cardiac Innervation Imaging: A New Way or a Dead-End Street? Clin. Auton. Res. 2022, 32, 399–401. [Google Scholar] [CrossRef] [PubMed]
- Dickmann, M.; Egger, W.; Kögel, G.; Vohburger, S.; Hugenschmidt, C. Upgrade of the NEPOMUC Remoderator. Acta Phys. Pol. A 2020, 137, 149–151. [Google Scholar] [CrossRef]
- Danielson, J.R.; Dubin, D.H.E.; Greaves, R.G.; Surko, C.M. Plasma and Trap-Based Techniques for Science with Positrons. Rev. Mod. Phys. 2015, 87, 247–306. [Google Scholar] [CrossRef]
- Wardle, J.F.C.; Homan, D.C.; Ojha, R.; Roberts, D.H. Electron–Positron Jets Associated with the Quasar 3C279. Nature 1998, 395, 457–461. [Google Scholar] [CrossRef]
- Shiltsev, V.; Zimmermann, F. Modern and Future Colliders. Rev. Mod. Phys. 2021, 93, 015006. [Google Scholar] [CrossRef]
- Schwinger, J. On Gauge Invariance and Vacuum Polarization. Phys. Rev. 1951, 82, 664–679. [Google Scholar] [CrossRef]
- Bethe, H.A.; Heitler, W. On the Stopping of Fast Particles and on the Creation of Positive Electrons. Proc. R. Soc. Lond. A 1934, 146, 83–112. [Google Scholar]
- Cowan, T.; Perry, M.; Key, M.; Ditmire, T.; Hatchett, S.; Henry, E.; Moody, J.; Moran, M.; Pennington, D.; Phillips, T.; et al. High Energy Electrons, Nuclear Phenomena and Heating in Petawatt Laser-Solid Experiments. Laser Part. Beams 1999, 17, 773–783. [Google Scholar] [CrossRef]
- Xu, Z.; Yi, L.; Shen, B.; Xu, J.; Ji, L.; Xu, T.; Zhang, L.; Li, S.; Xu, Z. Driving Positron Beam Acceleration with Coherent Transition Radiation. Commun. Phys. 2020, 3, 191. [Google Scholar] [CrossRef]
- Shearer, J.W.; Garrison, J.; Wong, J.; Swain, J.E. Pair Production by Relativistic Electrons from an Intense Laser Focus. Phys. Rev. A 1973, 8, 1582–1588. [Google Scholar] [CrossRef]
- Breit, G.; Wheeler, J.A. Collision of Two Light Quanta. Phys. Rev. 1934, 46, 1087–1091. [Google Scholar] [CrossRef]
- Bula, C.; McDonald, K.T.; Prebys, E.J.; Bamber, C.; Boege, S.; Kotseroglou, T.; Melissinos, A.C.; Meyerhofer, D.D.; Ragg, W.; Burke, D.L.; et al. Observation of Nonlinear Effects in Compton Scattering. Phys. Rev. Lett. 1996, 76, 3116–3119. [Google Scholar] [CrossRef] [PubMed]
- Burke, D.L.; Field, R.C.; Horton-Smith, G.; Spencer, J.E.; Walz, D.; Berridge, S.C.; Bugg, W.M.; Shmakov, K.; Weidemann, A.W.; Bula, C.; et al. Positron Production in Multiphoton Light-by-Light Scattering. Phys. Rev. Lett. 1997, 79, 1626. [Google Scholar] [CrossRef]
- Bamber, C.; Boege, S.J.; Koffas, T.; Kotseroglou, T.; Melissinos, A.C.; Meyerhofer, D.D.; Reis, D.A.; Ragg, W.; Bula, C.; McDonald, K.T.; et al. Studies of Nonlinear QED in Collisions of 46.6 GeV Electrons with Intense Laser Pulses. Phys. Rev. D 1999, 60, 092004. [Google Scholar] [CrossRef]
- Adam, J.; Adamczyk, L.; Adams, J.R.; Adkins, J.K.; Agakishiev, G.; Aggarwal, M.M.; Ahammed, Z.; Alekseev, I.; Anderson, D.M.; Aparin, A.; et al. Measurement of e + e-Momentum and Angular Distributions from Linearly Polarized Photon Collisions. Phys. Rev. Lett. 2021, 127, 052302. [Google Scholar] [CrossRef]
- Ridgers, C.P.; Brady, C.S.; Duclous, R.; Kirk, J.G.; Bennett, K.; Arber, T.D.; Bell, A.R. Dense Electron-Positron Plasmas and Bursts of Gamma-Rays from Laser-Generated Quantum Electrodynamic Plasmas. Phys. Plasmas 2013, 20, 056701. [Google Scholar] [CrossRef]
- Nerush, E.N.; Kostyukov, I.Y.; Fedotov, A.M.; Narozhny, N.B.; Elkina, N.V.; Ruhl, H. Laser Field Absorption in Self-Generated Electron-Positron Pair Plasma. Phys. Rev. Lett. 2011, 106, 035001. [Google Scholar] [CrossRef]
- Grismayer, T.; Vranic, M.; Martins, J.L.; Fonseca, R.A.; Silva, L.O. Laser Absorption via QED Cascades in Counter Propagating Laser Pulses. Phys. Plasmas 2016, 23, 056706. [Google Scholar] [CrossRef]
- Lobet, M.; Davoine, X.; d’Humières, E.; Gremillet, L. Generation of High-Energy Electron-Positron Pairs in the Collision of a Laser-Accelerated Electron Beam with a Multipetawatt Laser. Phys. Rev. Accel. Beams 2017, 20, 043401. [Google Scholar] [CrossRef]
- Zhu, X.L.; Yu, T.P.; Sheng, Z.M.; Yin, Y.; Turcu, I.C.E.; Pukhov, A. Dense GeV Electron–Positron Pairs Generated by Lasers in near-Critical-Density Plasmas. Nat. Commun. 2016, 7, 13686. [Google Scholar] [CrossRef] [PubMed]
- Yu, J.Q.; Lu, H.Y.; Takahashi, T.; Hu, R.H.; Gong, Z.; Ma, W.J.; Huang, Y.S.; Chen, C.E.; Yan, X.Q. Creation of Electron-Positron Pairs in Photon-Photon Collisions Driven by 10-PW Laser Pulses. Phys. Rev. Lett. 2019, 122, 014802. [Google Scholar] [CrossRef] [PubMed]
- Zhao, J.; Hu, Y.T.; Lu, Y.; Zhang, H.; Hu, L.X.; Zhu, X.L.; Sheng, Z.M.; Turcu, I.C.E.; Pukhov, A.; Shao, F.Q.; et al. All-Optical Quasi-Monoenergetic GeV Positron Bunch Generation by Twisted Laser Fields. Commun. Phys. 2022, 5, 1–10. [Google Scholar] [CrossRef]
- Del Sorbo, D.; Blackman, D.R.; Capdessus, R.; Small, K.; Slade-Lowther, C.; Luo, W.; Duff, M.J.; Robinson, A.P.L.; McKenna, P.; Sheng, Z.M.; et al. Efficient Ion Acceleration and Dense Electron–Positron Plasma Creation in Ultra-High Intensity Laser-Solid Interactions. New J. Phys. 2018, 20, 033014. [Google Scholar] [CrossRef]
- Zhu, X.L.; Chen, M.; Yu, T.P.; Weng, S.M.; He, F.; Sheng, Z.M. Collimated GeV Attosecond Electron–Positron Bunches from a Plasma Channel Driven by 10 PW Lasers. Matter Radiat. Extrem. 2019, 4, 014401. [Google Scholar] [CrossRef]
- Danson, C.N.; Haefner, C.; Bromage, J.; Butcher, T.; Chanteloup, J.C.F.; Chowdhury, E.A.; Galvanauskas, A.; Gizzi, L.A.; Hein, J.; Hillier, D.I.; et al. Petawatt and Exawatt Class Lasers Worldwide. High Power Laser Sci. Eng. 2019, 7, e54. [Google Scholar] [CrossRef]
- Wang, X.; Liu, X.; Lu, X.; Chen, J.; Long, Y.; Li, W.; Chen, H.; Chen, X.; Bai, P.; Li, Y.; et al. 13.4 Fs, 0.1 Hz OPCPA Front End for the 100 PW-Class Laser Facility. Ultrafast Sci. 2022, 2022, 9894358. [Google Scholar] [CrossRef]
- Yoon, J.W.; Kim, Y.G.; Choi, I.W.; Sung, J.H.; Lee, H.W.; Lee, S.K.; Nam, C.H. Realization of Laser Intensity over 10 23 W/Cm 2. Optica 2021, 8, 630. [Google Scholar] [CrossRef]
- Lureau, F.; Matras, G.; Chalus, O.; Derycke, C.; Morbieu, T.; Radier, C.; Casagrande, O.; Laux, S.; Ricaud, S.; Rey, G.; et al. High-Energy Hybrid Femtosecond Laser System Demonstrating 2 × 10 PW Capability. High Pow Laser Sci. Eng. 2020, 8, e43. [Google Scholar] [CrossRef]
- Yakimenko, V.; Alsberg, L.; Bong, E.; Bouchard, G.; Clarke, C.; Emma, C.; Green, S.; Hast, C.; Hogan, M.J.; Seabury, J.; et al. FACET-II Facility for Advanced Accelerator Experimental Tests. Phys. Rev. Accel. Beams 2019, 22, 101301. [Google Scholar] [CrossRef]
- Tanaka, K.A.; Spohr, K.M.; Balabanski, D.L.; Balascuta, S.; Capponi, L.; Cernaianu, M.O.; Cuciuc, M.; Cucoanes, A.; Dancus, I.; Dhal, A.; et al. Current Status and Highlights of the ELI-NP Research Program. Matter Radiat. Extrem. 2020, 5, 024402. [Google Scholar] [CrossRef]
- Benedetti, C.; Bulanov, S.S.; Esarey, E.; Gonsalves, C.G.R.G.A.J.; Jacobs, P.M.; Knapen, S.; Nachman, B.; Nakamura, K.; Griso, S.P.; Schroeder, C.B.; et al. Whitepaper Submitted to Snowmass21: Advanced Accelerator Linear Collider Demonstration Facility at Intermediate Energy. arXiv 2022, arXiv:2203.08425. [Google Scholar]
- Gonsalves, A.J.; Nakamura, K.; Daniels, J.; Benedetti, C.; Pieronek, C.; de Raadt, T.C.H.; Steinke, S.; Bin, J.H.; Bulanov, S.S.; van Tilborg, J.; et al. Petawatt Laser Guiding and Electron Beam Acceleration to 8 GeV in a Laser-Heated Capillary Discharge Waveguide. Phys. Rev. Lett. 2019, 122, 084801. [Google Scholar] [CrossRef] [PubMed]
- Esirkepov, T.; Bulanov, S.V.; Yamagiwa, M.; Tajima, T. Electron, Positron, and Photon Wakefield Acceleration: Trapping, Wake Overtaking, and Ponderomotive Acceleration. Phys. Rev. Lett. 2006, 96, 014803. [Google Scholar] [CrossRef]
- Gessner, S.; Adli, E.; Allen, J.M.; An, W.; Clarke, C.I.; Clayton, C.E.; Corde, S.; Delahaye, J.P.; Frederico, J.; Green, S.Z.; et al. Demonstration of a Positron Beam-Driven Hollow Channel Plasma Wakefield Accelerator. Nat. Commun. 2016, 7, 11785. [Google Scholar] [CrossRef]
- Vieira, J.; Mendonça, J.T. Nonlinear Laser Driven Donut Wakefields for Positron and Electron Acceleration. Phys. Rev. Lett. 2014, 112, 215001. [Google Scholar] [CrossRef]
- Corde, S.; Adli, E.; Allen, J.M.; An, W.; Clarke, C.I.; Clayton, C.E.; Delahaye, J.P.; Frederico, J.; Gessner, S.; Green, S.Z.; et al. Multi-Gigaelectronvolt Acceleration of Positrons in a Self-Loaded Plasma Wakefield. Nature 2015, 524, 442–445. [Google Scholar] [CrossRef]
- Zhou, S.; Hua, J.; Lu, W.; Mori, W.B.; Joshi, C. High Efficiency Uniform Wakefield Acceleration of a Positron Beam Using Stable Asymmetric Mode in a Hollow Channel Plasma. Phys. Rev. Lett. 2021, 127, 174801. [Google Scholar] [CrossRef]
- Jain, N.; Antonsen, T.M.; Palastro, J.P. Positron Acceleration by Plasma Wakefields Driven by a Hollow Electron Beam. Phys. Rev. Lett. 2015, 115, 195001. [Google Scholar] [CrossRef] [PubMed]
- Yan, Y.; Wu, Y.; Chen, J.; Yu, M.; Dong, K.; Gu, Y. Positron Acceleration by Sheath Field in Ultra-Intense Laser–Solid Interactions. Plasma Phys. Control. Fusion 2017, 59, 045015. [Google Scholar] [CrossRef]
- Hibberd, M.T.; Healy, A.L.; Lake, D.S.; Georgiadis, V.; Smith, E.J.H.; Finlay, O.J.; Pacey, T.H.; Jones, J.K.; Saveliev, Y.; Walsh, D.A.; et al. Acceleration of Relativistic Beams Using Laser-Generated Terahertz Pulses. Nat. Photonics 2020, 14, 755–759. [Google Scholar] [CrossRef]
- Xu, H.; Yan, L.; Du, Y.; Huang, W.; Tian, Q.; Li, R.; Liang, Y.; Gu, S.; Shi, J.; Tang, C. Cascaded High-Gradient Terahertz-Driven Acceleration of Relativistic Electron Beams. Nat. Photonics 2021, 15, 426–430. [Google Scholar] [CrossRef]
- Tang, H.; Zhao, L.; Zhu, P.; Zou, X.; Qi, J.; Cheng, Y.; Qiu, J.; Hu, X.; Song, W.; Xiang, D.; et al. Stable and Scalable Multistage Terahertz-Driven Particle Accelerator. Phys. Rev. Lett. 2021, 127, 074801. [Google Scholar] [CrossRef]
- Kealhofer, C.; Schneider, W.; Ehberger, D.; Ryabov, A.; Krausz, F.; Baum, P. All-Optical Control and Metrology of Electron Pulses. Science 2016, 352, 429–433. [Google Scholar] [CrossRef]
- Nanni, E.A.; Huang, W.R.; Hong, K.H.; Ravi, K.; Fallahi, A.; Moriena, G.; Dwayne Miller, R.J.; Kärtner, F.X. Terahertz-Driven Linear Electron Acceleration. Nat. Commun. 2015, 6, 8486. [Google Scholar] [CrossRef]
- Sampath, A.; Davoine, X.; Corde, S.; Gremillet, L.; Gilljohann, M.; Sangal, M.; Keitel, C.H.; Ariniello, R.; Cary, J.; Ekerfelt, H.; et al. Extremely Dense Gamma-Ray Pulses in Electron Beam-Multifoil Collisions. Phys. Rev. Lett. 2021, 126, 064801. [Google Scholar] [CrossRef]
- Hu, Y.T.; Zhao, J.; Zhang, H.; Lu, Y.; Wang, W.Q.; Hu, L.X.; Shao, F.Q.; Yu, T.P. Attosecond γ-Ray Vortex Generation in near-Critical-Density Plasma Driven by Twisted Laser Pulses. Appl. Phys. Lett. 2021, 118, 054101. [Google Scholar] [CrossRef]
- Downer, M.C.; Zgadzaj, R.; Debus, A.; Schramm, U.; Kaluza, M.C. Diagnostics for Plasma-Based Electron Accelerators. Rev. Mod. Phys. 2018, 90, 035002. [Google Scholar] [CrossRef]
- Carron, N.J. Fields of Particles and Beams Exiting a Conductor. PIER 2000, 28, 147–183. [Google Scholar] [CrossRef]
- Schroeder, C.B.; Esarey, E.; van Tilborg, J.; Leemans, W.P. Theory of Coherent Transition Radiation Generated at a Plasma-Vacuum Interface. Phys. Rev. E 2004, 69, 016501. [Google Scholar] [CrossRef] [PubMed]








Disclaimer/Publisher’s Note: The statements, opinions and data contained in all publications are solely those of the individual author(s) and contributor(s) and not of MDPI and/or the editor(s). MDPI and/or the editor(s) disclaim responsibility for any injury to people or property resulting from any ideas, methods, instructions or products referred to in the content. |
© 2023 by the authors. Licensee MDPI, Basel, Switzerland. This article is an open access article distributed under the terms and conditions of the Creative Commons Attribution (CC BY) license (https://creativecommons.org/licenses/by/4.0/).
Share and Cite
Zhao, J.; Hu, Y.-T.; Zhang, H.; Lu, Y.; Hu, L.-X.; Shao, F.-Q.; Yu, T.-P. Multistage Positron Acceleration by an Electron Beam-Driven Strong Terahertz Radiation. Photonics 2023, 10, 364. https://doi.org/10.3390/photonics10040364
Zhao J, Hu Y-T, Zhang H, Lu Y, Hu L-X, Shao F-Q, Yu T-P. Multistage Positron Acceleration by an Electron Beam-Driven Strong Terahertz Radiation. Photonics. 2023; 10(4):364. https://doi.org/10.3390/photonics10040364
Chicago/Turabian StyleZhao, Jie, Yan-Ting Hu, Hao Zhang, Yu Lu, Li-Xiang Hu, Fu-Qiu Shao, and Tong-Pu Yu. 2023. "Multistage Positron Acceleration by an Electron Beam-Driven Strong Terahertz Radiation" Photonics 10, no. 4: 364. https://doi.org/10.3390/photonics10040364
APA StyleZhao, J., Hu, Y.-T., Zhang, H., Lu, Y., Hu, L.-X., Shao, F.-Q., & Yu, T.-P. (2023). Multistage Positron Acceleration by an Electron Beam-Driven Strong Terahertz Radiation. Photonics, 10(4), 364. https://doi.org/10.3390/photonics10040364

