Polarization-Independent Ultra Wideband RCS Reduction Conformal Coding Metasurface Based on Integrated Polarization Conversion-Diffusion-Absorption Mechanism
Abstract
1. Introduction
2. Design, Analysis and Optimization of a Polarization Conversion Absorber Meta-Atom
2.1. Geometric Configuration and Analysis of a Meta-Atom
2.2. Absorption Mechanism and Impedence Matching
2.3. Polarization Conversion Mechanism
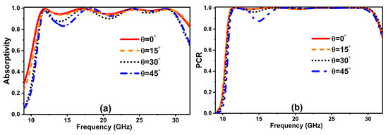
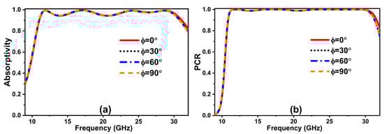
2.4. Polarization and Incidence Angle Variations
3. Configuration and Analysis of a Coding Metasurface for RCS Reduction
3.1. Planar Metasurface
3.2. Parametric Analysis
3.3. Conformal Metasurface
4. Conclusions
Author Contributions
Funding
Institutional Review Board Statement
Informed Consent Statement
Conflicts of Interest
References
- Jayalakshmi, C.; Inamdar, A.; Anand, A.; Kandasubramanian, B. Polymer matrix composites as broadband radar absorbing structures for stealth aircrafts. J. Appl. Polym. Sci. 2019, 136, 47241. [Google Scholar] [CrossRef]
- Banga, N. Research Article Research on Stealth Aircraft and Its Effect on Radar System in Modern Warfare. Int. J. Curr. Res. 2017, 9, 55654–55658. [Google Scholar]
- Sang, D.; Chen, Q.; Ding, L.; Guo, M.; Fu, Y. Design of checkerboard AMC structure for wideband RCS reduction. IEEE Trans. Antennas Propag. 2019, 67, 2604–2612. [Google Scholar] [CrossRef]
- Joy, V.; Dileep, A.; Abhilash, P.; Nair, R.U.; Singh, H. Metasurfaces for stealth applications: A comprehensive review. J. Electron. Mater. 2021, 50, 3129–3148. [Google Scholar] [CrossRef]
- Lu, C.; Mei, Z.L.; Tang, W.X.; Cui, T.J. Manipulating scattering features by metamaterials. EPJ Appl. Metamater. 2016, 3, 3. [Google Scholar] [CrossRef]
- Xu, H.X.; Ma, S.; Ling, X.; Zhang, X.K.; Tang, S.; Cai, T.; Sun, S.; He, Q.; Zhou, L. Deterministic approach to achieve broadband polarization-independent diffusive scatterings based on metasurfaces. ACS Photonics 2017, 5, 1691–1702. [Google Scholar] [CrossRef]
- Zhu, H.; Li, Q.; Tao, C.; Hong, Y.; Xu, Z.; Shen, W.; Kaur, S.; Ghosh, P.; Qiu, M. Multispectral camouflage for infrared, visible, lasers and microwave with radiative cooling. Nat. Commun. 2021, 12, 1805. [Google Scholar] [CrossRef]
- Chen, Z.; Segev, M. Highlighting photonics: Looking into the next decade. ELight 2021, 1, 2. [Google Scholar] [CrossRef]
- Song, S.; Ma, X.; Pu, M.; Li, X.; Guo, Y.; Gao, P.; Luo, X. Tailoring active color rendering and multiband photodetection in a vanadium-dioxide-based metamaterial absorber. Photonics Res. 2018, 6, 492–497. [Google Scholar] [CrossRef]
- Fu, C.; Sun, Z.; Han, L.; Liu, C. Dual-bandwidth linear polarization converter based on anisotropic metasurface. IEEE Photonics J. 2020, 12, 1–11. [Google Scholar] [CrossRef]
- Jia, M.; Wang, Z.; Li, H.; Wang, X.; Luo, W.; Sun, S.; Zhang, Y.; He, Q.; Zhou, L. Efficient manipulations of circularly polarized terahertz waves with transmissive metasurfaces. Light Sci. Appl. 2019, 8, 16. [Google Scholar] [CrossRef] [PubMed]
- Kowerdziej, R.; Jaroszewicz, L.; Olifierczuk, M.; Parka, J. Experimental study on terahertz metamaterial embedded in nematic liquid crystal. Appl. Phys. Lett. 2015, 106, 092905. [Google Scholar] [CrossRef]
- Yatooshi, T.; Ishikawa, A.; Tsuruta, K. Terahertz wavefront control by tunable metasurface made of graphene ribbons. Appl. Phys. Lett. 2015, 107, 053105. [Google Scholar] [CrossRef]
- Nouman, M.T.; Hwang, J.H.; Faiyaz, M.; Lee, K.J.; Noh, D.Y.; Jang, J.H. Vanadium dioxide based frequency tunable metasurface filters for realizing reconfigurable terahertz optical phase and polarization control. Opt. Express 2018, 26, 12922–12929. [Google Scholar] [CrossRef]
- Li, J.S.; Zhou, C. Transmission-type terahertz beam splitter through all-dielectric metasurface. J. Phys. D Appl. Phys. 2020, 54, 085105. [Google Scholar] [CrossRef]
- Huang, S.; Fan, Q.; Xu, C.; Wang, B.; Wang, J.; Yang, B.; Tian, C.; Meng, Z. A visible-light-transparent camouflage-compatible flexible metasurface for infrared–radar stealth applications. J. Phys. D Appl. Phys. 2020, 54, 015001. [Google Scholar] [CrossRef]
- Chen, W.; Balanis, C.A.; Birtcher, C.R. Checkerboard EBG surfaces for wideband radar cross section reduction. IEEE Trans. Antennas Propag. 2015, 63, 2636–2645. [Google Scholar] [CrossRef]
- Munk, B.A.; Munk, P.; Pryor, J. On designing Jaumann and circuit analog absorbers (CA absorbers) for oblique angle of incidence. IEEE Trans. Antennas Propag. 2007, 55, 186–193. [Google Scholar] [CrossRef]
- Song, J.; Wu, X.; Huang, C.; Yang, J.; Ji, C.; Zhang, C.; Luo, X. Broadband and tunable RCS reduction using high-order reflections and salisbury-type absorption mechanisms. Sci. Rep. 2019, 9, 9036. [Google Scholar] [CrossRef]
- Wang, X.; Du, Z.; Hou, M.; Ding, Z.; Jiang, C.; Huang, X.; Yue, J. Design method of structural microwave absorber by frequency characteristic analysis of reflectivity function. Opt. Commun. 2022, 510, 127885. [Google Scholar] [CrossRef]
- Rafique, U.; Kiani, G.I.; Ahmed, M.; Habib, S. Frequency selective surface absorber for WLAN security. In Proceedings of the Proceedings of the 5th European Conference on Antennas and Propagation (EUCAP), Rome, Italy, 11–15 April 2011; pp. 872–875. [Google Scholar]
- Zhang, Y.; Miao, L.; Guo, S.; Huang, Z.; Cao, Z.; He, Y.; Wei, J.; Li, C.; Jiang, J. A broadband tunable frequency selective surface absorber for oblique incidence applications. J. Phys. D Appl. Phys. 2019, 53, 055105. [Google Scholar] [CrossRef]
- Li, W.; Zhang, Y.; Wu, T.; Cao, J.; Chen, Z.; Guan, J. Broadband radar cross section reduction by in-plane integration of scattering metasurfaces and magnetic absorbing materials. Results Phys. 2019, 12, 1964–1970. [Google Scholar] [CrossRef]
- Zhang, C.; Yin, S.; Long, C.; Dong, B.W.; He, D.; Cheng, Q. Hybrid metamaterial absorber for ultra-low and dual-broadband absorption. Opt. Express 2021, 29, 14078–14086. [Google Scholar] [CrossRef] [PubMed]
- Min, P.; Song, Z.; Yang, L.; Dai, B.; Zhu, J. Transparent ultrawideband absorber based on simple patterned resistive metasurface with three resonant modes. Opt. Express 2020, 28, 19518–19530. [Google Scholar] [CrossRef] [PubMed]
- Liu, P.; Li, W.; Chen, N.; Ma, C.; Li, X.; Yan, D. Enhancing the Terahertz Absorption Spectrum Based on the Low Refractive Index All-Dielectric Metasurface. Photonics 2022, 9, 848. [Google Scholar] [CrossRef]
- Khan, H.A.; Huang, C.; Xiao, Q.; Abbas, S.M. Polarization-Dependent Coding Metasurface with Switchable Transmission and RCS Reduction Bands. Micromachines 2023, 14, 78. [Google Scholar] [CrossRef] [PubMed]
- Li, S.; Li, J. Manipulating terahertz wave and reducing radar cross section (RCS) by combining a Pancharatnam–Berry phase with a coding metasurface. Laser Phys. 2019, 29, 075403. [Google Scholar] [CrossRef]
- Yuan, F.; Chen, Q.; Zheng, Y.; Fu, Y. Dual-Mechanism Absorptive Metasurface with Wideband 20 dB RCS Reduction. Crystals 2022, 12, 493. [Google Scholar] [CrossRef]
- Zhu, Z.; Li, Y.; Jing, Y.; Wang, J.; Zhang, J.; Qu, S. Ultra-wideband RCS reduction based on coupling effects between beam diffuse and absorptive structures. Opt. Express 2022, 30, 3820–3834. [Google Scholar] [CrossRef]
- Ran, Y.; Shi, L.; Wu, S.; Fan, B.; Jin, X.; Ji, D.; Ma, Y.; Li, J.; Liu, Y.; Wang, J. Optically Transparent Low Scattering Metasurface Based on Polarization Conversion-Diffusion-Absorption Integration Mechanism. Adv. Theory Simul. 2022, 5, 2100531. [Google Scholar] [CrossRef]
- Hu, S.; Du, W.; Zhang, D.; Xu, W.; Chen, X.; Zhang, X. Multi-Channel Polarization Manipulation Based on All-Dielectric Metasurface. Photonics 2022, 9, 847. [Google Scholar] [CrossRef]
- Ruffato, G.; Capaldo, P.; Massari, M.; Mezzadrelli, A.; Romanato, F. Pancharatnam–Berry optical elements for spin and orbital angular momentum division demultiplexing. Photonics 2018, 5, 46. [Google Scholar] [CrossRef]
- Kalraiya, S.; Ameen, M.; Chaudhary, R.K.; Gangwar, R.K. Compact ultrathin conformal metamaterial dual-band absorber for curved surfaces. Int. J. RF Microwave Comput.-Aided Eng. 2019, 29, e21929. [Google Scholar] [CrossRef]
- Chen, H.; Ma, H.; Wang, J.; Qu, S.; Pang, Y.; Yan, M.; Li, Y. Ultra-wideband transparent 90∘ polarization conversion metasurfaces. Appl. Phys. A 2016, 122, 1–5. [Google Scholar] [CrossRef]
- Chen, H.Y.; Wang, J.F.; Ma, H.; Qu, S.B.; Zhang, J.Q.; Xu, Z.; Zhang, A.X. Broadband perfect polarization conversion metasurfaces. Chin. Phys. B 2015, 24, 014201. [Google Scholar] [CrossRef]
- Khan, M.I.; Fraz, Q.; Tahir, F.A. Ultra-wideband cross polarization conversion metasurface insensitive to incidence angle. J. Appl. Phys. 2017, 121, 045103. [Google Scholar] [CrossRef]
- Liang, Y.; Lin, H.; Lin, S.; Wu, J.; Li, W.; Meng, F.; Yang, Y.; Huang, X.; Jia, B.; Kivshar, Y. Hybrid anisotropic plasmonic metasurfaces with multiple resonances of focused light beams. Nano Lett. 2021, 21, 8917–8923. [Google Scholar] [CrossRef]
- Smith, D.R. Analytic expressions for the constitutive parameters of magnetoelectric metamaterials. Phys. Rev. E 2010, 81, 036605. [Google Scholar] [CrossRef]
- Rahman, S.U.; Yi, W.; Cao, Q. Comments on “An Ultrathin and Ultrawideband Metamaterial Absorber and an Equivalent-Circuit Parameter Retrieval Method”. IEEE Trans. Antennas Propag. 2020, 68, 8272–8273. [Google Scholar] [CrossRef]
- Nguyen, T.K.T.; Nguyen, T.M.; Nguyen, H.Q.; Cao, T.N.; Le, D.T.; Bui, X.K.; Bui, S.T.; Truong, C.L.; Vu, D.L.; Nguyen, T.Q.H. Simple design of efficient broadband multifunctional polarization converter for X-band applications. Sci. Rep. 2021, 11, 2032. [Google Scholar] [CrossRef]
- Xu, J.; Li, R.; Wang, S.; Han, T. Ultra-broadband linear polarization converter based on anisotropic metasurface. Opt. Express 2018, 26, 26235–26241. [Google Scholar] [CrossRef] [PubMed]
- Fang, S.; Deng, L.; Zhang, P.; Qiu, L.; Xie, H.; Huang, S.; Du, J.; Wang, Z. Dual-function flexible metasurface for absorption and polarization conversion and its application for radar cross section reduction. J. Appl. Phys. 2022, 131, 135106. [Google Scholar] [CrossRef]
- Cui, T.J.; Qi, M.Q.; Wan, X.; Zhao, J.; Cheng, Q. Coding metamaterials, digital metamaterials and programmable metamaterials. Light Sci. Appl. 2014, 3, e218. [Google Scholar] [CrossRef]
- Murugesan, A.; Natarajan, D.; Selvan, K.T. Low-cost, wideband checkerboard metasurfaces for monostatic RCS reduction. IEEE Antennas Wirel. Propag. Lett. 2021, 20, 493–497. [Google Scholar] [CrossRef]
- Feng, M.; Chen, X.; Li, Y.; Zheng, Q.; Han, Y.; Zhang, J.; Wang, J.; Hou, Y.; Liu, Z.; Li, X.; et al. Circularly Polarized Spin-Selectivity Absorbing Coding Phase Gradient Metasurface for RCS Reduction. Adv. Theory Simul. 2020, 3, 1900217. [Google Scholar] [CrossRef]
- Chatterjee, J.; Mohan, A.; Dixit, V. Ultrawideband RCS Reduction of Planar and Conformal Surfaces Using Ultrathin Polarization Conversion Metasurface. IEEE Access 2022, 10, 36563–36575. [Google Scholar] [CrossRef]
- Yuan, F.; Xu, H.X.; Jia, X.Q.; Wang, G.M.; Fu, Y.Q. RCS reduction based on concave/convex-chessboard random parabolic-phased metasurface. IEEE Trans. Antennas Propag. 2019, 68, 2463–2468. [Google Scholar] [CrossRef]
- Qi, Y.; Zhang, B.; Liu, C.; Deng, X. Ultra-broadband polarization conversion meta-surface and its application in polarization converter and RCS reduction. IEEE Access 2020, 8, 116675–116684. [Google Scholar] [CrossRef]
- Zhao, Y.T.; Chen, J.; Wei, Y.; Zhang, C.; Li, L.; Wu, B.; Su, T. Single-layer absorption-diffusion-integrated metasurface for high-performance radar cross section reduction using hybrid copper–graphene structure. J. Appl. Phys. 2022, 131, 165108. [Google Scholar] [CrossRef]
















| Ref. | Unit Cell | Frequency Range | Fractional | Mechanism | Type | RCS Reduction |
|---|---|---|---|---|---|---|
| Size () | (GHz) | Bandwidth (%) | for | |||
| [25] | 0.65 × 0.65 × 0.23 | 4.3–18.7 | 125 | Absorption | Flexible | − |
| [29] | 0.41 × 0.41 × 0.13 | 11.5–16 | 32 | Absorption+Diffusion | Non-flexible | − |
| [45] | 0.39 × 0.39 × 0.19 | 4.2–11.6 | 93 | Diffusion | Non-flexible | − |
| [46] | 0.35 × 0.35 × 0.13 | 13.02–28.5 | 74 | Diffusion | Non-flexible | − |
| [47] | 0.3 × 0.3 × 0.17 | 6.3–20.5 | 105 | Diffusion | Flexible | Up to 70 |
| [48] | 0.46 × 0.46 × 0.15 | 7.8–23.2 | 99 | Diffusion | Non-flexible | − |
| [49] | 0.45 × 0.45 × 0.13 | 2040–5330 | 89 | Diffusion | Flexible | − |
| [50] | 0.42 × 0.42 × 0.21 | 6.2–19.2 | 102 | Absorption + Diffusion | Non-flexible | − |
| This Work | 0.4 × 0.4 × 0.11 | 10.8–31.3 | 97 | Absorption + Diffusion | Flexible | Up to 90 |
Disclaimer/Publisher’s Note: The statements, opinions and data contained in all publications are solely those of the individual author(s) and contributor(s) and not of MDPI and/or the editor(s). MDPI and/or the editor(s) disclaim responsibility for any injury to people or property resulting from any ideas, methods, instructions or products referred to in the content. |
© 2023 by the authors. Licensee MDPI, Basel, Switzerland. This article is an open access article distributed under the terms and conditions of the Creative Commons Attribution (CC BY) license (https://creativecommons.org/licenses/by/4.0/).
Share and Cite
Khan, H.A.; Rafique, U.; Abbas, S.M.; Ahmed, F.; Huang, Y.; Uqaili, J.A.; Mahmoud, A. Polarization-Independent Ultra Wideband RCS Reduction Conformal Coding Metasurface Based on Integrated Polarization Conversion-Diffusion-Absorption Mechanism. Photonics 2023, 10, 281. https://doi.org/10.3390/photonics10030281
Khan HA, Rafique U, Abbas SM, Ahmed F, Huang Y, Uqaili JA, Mahmoud A. Polarization-Independent Ultra Wideband RCS Reduction Conformal Coding Metasurface Based on Integrated Polarization Conversion-Diffusion-Absorption Mechanism. Photonics. 2023; 10(3):281. https://doi.org/10.3390/photonics10030281
Chicago/Turabian StyleKhan, Hamza Asif, Umair Rafique, Syed Muzahir Abbas, Fahad Ahmed, Yifei Huang, Junaid Ahmed Uqaili, and Abdelhady Mahmoud. 2023. "Polarization-Independent Ultra Wideband RCS Reduction Conformal Coding Metasurface Based on Integrated Polarization Conversion-Diffusion-Absorption Mechanism" Photonics 10, no. 3: 281. https://doi.org/10.3390/photonics10030281
APA StyleKhan, H. A., Rafique, U., Abbas, S. M., Ahmed, F., Huang, Y., Uqaili, J. A., & Mahmoud, A. (2023). Polarization-Independent Ultra Wideband RCS Reduction Conformal Coding Metasurface Based on Integrated Polarization Conversion-Diffusion-Absorption Mechanism. Photonics, 10(3), 281. https://doi.org/10.3390/photonics10030281

