A Design of All-Optical Integrated Linearized Modulator Based on Asymmetric Mach-Zehnder Modulator
Abstract
1. Introduction
2. Linearized CS-AMZM Model
3. Results and Discussion
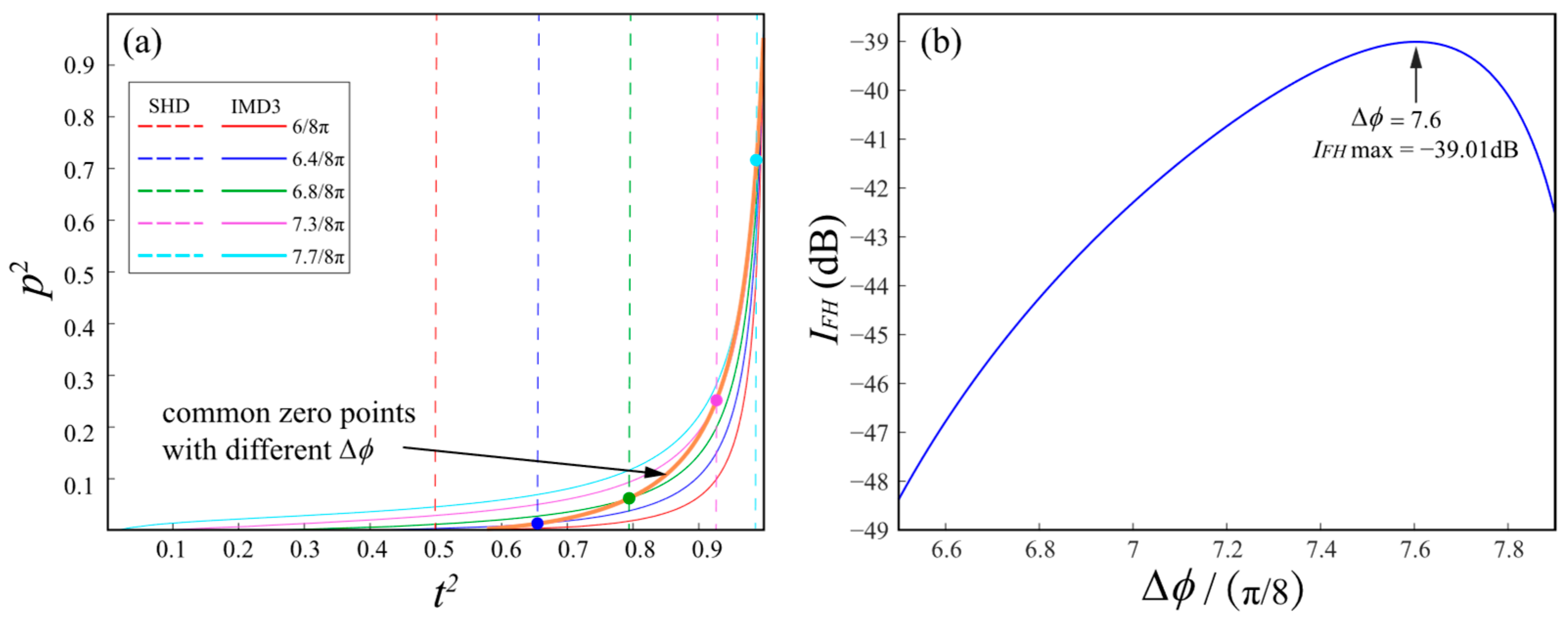
3.1. Ideal CS-AMZM Simulation
3.2. The Case of Large RF Input Power
3.3. Influence of Losses and Fabrication Deviations
4. Conclusions
Author Contributions
Funding
Informed Consent Statement
Data Availability Statement
Acknowledgments
Conflicts of Interest
Appendix A. Derivation of the Photocurrent of the FH, SHD, and IMD3 Components

Appendix B. Derivation of Higher-Order Sidebands and Nonlinear Component
References
- Li, M.; Zhu, N. Recent Advances in Microwave Photonics. Front. Optoelectron. 2016, 9, 160–185. [Google Scholar] [CrossRef]
- Marpaung, D.; Yao, J.; Capmany, J. Integrated Microwave Photonics. Nat. Photonics 2019, 13, 80–90. [Google Scholar] [CrossRef]
- Capmany, J.; Munoz, P. Integrated Microwave Photonics for Radio Access Networks. J. Light. Technol. 2014, 32, 2849–2861. [Google Scholar] [CrossRef]
- Cox, C.H.; Ackerman, E.I.; Betts, G.E.; Prince, J.L. Limits on the Performance of RF-over-Fiber Links and Their Impact on Device Design. IEEE Trans. Microw. Theory Techn. 2006, 54, 906–920. [Google Scholar] [CrossRef]
- Chou, H.F.; Ramaswamy, A.; Zibar, D.; Johansson, L.A.; Bowers, J.E.; Rodwell, M.; Coldren, L.A. Highly Linear Coherent Receiver with Feedback. IEEE Photon. Technol. Lett. 2007, 19, 940–942. [Google Scholar] [CrossRef]
- Sadhwani, R.; Jalali, B. Adaptive CMOS Predistortion Linearizer for Fiber-Optic Links. J. Light. Technol. 2003, 21, 3180–3193. [Google Scholar] [CrossRef]
- Zhang, G.; Zheng, X.; Li, S.; Zhang, H.; Zhou, B. Postcompensation for Nonlinearity of Mach–Zehnder Modulator in Radio-over-Fiber System Based on Second-Order Optical Sideband Processing. Opt. Lett. 2012, 37, 806. [Google Scholar] [CrossRef]
- Zhang, G.; Li, S.; Zheng, X.; Zhang, H.; Zhou, B.; Xiang, P. Dynamic Range Improvement Strategy for Mach-Zehnder Modulators in Microwave/Millimeter-Wave ROF Links. Opt. Express 2012, 20, 17214. [Google Scholar] [CrossRef]
- Khilo, A.; Sorace, C.M.; Kärtner, F.X. Broadband Linearized Silicon Modulator. Opt. Express 2011, 19, 4485. [Google Scholar] [CrossRef]
- Huang, X.; Liu, Y.; Tu, D.; Yu, Z.; Wei, Q.; Li, Z. Linearity-Enhanced Dual-Parallel Mach–Zehnder Modulators Based on a Thin-Film Lithium Niobate Platform. Photonics 2014, 9, 197. [Google Scholar] [CrossRef]
- Zhou, Y.; Zhou, L.; Wang, M.; Xia, Y.; Zhong, Y.; Li, X.; Chen, J. Linearity Characterization of a Dual–Parallel Silicon Mach–Zehnder Modulator. IEEE Photonics J. 2016, 8, 7805108. [Google Scholar] [CrossRef]
- Zhang, Q.; Yu, H.; Jin, H.; Qi, T.; Li, Y.; Yang, J.; Jiang, X. Linearity Comparison of Silicon Carrier-Depletion-Based Single, Dual-Parallel, and Dual-Series Mach–Zehnder Modulators. J. Light. Technol. 2018, 36, 3318–3331. [Google Scholar] [CrossRef]
- Zhang, Q.; Yu, H.; Xia, P.; Fu, Z.; Wang, X.; Yang, J. High Linearity Silicon Modulator Capable of Actively Compensating Input Distortion. Opt. Lett. 2020, 45, 3785. [Google Scholar] [CrossRef]
- Morton, P.A.; Khurgin, J.B.; Morton, M.J. All-Optical Linearized Mach-Zehnder Modulator. Opt. Express 2021, 29, 37302. [Google Scholar] [CrossRef]
- Feng, H.; Zhang, K.; Sun, W.; Ren, Y.; Zhang, Y.; Zhang, W.; Wang, C. Ultra-High-Linearity Integrated Lithium Niobate Electro-Optic Modulators. Photonics Res. 2022, 10, 2366. [Google Scholar] [CrossRef]
- Yang, J.; Wang, F.; Jiang, X.; Qu, H.; Wang, M.; Wang, Y. Influence of Loss on Linearity of Microring-Assisted Mach-Zehnder Modulator. Opt. Express 2004, 12, 4178. [Google Scholar] [CrossRef]
- Tazawa, H.; Steier, W.H. Bandwidth of Linearized Ring Resonator Assisted Mach-Zehnder Modulator. IEEE Photonics Technol. Lett. 2005, 17, 1851–1853. [Google Scholar] [CrossRef]
- Ayazi, A.; Baehr-Jones, T.; Liu, Y.; Lim, A.E.J.; Hochberg, M. Linearity of Silicon Ring Modulators for Analog Optical Links. Opt. Express 2012, 20, 13115. [Google Scholar] [CrossRef]
- Chen, L.; Chen, J.; Nagy, J.; Reano, R.M. Highly Linear Ring Modulator from Hybrid Silicon and Lithium Niobate. Opt. Express 2015, 23, 13255. [Google Scholar] [CrossRef]
- Zhang, C.; Morton, P.A.; Khurgin, J.B.; Peters, J.D.; Bowers, J.E. Ultralinear Heterogeneously Integrated Ring-Assisted Mach–Zehnder Interferometer Modulator on Silicon. Optica 2016, 3, 1483. [Google Scholar] [CrossRef]
- Chen, S.; Zhou, G.; Zhou, L.; Lu, L.; Chen, J. High-Linearity Fano Resonance Modulator Using a Microring-Assisted Mach–Zehnder Structure. J. Light. Technol. 2020, 38, 3395–3403. [Google Scholar] [CrossRef]
- Khurgin, J.B.; Morton, P.A. Linearized Bragg Grating Assisted Electro-Optic Modulator. Opt. Lett. 2014, 39, 6946. [Google Scholar] [CrossRef] [PubMed]
- Zhang, J.; Han, L.; Kuo, B.P.P.; Radic, S. Broadband Angled Arbitrary Ratio SOI MMI Couplers with Enhanced Fabrication Tolerance. J. Light. Technol. 2020, 38, 5748–5755. [Google Scholar] [CrossRef]
- Deng, Q.; Liu, L.; Li, X.; Zhou, Z. Arbitrary-Ratio 1 × 2 Power Splitter Based on Asymmetric Multimode Interference. Opt. Lett. 2014, 39, 5590. [Google Scholar] [CrossRef] [PubMed]
- Sharma, B.; Kishor, K.; Pal, A.; Sharma, S.; Makkar, R.; Pal, A.; Kumar, S.; Sharma, S.; Raghuwanshi, S.K. Design and Simulation of Ultra-Low Loss Triple Tapered Asymmetric Directional Coupler at 1330 Nm. Microelectron. J. 2021, 107, 104957. [Google Scholar] [CrossRef]
- Wang, C.; Zhang, M.; Chen, X.; Bertrand, M.; Shams-Ansari, A.; Chandrasekhar, S.; Winzer, P.; Lončar, M. Integrated Lithium Niobate Electro-Optic Modulators Operating at CMOS-Compatible Voltages. Nature 2018, 562, 101–104. [Google Scholar] [CrossRef]
- He, M.; Xu, M.; Ren, Y.; Jian, J.; Ruan, Z.; Xu, Y.; Gao, S.; Sun, S.; Wen, X.; Zhou, L.; et al. High-Performance Hybrid Silicon and Lithium Niobate Mach–Zehnder Modulators for 100 Gbit S−1 and Beyond. Nat. Photonics 2019, 13, 359–364. [Google Scholar] [CrossRef]
- Ghoname, A.O.; Hassanien, A.E.; Chow, E.; Goddard, L.L.; Gong, S. Highly Linear Lithium Niobate Michelson Interferometer Modulators Assisted by Spiral Bragg Grating Reflectors. Opt. Express 2022, 30, 40666. [Google Scholar] [CrossRef]
- Watson, G.N. A Treatise on the Theory of Bessel Functions, 2nd ed.; Cambridge Mathematical Library, Ed.; Cambridge University Press: Cambridge, UK; New York, NY, USA, 1995; ISBN 978-0-521-48391-9. [Google Scholar]
- Pal, A.; Kumar, S.; Sharma, S.; Raghuwanshi, S.K. Design of 4 to 2 Line Encoder Using Lithium Niobate Based Mach Zehnder Interferometers for High Speed Communication. In Proceedings of the Optical Modelling and Design IV, Brussels, Belgium, 27 April 2016; Wyrowski, F., Sheridan, J.T., Meuret, Y., Eds.; p. 98890H. [Google Scholar]











| Symbol | Quantity | Value |
|---|---|---|
| PLD | Laser power | 20 dBm |
| η | Detector responsivity | 0.7 A/W |
| NF | Noise floor | −162 dBm/Hz |
| Vπ | Half-wave voltage | 4 V |
| Quantity | Value |
|---|---|
| Bitrate | 2.5 × 1010 bit/s |
| Time window | 2.56 × 1012 Hz |
| Sample rate | 5.12 × 1010 s |
| Number of samples | 131,072 |
| Platform | Types | Parameters that Need to Be Controlled | SFDR dB·Hz2/3 | Ref. |
|---|---|---|---|---|
| Si/TFLN | MZM | 1 | 99.6 | [27] |
| Si/TFLN | MRM 1 | 1 | 98.1 | [19] |
| etched TFLN | Dual-Parallel-MZM | 5 | 110.7 | [10] |
| etched TFLN | Ring-assisted-MZM | 3 | 120.04 | [15] |
| etched TFLN | GAMIM 2 | 2 | 101.2 | [28] |
| etched TFLN (simulation) | CS-AMZM | 3 | 121.4 | This work |
Disclaimer/Publisher’s Note: The statements, opinions and data contained in all publications are solely those of the individual author(s) and contributor(s) and not of MDPI and/or the editor(s). MDPI and/or the editor(s) disclaim responsibility for any injury to people or property resulting from any ideas, methods, instructions or products referred to in the content. |
© 2023 by the authors. Licensee MDPI, Basel, Switzerland. This article is an open access article distributed under the terms and conditions of the Creative Commons Attribution (CC BY) license (https://creativecommons.org/licenses/by/4.0/).
Share and Cite
Zhao, Y.; Li, J.; Xiang, Z.; Liu, J. A Design of All-Optical Integrated Linearized Modulator Based on Asymmetric Mach-Zehnder Modulator. Photonics 2023, 10, 229. https://doi.org/10.3390/photonics10030229
Zhao Y, Li J, Xiang Z, Liu J. A Design of All-Optical Integrated Linearized Modulator Based on Asymmetric Mach-Zehnder Modulator. Photonics. 2023; 10(3):229. https://doi.org/10.3390/photonics10030229
Chicago/Turabian StyleZhao, Yiru, Jinye Li, Zichuan Xiang, and Jianguo Liu. 2023. "A Design of All-Optical Integrated Linearized Modulator Based on Asymmetric Mach-Zehnder Modulator" Photonics 10, no. 3: 229. https://doi.org/10.3390/photonics10030229
APA StyleZhao, Y., Li, J., Xiang, Z., & Liu, J. (2023). A Design of All-Optical Integrated Linearized Modulator Based on Asymmetric Mach-Zehnder Modulator. Photonics, 10(3), 229. https://doi.org/10.3390/photonics10030229

