Tuning Q-Factor and Perfect Absorption Using Coupled Tamm States on Polarization-Preserving Metasurface
Abstract
:1. Introduction
2. Description of the Model
3. Results and Discussion
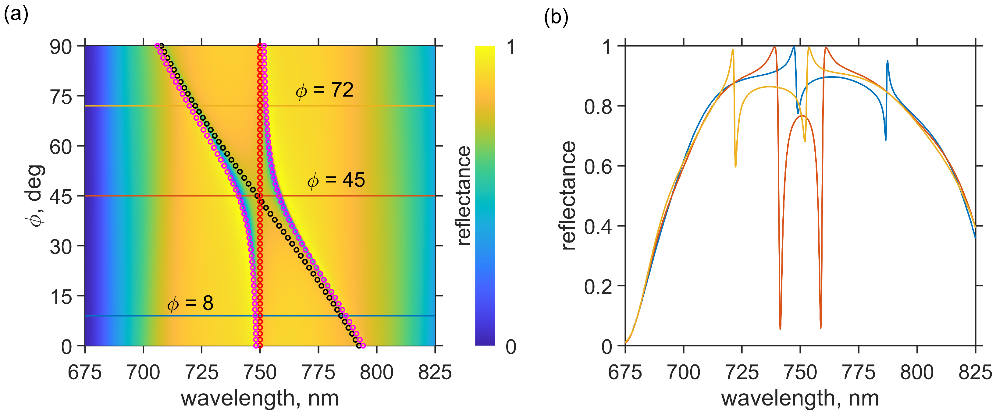
3.1. Coupled COTS-COTS Modes
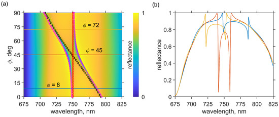
3.2. Hybrid COTS-CTPP Modes
4. Conclusions
Author Contributions
Funding
Data Availability Statement
Conflicts of Interest
References
- Kavokin, A.V.; Shelykh, I.A.; Malpuech, G. Lossless interface modes at the boundary between two periodic dielectric structures. Phys. Rev. B 2005, 72, 233102. [Google Scholar] [CrossRef]
- Timofeev, I.V.; Vetrov, S.Y. Chiral optical Tamm states at the boundary of the medium with helical symmetry of the dielectric tensor. JETP Lett. 2016, 104, 380–383. [Google Scholar] [CrossRef]
- Kaliteevski, M.A.; Iorsh, I.; Brand, S.; Abram, R.A.; Chamberlain, J.M.; Kavokin, A.V.; Shelykh, I.A. Tamm plasmon-polaritons: Possible electromagnetic states at the interface of a metal and a dielectric Bragg mirror. Phys. Rev. B 2007, 76, 165415. [Google Scholar] [CrossRef]
- Sasin, M.; Seisyan, R.; Kaliteevski, M.; Brand, S.; Abram, R.; Chamberlain, J.; Iorsh, I.; Shelykh, I.; Egorov, A.; Vasil’ev, A.; et al. Tamm plasmon-polaritons: First experimental observation. Superlattices Microstruct. 2010, 47, 44–49. [Google Scholar] [CrossRef]
- Lakhtakia, A.; Polo, J.A. Dyakonov-Tamm wave at the planar interface of a chiral sculptured thin film and an isotropic dielectric material. J. Eur. Opt. Soc. Rapid Publ. 2007, 2, 07021. [Google Scholar] [CrossRef]
- Reshetnyak, V.Y.; Pinkevych, I.P.; Bunning, T.J.; McConney, M.E.; Evans, D.R. Spectral manifestation of optical Tamm states in a metal-cholesteric liquid crystals stack. Phys. Rev. E 2023, 107, 014702. [Google Scholar] [CrossRef] [PubMed]
- Kar, C.; Jena, S.; Udupa, D.V.; Rao, K.D. Tamm plasmon polariton in planar structures: A brief overview and applications. Opt. Laser Technol. 2023, 159, 108928. [Google Scholar] [CrossRef]
- Vinogradov, A.P.; Dorofeenko, A.V.; Merzlikin, A.M.; Lisyansky, A.A. Surface states in photonic crystals. Uspekhi Fiz. Nauk 2010, 180, 249–263. [Google Scholar] [CrossRef]
- Xue, C.H.; Wu, F.; Jiang, H.T.; Li, Y.; Zhang, Y.W.; Chen, H. Wide-angle Spectrally Selective Perfect Absorber by Utilizing Dispersionless Tamm Plasmon Polaritons. Sci. Rep. 2016, 6, 39418. [Google Scholar] [CrossRef]
- Wu, F.; Wu, X.; Xiao, S.; Liu, G.; Li, H. Broadband wide-angle multilayer absorber based on a broadband omnidirectional optical Tamm state. Opt. Express 2021, 29, 23976–23987. [Google Scholar] [CrossRef]
- Wang, Z.; Clark, J.K.; Ho, Y.L.; Volz, S.; Daiguji, H.; Delaunay, J.J. Ultranarrow and Wavelength-Tunable Thermal Emission in a Hybrid Metal–Optical Tamm State Structure. ACS Photonics 2020, 7, 1569–1576. [Google Scholar] [CrossRef]
- Yang, Z.Y.; Ishii, S.; Yokoyama, T.; Dao, T.D.; Sun, M.G.; Nagao, T.; Chen, K.P. Tamm plasmon selective thermal emitters. Opt. Lett. 2016, 41, 4453–4456. [Google Scholar] [CrossRef] [PubMed]
- Juneau-Fecteau, A.; Savin, R.; Boucherif, A.; Fréchette, L.G. A practical Tamm plasmon sensor based on porous Si. AIP Adv. 2021, 11, 065305. [Google Scholar] [CrossRef]
- Huang, S.G.; Chen, K.P.; Jeng, S.C. Phase sensitive sensor on Tamm plasmon devices. Opt. Mater. Express 2017, 7, 1267. [Google Scholar] [CrossRef]
- Wang, J.; Zhu, Y.; Wang, W.; Li, Y.; Gao, R.; Yu, P.; Xu, H.; Wang, Z. Broadband Tamm plasmon-enhanced planar hot-electron photodetector. Nanoscale 2020, 12, 23945–23952. [Google Scholar] [CrossRef] [PubMed]
- Harbord, E.; Cemlyn, B.; Parker, M.; Clarke, E.; Kennedy, K.; Henning, I.; Adams, M.; Oulton, R. Confined Tamm optical states coupled to quantum dots in a photoconductive detector. Appl. Phys. Lett. 2019, 115, 171101. [Google Scholar] [CrossRef]
- Wu, C.H.; Ku, C.J.; Yu, M.W.; Yang, J.H.; Wu, P.Y.; Huang, C.B.; Lu, T.C.; Huang, J.S.; Ishii, S.; Chen, K.P. Near-Field Photodetection in Direction Tunable Surface Plasmon Polaritons Waveguides Embedded with Graphene. Adv. Sci. 2023, 10, e2302707. [Google Scholar] [CrossRef]
- Efimov, I.; Vanyushkin, N.; Gevorgyan, A.; Golik, S. Sensor with enhanced performance based on photonic crystal with a defect layer. Comput. Opt. 2023, 47, 572–579. [Google Scholar] [CrossRef]
- Zhang, X.L.; Song, J.F.; Li, X.B.; Feng, J.; Sun, H.B. Optical Tamm states enhanced broad-band absorption of organic solar cells. Appl. Phys. Lett. 2012, 101, 243901. [Google Scholar] [CrossRef]
- Liu, W.; Ma, H.; Walsh, A. Advance in photonic crystal solar cells. Renew. Sustain. Energy Rev. 2019, 116, 109436. [Google Scholar] [CrossRef]
- Çetinkaya, Ç.; Çokduygulular, E.; Kınacı, B.; Güzelçimen, F.; Özen, Y.; Sönmez, N.A.; Özçelik, S. Highly improved light harvesting and photovoltaic performance in CdTe solar cell with functional designed 1D-photonic crystal via light management engineering. Sci. Rep. 2022, 12, 11245. [Google Scholar] [CrossRef] [PubMed]
- Çetinkaya, Ç.; Çokduygulular, E.; Kınacı, B.; Emik, S.; Sönmez, N.A.; Özçelik, S. Enhancement of color and photovoltaic performance of semi-transparent organic solar cell via fine-tuned 1D photonic crystal. Sci. Rep. 2022, 12, 19400. [Google Scholar] [CrossRef] [PubMed]
- Bikbaev, R.G.; Chen, K.P.; Timofeev, I.V. Two-Dimensional Dynamic Beam Steering by Tamm Plasmon Polariton. Photonics 2023, 10, 1151. [Google Scholar] [CrossRef]
- Cheng, H.C.; Kuo, C.Y.; Hung, Y.J.; Chen, K.P.; Jeng, S.C. Liquid-Crystal Active Tamm-Plasmon Devices. Phys. Rev. Appl. 2018, 9, 064034. [Google Scholar] [CrossRef]
- Vanyushkin, N.A.; Gevorgyan, A.H. And again, about lasing threshold, light localization, and density of states in 1D photonic crystals. Photonics Nanostruct. Fundam. Appl. 2023, 54, 101134. [Google Scholar] [CrossRef]
- Zhou, W.; Dridi, M.; Suh, J.Y.; Kim, C.H.; Co, D.T.; Wasielewski, M.R.; Schatz, G.C.; Odom, T.W. Lasing action in strongly coupled plasmonic nanocavity arrays. Nat. Nanotechnol. 2013, 8, 506. [Google Scholar] [CrossRef]
- Symonds, C.; Lemaître, A.; Senellart, P.; Jomaa, M.H.; Aberra Guebrou, S.; Homeyer, E.; Brucoli, G.; Bellessa, J. Lasing in a hybrid GaAs/silver Tamm structure. Appl. Phys. Lett. 2012, 100, 121122. [Google Scholar] [CrossRef]
- Meister, S.; Brückner, R.; Sudzius, M.; Fröb, H.; Leo, K. Optically pumped lasing of an electrically active hybrid OLED-microcavity. Appl. Phys. Lett. 2018, 112, 113301. [Google Scholar] [CrossRef]
- Qiao, P.; Yang, W.; Chang-Hasnain, C.J. Recent advances in high-contrast metastructures, metasurfaces, and photonic crystals. Adv. Opt. Photonics 2018, 10, 180–245. [Google Scholar] [CrossRef]
- Pan, C.H.; Lin, C.H.; Chang, T.Y.; Lu, T.C.; Lee, C.P. GaSb-based mid infrared photonic crystal surface emitting lasers. Opt. Express 2015, 23, 11741–11747. [Google Scholar] [CrossRef]
- Lakhtakia, A.; McCall, M. Sculptured thin films as ultranarrow-bandpass circular-polarization filters. Opt. Commun. 1999, 168, 457–465. [Google Scholar] [CrossRef]
- Belyakov, V.A.; Sonin, A.S. Optika Kholestericheskikh Zhidkikh Kristallov [Optics of Choltsteric Liquid Crystals]; Nauka Publ.: Moscow, Russia, 1982; p. 360. [Google Scholar]
- Belyakov, V.A. Diffraction Optics of Complex-Structured Periodic Media: Localized Optical Modes of Spiral Media; Springer International Publishing: Berlin/Heidelberg, Germany, 2019; p. 253. [Google Scholar]
- Chigrinov, V.; Kudreyko, A.; Sun, J. Flexible Optically Rewritable Electronic Paper. Crystals 2023, 13, 1283. [Google Scholar] [CrossRef]
- Huang, J.C.; Hsiao, Y.C.; Lin, Y.T.; Lee, C.R.; Lee, W. Electrically switchable organo–inorganic hybrid for a white-light laser source. Sci. Rep. 2016, 6, 28363. [Google Scholar] [CrossRef] [PubMed]
- Lin, M.Y.; Xu, W.H.; Bikbaev, R.G.; Yang, J.H.; Li, C.R.; Timofeev, I.V.; Lee, W.; Chen, K.P. Chiral-Selective Tamm Plasmon Polaritons. Materials 2021, 14, 2788. [Google Scholar] [CrossRef] [PubMed]
- Rudakova, N.V.; Timofeev, I.V.; Vetrov, S.Y.; Lee, W. All-dielectric polarization-preserving anisotropic mirror. OSA Contin. 2018, 1, 682. [Google Scholar] [CrossRef]
- Rudakova, N.V.; Timofeev, I.V.; Bikbaev, R.G.; Pyatnov, M.V.; Vetrov, S.Y.; Lee, W. Chiral Optical Tamm States at the Interface between an All-Dielectric Polarization-Preserving Anisotropic Mirror and a Cholesteric Liquid Crystal. Crystals 2019, 9, 502. [Google Scholar] [CrossRef]
- Rudakova, N.V.; Bikbaev, R.G.; Pankin, P.S.; Vetrov, S.Y.; Timofeev, I.V.; Chen, K.P.; Lee, W. Metal–Dielectric Polarization-Preserving Anisotropic Mirror for Chiral Optical Tamm State. Nanomaterials 2022, 12, 234. [Google Scholar] [CrossRef]
- Vetrov, S.Y.; Bikbaev, R.G.; Timofeev, I.V. Optical Tamm states at the interface between a photonic crystal and a nanocomposite with resonance dispersion. J. Exp. Theor. Phys. 2013, 117, 988. [Google Scholar] [CrossRef]
- Brückner, R.; Sudzius, M.; Hintschich, S.I.; Fröb, H.; Lyssenko, V.G.; Leo, K. Hybrid optical Tamm states in a planar dielectric microcavity. Phys. Rev. B 2011, 83, 033405. [Google Scholar] [CrossRef]
- Rahman, S.T.; Klembt, S.; Gutowski, J.; Hommel, D.; Sebald, K. Observation of a hybrid state of Tamm plasmons and microcavity exciton polaritons. Sci. Rep. 2016, 6, 34392. [Google Scholar] [CrossRef]
- Symonds, C.; Lemaître, A.; Homeyer, E.; Plenet, J.C.; Bellessa, J. Emission of Tamm plasmon/exciton polaritons. Appl. Phys. Lett. 2009, 95, 151114. [Google Scholar] [CrossRef]
- Morozov, K.M.; Belonovskii, A.V.; Ivanov, K.A.; Girshova, E.I.; Kaliteevski, M.A. Interaction of a Tamm Plasmon and Exciton in an Organic Material in the Strong Coupling Mode. Semiconductors 2019, 53, 1314. [Google Scholar] [CrossRef]
- Afinogenov, B.I.; Bessonov, V.O.; Nikulin, A.A.; Fedyanin, A.A. Observation of hybrid state of Tamm and surface plasmon-polaritons in one-dimensional photonic crystals. Appl. Phys. Lett. 2013, 103, 061112. [Google Scholar] [CrossRef]
- Lopez-Garcia, M.; Ho, Y.L.D.; Taverne, M.P.C.; Chen, L.F.; Murshidy, M.M.; Edwards, A.P.; Serry, M.Y.; Adawi, A.M.; Rarity, J.G.; Oulton, R. Efficient out-coupling and beaming of Tamm optical states via surface plasmon polariton excitation. Appl. Phys. Lett. 2014, 104, 231116. [Google Scholar] [CrossRef]
- Azzini, S.; Lheureux, G.; Symonds, C.; Benoit, J.M.; Senellart, P.; Lemaitre, A.; Greffet, J.J.; Blanchard, C.; Sauvan, C.; Bellessa, J. Generation and Spatial Control of Hybrid Tamm Plasmon/Surface Plasmon Modes. ACS Photonics 2016, 3, 1776–1781. [Google Scholar] [CrossRef]
- Zhang, X.L.; Song, J.F.; Feng, J.; Sun, H.B. Spectral engineering by flexible tunings of optical Tamm states and Fabry–Pérot cavity resonance. Opt. Lett. 2013, 38, 4382–4385. [Google Scholar] [CrossRef]
- Pyatnov, M.V.; Bikbaev, R.G.; Timofeev, I.V.; Vetrov, S.Y. Model of a tunable hybrid Tamm mode–liquid crystal device. Appl. Opt. 2020, 59, 6347–6351. [Google Scholar] [CrossRef]
- Liu, H.; Sun, X.; Yao, F.; Pei, Y.; Huang, F.; Yuan, H.; Jiang, Y. Optical magnetic field enhancement through coupling magnetic plasmons to Tamm plasmons. Opt. Express 2012, 20, 19160–19167. [Google Scholar] [CrossRef]
- Qing, Y.M.; Ma, H.F.; Cui, T.J. Flexible control of light trapping and localization in a hybrid Tamm plasmonic system. Opt. Lett. 2019, 44, 3302–3305. [Google Scholar] [CrossRef]
- Berreman, D.W. Optics in stratified and anisotropic media: 4 × 4-matrix formulation. J. Opt. Soc. Am. 1972, 62, 502. [Google Scholar] [CrossRef]
- Qing, Y.M.; Ma, H.F.; Yu, S.; Cui, T.J. Tunable dual-band perfect metamaterial absorber based on a graphene-SiC hybrid system by multiple resonance modes. J. Phys. D Appl. Phys. 2018, 52, 015104. [Google Scholar] [CrossRef]
- Pancharatnam, S. Generalized theory of interference, and its applications. Proc. Indian Acad. Sci. Sect. A 1956, 44, 247–262. [Google Scholar] [CrossRef]
- Tabiryan, N.; Cipparronne, G.; Bunning, T.J. Diffractive waveplates: Introduction. J. Opt. Soc. Am. B 2019, 36, DW1. [Google Scholar] [CrossRef]
- Yariv, A.; Yeh, P. Optical Waves in Crystals; Wiley: New York, NY, USA, 1984; p. 304. [Google Scholar]
- Jin, R.; Huang, L.; Zhou, C.; Guo, J.; Fu, Z.; Chen, J.; Wang, J.; Li, X.; Yu, F.; Chen, J.; et al. Toroidal Dipole BIC-Driven Highly Robust Perfect Absorption with a Graphene-Loaded Metasurface. Nano Lett. 2023, 23, 9105–9113. [Google Scholar] [CrossRef]
- Liang, Y.; Koshelev, K.; Zhang, F.; Lin, H.; Lin, S.; Wu, J.; Jia, B.; Kivshar, Y. Bound States in the Continuum in Anisotropic Plasmonic Metasurfaces. Nano Lett. 2020, 20, 6351–6356. [Google Scholar] [CrossRef]






Disclaimer/Publisher’s Note: The statements, opinions and data contained in all publications are solely those of the individual author(s) and contributor(s) and not of MDPI and/or the editor(s). MDPI and/or the editor(s) disclaim responsibility for any injury to people or property resulting from any ideas, methods, instructions or products referred to in the content. |
© 2023 by the authors. Licensee MDPI, Basel, Switzerland. This article is an open access article distributed under the terms and conditions of the Creative Commons Attribution (CC BY) license (https://creativecommons.org/licenses/by/4.0/).
Share and Cite
Rudakova, N.V.; Bikbaev, R.G.; Tyryshkina, L.E.; Vetrov, S.Y.; Timofeev, I.V. Tuning Q-Factor and Perfect Absorption Using Coupled Tamm States on Polarization-Preserving Metasurface. Photonics 2023, 10, 1391. https://doi.org/10.3390/photonics10121391
Rudakova NV, Bikbaev RG, Tyryshkina LE, Vetrov SY, Timofeev IV. Tuning Q-Factor and Perfect Absorption Using Coupled Tamm States on Polarization-Preserving Metasurface. Photonics. 2023; 10(12):1391. https://doi.org/10.3390/photonics10121391
Chicago/Turabian StyleRudakova, Natalya V., Rashid G. Bikbaev, Larisa E. Tyryshkina, Stepan Ya. Vetrov, and Ivan V. Timofeev. 2023. "Tuning Q-Factor and Perfect Absorption Using Coupled Tamm States on Polarization-Preserving Metasurface" Photonics 10, no. 12: 1391. https://doi.org/10.3390/photonics10121391
APA StyleRudakova, N. V., Bikbaev, R. G., Tyryshkina, L. E., Vetrov, S. Y., & Timofeev, I. V. (2023). Tuning Q-Factor and Perfect Absorption Using Coupled Tamm States on Polarization-Preserving Metasurface. Photonics, 10(12), 1391. https://doi.org/10.3390/photonics10121391

