Next Article in Journal
Look-Up-Table-Based Direct-Detection-Faster-Than-Nyquist-Algorithm-Enabled IM/DD Transmission with Severe Bandwidth Limitation
Previous Article in Journal
Topological Edge States on Different Domain Walls of Two Opposed Helical Waveguide Arrays
 
 
Font Type:
Arial Georgia Verdana
Font Size:
Aa Aa Aa
Line Spacing:
Column Width:
Background:
Article

An Integrated Photoelasticity-Based Approach for the Reconstruction of Stress Profiles and Optical Anisotropy of GRIN Lenses

by
Andrey A. Lipovskii
1,*,
Dmitry I. Dolzhenko
2,
Viktoria M. Kapralova
2,
Dmitry D. Karov
2,
Alexander S. Korotkov
2,
Vera V. Loboda
2,
Elizaveta A. Nikitina
2,
Nicolay T. Sudar
2 and
Valentina V. Zhurikhina
1
1
Laboratory of Multifunctional Glassy Materials, Peter the Great St. Petersburg Polytechnic University, St. Petersburg 195251, Russia
2
Higher School of Electronics and Micro-Electro-Mechanical Systems, Peter the Great St. Petersburg Polytechnic University, St. Petersburg 195251, Russia
*
Author to whom correspondence should be addressed.
Photonics 2023, 10(11), 1221; https://doi.org/10.3390/photonics10111221
Submission received: 5 October 2023 / Revised: 28 October 2023 / Accepted: 30 October 2023 / Published: 31 October 2023

Abstract

:
The paper shows that it is possible to obtain reliable information on the dependence of the radial distribution of longitudinal birefringence in glass cylindrical elements with a radial distribution of refractive index (GRIN lenses) on the basis of transverse polarization tomography data on residual stresses. This does not require complicated procedures of sample preparation, as is necessary in the case of longitudinal translucency measurements. The approach developed was verified in the experiments with a set of different GRIN lenses formed with the ion exchange technique, and the closeness of the data obtained from transversal and conventional longitudinal transmission measurements was demonstrated.

1. Introduction

Gradient-index rods with a radial distribution of refractive index n(r) (GRIN lenses) are widely used in image translators in copiers and medical devices, as well as collimating and focusing lenses in fiber-optic passive and active connectors. In addition, GRIN lenses in combination with, for example, diffraction gratings are used in light flow splitters, optical switches, multiplexers, demultiplexers, etc. [1,2,3]. The most common technology for obtaining a given radial refractive index (RI) distribution in GRIN lenses is high-temperature ion exchange (IE) of alkaline cations in the glass–salt melt system. The IE synthesis of such GRINs is carried out at glass viscosities of 108–1010 Pa·s, with the possible use of isothermal annealing outside the melt at various temperatures [4,5,6]. Due to diffusion, a gradient of the refractive index is formed across the cross section of the GRIN lens, corresponding to the substitution of alkali ions (e.g., Li (glass) ⇔ Na (salt melt)). When cooling GRIN lenses from the ion exchange temperature corresponding to the viscoelastic state of the material, residual stresses (RS) σij(r) arise due to radial gradients of the temperature coefficient of linear expansion and glass transition temperature Tg. Because of the kinetic nature of the glass transition, the distribution of RS significantly depends on the temperature and duration of the sample cooling. RS hinder the creation of a given RI distribution in gradient rods and can lead to their bending due to the loss of stability and, ultimately, to destruction.
One of the most important manifestations of the RS in the GRIN lenses is radial birefringence, a consequence of elastic-optical (or photoelastic) effects. Birefringence in initially isotropic optical objects (in particular, those made of glass) is an inevitable consequence of RS. Accordingly, the birefringence distribution of such an object, in general, contains all the information about the RS distribution that caused it. That is, these two phenomena are inseparably interrelated. Radial birefringence causes polarization aberrations that, for example, degrade image quality in endoscopes. In fiber-optic sensors of stress, strain, or pressure, which use the modulation of optical signals directly using GRIN lenses, RS change the polarization of light, thereby limiting the sensitivity of the sensor to deformation [7,8,9]. The negative influence of RS can also be noted in GRIN lenses of large diameter used in macro-optics and in axisymmetric acoustic lenses with a gradient radial distribution of elastic properties [10,11,12]. It has recently been shown [13,14,15] that the combination of polarization characteristics of GRIN lenses (i.e., radial birefringence) and their focusing properties turned out to be very effective for the generation of optical vortex beams [16,17,18]. In this respect, it is noted [13,14,15] that it is relevant to increase the low level of optical anisotropy of GRIN lenses, that is, their birefringence. Additionally, the use of GRIN lenses with high birefringence has also enabled significant progress in polarization imaging of biological tissue structure, which is potentially a powerful tool for clinical diagnostics [3,19,20].
Thus, the development of gradient optical elements with both minimal and significant birefringence is of essential interest. In this regard, the issues of characterization of RS in GRIN lenses, determining the optimal modes of ion exchange, and heat treatment of the glass rods to obtain the required characteristics are relevant.
The method of integrated photoelasticity [21,22] is widely used to study the RS distribution in transparent gradient-free objects. Inverse (A) and direct (B) problems can be considered: A—reconstruction of RS distributions on the basis of measurements of the parameters of polarized light that passed through the object under study; B—determination of the birefringence distribution from known RS (e.g., obtained from the results of A or via modeling).
The analysis based on the integrated photoelasticity method proposed in this paper is based on the geometrical optics approximation, which is a special case of Maxwell’s equations. This approximation describes optical phenomena quite well if the light wavelength is negligibly small compared to the size of the optical devices used, in our case, GRIN lenses. These objects use radiation in the visible and near infrared range (wavelength 0.5–1.5 µm). This is due to the light sources used and the peculiarities of the absorption of radiation with glass and optical polymers. Typical sizes of gradient lenses are 1–10 mm, i.e., their sizes significantly exceed the specified wavelengths, which makes it possible to use special cases of Maxwell’s equations, in particular Fermat’s principle, in calculations [23].
The mathematical apparatus of the integrated photoelasticity method is well developed only for the rectilinear propagation of probing beams. However, in GRIN lenses, rays deviate significantly from straight-line propagation due to the gradient of refractive index (in high-aperture GRIN lenses, refractive index change can reach up to Δn ~ 0.14).
This raises the problem of generalizing the method of integrated photoelasticity to the case of cylindrical rods with radial RI distribution, which should allow for the adjustment of the parameters of technological processes to ensure the given distributions of RS and optical anisotropy.
Such a generalization of the relations in the inverse and direct problems of integral photoelasticity for the cases of transverse, longitudinal, and sagittal translucency GRIN lenses, taking into account the curvature of the trajectories of the rays propagating in them, was made in [24,25]. The analysis for the first two cases was also published in [26].
Both in these works and below, it is also assumed that in the considered weakly anisotropic gradient objects, the waves retain the transverse structure (quasi-isotropic approximation of geometrical optics for inhomogeneous media [27]), and the ray trajectories with mutually perpendicular polarization can be considered geometrically identical and corresponding to the initial axisymmetric RI distribution.
In this paper, new relations are obtained for the following:
(1)
Reconstruction of the radial rather than the axial component of the RS from the data of transverse translucence of GRIN lenses (inverse problem), which exclude the differentiation of experimental dependencies under the sign of the integral increasing the errors (as it takes place at reconstruction of the axial component of the RS);
(2)
Longitudinal birefringence (integral phase difference) calculations—direct problem from RS reconstruction data, based on the results of (1) for GRIN lens segments.
Using computational algorithms developed on the basis of relations (1) and (2), we obtained RS distributions for a number of GRIN lenses (the inverse problem of transversal translucency). Using these data as inputs for calculations (the direct problem in longitudinal incidence), the radial distributions of integral phase difference (birefringence) are determined for the case of meridional ray propagation in these GRIN lenses.
Examples of reconstruction of radial RS distributions and optical anisotropy profiles for glass GRIN lenses produced via high-temperature ion exchange are presented.

2. Methods

Entering a stressed medium, a polarized ray splits into two rays with mutually perpendicular polarizations. For these rays, due to the stress-induced optical anisotropy, the refractive index distributions are different, which causes a phase difference Δ after passing the rays through the medium. The relations connecting integral phase difference Δ (IPD) and the differences of quasi-principal RI values (nn, nl) or the differences of quasi-principal components (σn, σl) of the stress tensor in the plane perpendicular to the light ray (Wertheim’s integral law [28]) have the following form:
Δ = 2 π λ ( l ) ( n n n l ) d l = C 0 ( l ) ( σ n σ l ) d l .
where C0 is the optical stress coefficient, and λ is the wavelength. The integrals are taken over the ray path l.
Since a long rod, L > 2R (L and R are the length and radius of the cylinder, respectively), with radial RI distribution usually has no stress gradient along its axis (z coordinate), shear stresses σzr(r) in cylindrical coordinates are absent, and the stress state is characterized by 3 principal stress components: axial σzz(r), radial σrr(r), and tangential σθθ(r), depending only on the radial coordinate r [29,30]). Reconstructing the local distribution of principal stress components from translucency and Δ(x) measurements for different distances x from the optical axis is an incorrected (i.e., unstable with respect to input data errors) inverse problem of integral photoelasticity. The geometry of the longitudinal and transversal translucency is shown in Figure 1 and Figure 2.
As shown in [24,25,26], in the case of weakly and moderately gradient axisymmetric objects, the polarization of a probing beam is influenced by axial stresses σz(r) in transverse translucence and by the difference of tangential and radial stresses Δσ(r) = Δσθr(r) = σθ(r) − σr(r) in longitudinal translucence. RS difference distributions Δσθr(r) can be used to solve the direct problem of longitudinal translucence, that is, finding the radial distribution of the IPD and birefringence for GRIN segments of various lengths.
The derivation of a novel algorithm for solving the direct problem of longitudinal ray propagation in GRIN lenses and relations for the reconstruction of RS in their transverse translucency are presented in Section 2.1 and Section 2.2.

2.1. An Algorithm for Calculations of Longitudinal IPD (Direct Problem)

At the preliminary stage of the development of optimal modes of synthesis of GRIN lenses, it is usually limited to the search for conditions under which the parabolic (2) or paraxial refractive index profile is realized. To analyze IPD for longitudinal ray propagation in a GRIN lens (within the framework of a direct problem), it is more convenient to use the expression for the hypersecant refractive index profile (3).
n 2 r = n 0 2 1 g 2 r 2 ,
n 2 r = n 0 2 sech 2 g r ,
where n0 = n(0) − RI on the axis of the rod, and g is power constant. When the input face of the GRIN lens at z = 0 is perpendicular to its axis and the rays fall at the input face parallel to the axis, the analytical expression of the trajectory equation at hypersecant RI distribution (3) is as follows [31]:
r z = 1 g arcsh sh g r 0 cos g z
At parabolic RI (2), it is as follows:
r z = r 0 cos g 1 g 2 r 0 2 .
That is, the length of the periodicity L0 depends on the g R constant:
L 0 = 2 π g 1 g 2 r 0 2 .
Calculations of the relative differences in periodicity lengths depending on the ray entrance position x into the GRIN lens for g R ≤ 0.3 show that the difference in ray propagation in GRIN lenses with parabolic and hypersecant index profiles is insignificant.
In the case of a longitudinal translucency GRIN lens (0.25 pitch), the relation (1) for the IPD ΔL can be written as follows:
Δ L = Δ 0 L + Δ 1 L , Δ 0 L = 0 L C 0 ( σ θ σ r ) n b d z , Δ 1 L = 0 L C 0 σ r σ z 1 b 2 n 2 n b d z .
For the direct problem, we also take into account the contribution to the IPD from the component Δ 1 L , which was neglected when considering the inverse problem for longitudinal translucency (i.e., the reconstruction of the RS from the corresponding experiments) [24,25,26].
As can be seen from expressions (7), it is required to perform integration along the GRIN lens axis, for which it is necessary to transform the input distributions (σ(r), n(r), C0 (r)) into functions of z coordinate. In the case of the hypersecant distribution of RI, this problem is easily solved, since the explicit form of the trajectory equation r(z) (4) is known.
Let us denote the integrand in (7) as follows:
f 0 r = C 0 σ θ σ r n r n x ,   f 1 r = C 0 σ r σ z n r n x n x n r .
If the initial stress values are given as an array of values for some points 0 = r1 < r2 < … < rn = R, it is quite simple to express the function f0 from the coordinate z, namely at the points ri, where i = 1, 2, …, n, the values f0j (j = ni + 1), are calculated, and their corresponding values of z are found:
z j = 1 g arc cos sh ( g r i ) sh ( g x ) .
The integrand expressions in (7) are then approximated using splines with knots 0 = z1 < z2 < … < zn = L0/4, and the spline function can be integrated analytically:
0 L s z d z = i = 1 m 1 I z i ; z i + 1 + I z m , L , I z i , z i + 1 = z i z i + 1 s z d z ,   f ( z ) s ( z ) = a i + b i ( z z i ) + c i ( z z i ) 2 + d i ( z z i ) 3 .
In this case, 0 < L < L0/4, zm < L < zm+1.
The program based on this algorithm allows one to calculate Δ0 and Δ1 for lengths LL0/4. For other lengths, one should take advantage of the fact that the ray propagates along a periodic trajectory and calculate Δ as follows:
Δ 0,1 = k 0 L 0 4 f 0,1 z d z + 0 L k L 0 4 f 0,1 z d z , k is   even ,   Δ 0,1 = ( k + 1 ) 0 L 0 / 4 f 0,1 ( z ) d z 0 L k L 0 4 f 0,1 ( z ) d z , k is odd .  
Here, k represents the number of quarters of a period on the trajectory.

2.2. Reconstruction of the Residual Stresses in Transversal Translucency (Inverse Problem)

When determining the stresses with this method, it is common to perform translucency on separate cross-sections of the object. As shown in [24,25], the integral equation for the phase difference (1) is reduced to the Abel integral equation for the case of transverse translucency of GRIN lenses with g R ≤ 0.3:
Δ T ( a ) = 2 a u R C 0 σ z d r d u n d u u 2 a 2 ,
which gives the following:
σ z ( r ) = ( π C 0 ) 1 d u d r u ( r ) u R d Δ T d a d a a 2 u 2 ,
where ΔT(x) is the IPD of 2 plane-polarized oscillations in transverse translucence of the GRIN lens, a = xnR, u = rn(r), and nR ≡ n (R) is RI on the surface of the lens. As we see, expression (13) includes the singular convergent integral.
The stress components σθ(r) and σr(r) can be found using the so-called “sum rule” (14) [32], which is valid in the absence of an axial OH gradient, and the equilibrium condition for the cylinder (15) [29]:
σ z r = σ θ r + σ r r ,
σ θ = d ( r σ r ) / d r .
Some properties of ΔT(x) should be taken into account when analyzing experimental results and designing an algorithm for stress reconstruction. For example, due to the symmetry with respect to the rod axis (x = 0) it is obvious that
d Δ T ( x ) d x = 0   at   x = 0 .
In addition, for solid rods, the following conditions must be satisfied for the stresses to remain finite at the axis of the rod; in other words, the total area under the ΔT(x) curve must equal zero:
0 R Δ T ( x ) d x = 0 .
This condition will not be fulfilled if, for example, the birefringence is not entirely caused by stress. This is possible if there is additional birefringence, e.g., induced by molecular orientation. The integral in the previous equation is a non-singular convergent integral, and there are difficulties in its numerical evaluation. In addition, there is one experimental limitation in the accuracy of ΔT measurement. It can be shown that near the surface of the rod,
d Δ T ( x ) d x x = R = .
As a result, ΔT cannot be measured accurately near the surface, and the reconstruction of σz near the surface is inaccurate. In [33], the author overcomes this difficulty by finding the average birefringence along the light path, i.e., by extrapolating it to the outer surface of the rod. The rationale for this step lies in the fact that when the ray trajectory approaches the outer surface (i.e., xR), the trajectory becomes shorter. Consequently, the mean value of σz tends to be its true value. In the limit, the path of light will be tangent to the rod, and ΔT(x) = 0 because the path length goes to 0. However, the average birefringence approaches a certain value equal to the following:
σ z ( R ) = 1 2 C 0 l i m x R Δ T ( x ) R 2 x 2 = 1 C 0 l i m x R Δ T ( x ) L ( x ) ,
where L ( x ) = 2 R 2 x 2 , and L(x) is the geometric length of the probing ray path.
The relation to calculate the axial component RS on the surface of a cylinder accounting the curvature of the transmission rays is obtained in the following [24]:
σ z R = 3 4 Δ T m i n C 0 R 2 x 2 u R n R ,
where xm—is the translucency parameter corresponding to the IPD minimum near the cylinder surface; ΔT min—IPD value at point xm,   u ( r ) = d u / d r .
Taking these into account, a regularized algorithm based on the spline approximation of ΔT(x) and optimization of boundary conditions for ensuring the stability of the solution near the boundaries of the interval (0, R) was developed in [24,25,26].
It is important to note that the integral in (13) contains the derivative of the measured function, which leads to the enhancement of errors present in the experimental data.
In [34], it was shown how to avoid this in the case of a uniform (RI constant) glass cylinder with quenching stresses, which is used, in particular, in [35] for the reconstruction of RS in optical fiber preforms.
Let us find an analogous expression for the case of a cylindrical rod with an RI gradient. From relation (14), taking into account (15), we obtain the following:
σ z ( r ) = 1 r d d r r 2 σ r
Substituting (21) into (12) and assuming that C0(r)n(r) ~ C0nR, we obtain the Abel equation, the inversion of which gives the following:
σ r ( r ) = 1 π C 0 n R 1 r 2 u ( r ) u R a Δ T ( a ) d a a 2 u 2 .
The components σθ(r) and σz(r) can be found using (14) and (15).
In the limiting case of no RI gradient, (22) converges to the relation obtained in [34].
Thus, we eliminate the differentiation of the experimental function in the case of RS reconstruction for a cylinder with a RI gradient. Further, we use the algorithm based on relation (22) to reconstruct the RS in GRIN lenses from transverse translucency data.
The equations for the reconstruction of the axial and radial RS components (13) and (22), respectively, were obtained via Abel’s reversal (inversion) of the corresponding integral equations. To overcome the difficulties noted, robust solution algorithms have been developed. We used an algorithm based on approximating the original function with cubic splines, which could then be integrated analytically. The analytical expression of the spline allows us to easily express the derivative, which can be substituted into the integral (13).
Thus, computationally, the construction of the solution σz(r) at given spline coefficients is reduced to the summation of integrals expressed through elementary functions. Similar transformations were made for expression (22), which also produced a computationally simple solution algorithm. The algorithm was regularized by approximating the original function Δ(α) by smoothing splines with a reasonable choice of the vector of weight coefficients and boundary conditions of the spline approximation. The choice of boundary conditions was carried out taking into account the properties of the function under study (integral phase difference).

2.3. Measurements

A polarization-optical setup with a He-Ne laser and a Senarmon compensator were used for the measurements (Figure 3).
The rotation angles of the polarizer, the λ/4 plate, and the analyzer were measured with an accuracy better than ±1°, i.e., the difference of the path between the radially and tangentially polarized beams could be measured with an accuracy of ±3.5 × 10−6 mm (λ = 0.633 µm). With a specimen length of 20 mm, this corresponds to a measurement accuracy of
δ Δ n r θ = ± 2 × 1 0 5 .
The specimen under study is immersed in a cuvette with an index-matching fluid (with a refractive index noil) to eliminate the refraction of light at the specimen surface. Compensation angles ψi = Δi(xi) were recorded during the measurements for a given translucency parameter xi, which was varied by precisely moving the cuvette stage. The proper choice of the noil allowed the refraction in the GRIN to be partially compensated by the refraction at the sample boundary. The errors in the illumination parameter introduced in this case are as follows:
δ x = n oil n R n R 1 0 2 .
To estimate the reconstruction error δσz from transverse translucency data of cylindrical lenses, we use the expression obtained for the gradient-free case [36]:
δ σ Z = λ / 2 π π C δ x δ Δ δ x / r ln 2 r / δ x   ,
where δx and δΔ are errors in the translucency parameter x and phase difference Δ. For the used polarimetric unit, it amounted to δΔ ~ 10′ (3 × 10−3 rad). The uncertainty of the parameter x is determined with the radius of the beam waist, Δx ~ 40 µm. Thus, at C0 = 3.5 Br and r = 0.1 mm, the error is δσz ~ 0.06 kg/mm2; at r = 1 mm, it is δσz ~ 0.03 kg/mm2 (0.6 and 0.3 MPa, respectively). These calculations do not account for uncertainties in the determination of RS, refractive index, and the influence of the gradient, but nevertheless allow us to conclude that the reconstruction technique used provides results with satisfactory accuracy.

2.4. Samples under Study

To illustrate and verify the approach developed, we have studied GRIN lenses of lithium zirconosilicate glass OPS [37,38] and alumosilicate glass TSM-412 [39] subjected to lithium-sodium ion exchange, elaborated and provided by S. I. Vavilov State Optical Institute Scientific Production Association and St. Petersburg Technological University of Plant Polymers. The characteristics of the investigated GRIN lenses are given in Table 1.
In the present study, samples 1 and 2 were investigated via transverse translucency only, and sample 3 was investigated via both transverse and longitudinal translucency. Two types of characterization were used, i.e., a wide beam with scanning through a pinhole in the image plane of the object—longitudinal translucency (∆L(x) and scanning of the object itself with a focused beam ~40 µm in diameter—transverse translucency (∆T(x)). RS distributions σ(r) were reconstructed using a spline approximation Δ(x).

3. Results and Discussion

3.1. Residual Stresses

Figure 4 shows the phase difference vs. transverse translucency parameter for GRIN lens 3. Figure 5a gives the radial RS distributions of all the RS components for this GRIN. RS was reconstructed via calculations within the inverse problem based on the data in Figure 4.
Figure 5b presents similar dependencies on the RS reconstruction for GRIN 1.
In the RS reconstruction code, the experimental data were smoothed using splines.
It is necessary to note significantly higher values of the axial component of RS in GRIN 1 than in GRIN 3 (negative regions in RS dependencies correspond to compressive stresses). The reconstructed radial RS distributions of all RS components for samples 1, 2, and 3 are input arrays for calculations within the framework of the direct problem of birefringence characterization (functional optical anisotropy) under the longitudinal variant of rays passing through the corresponding GRIN lenses.
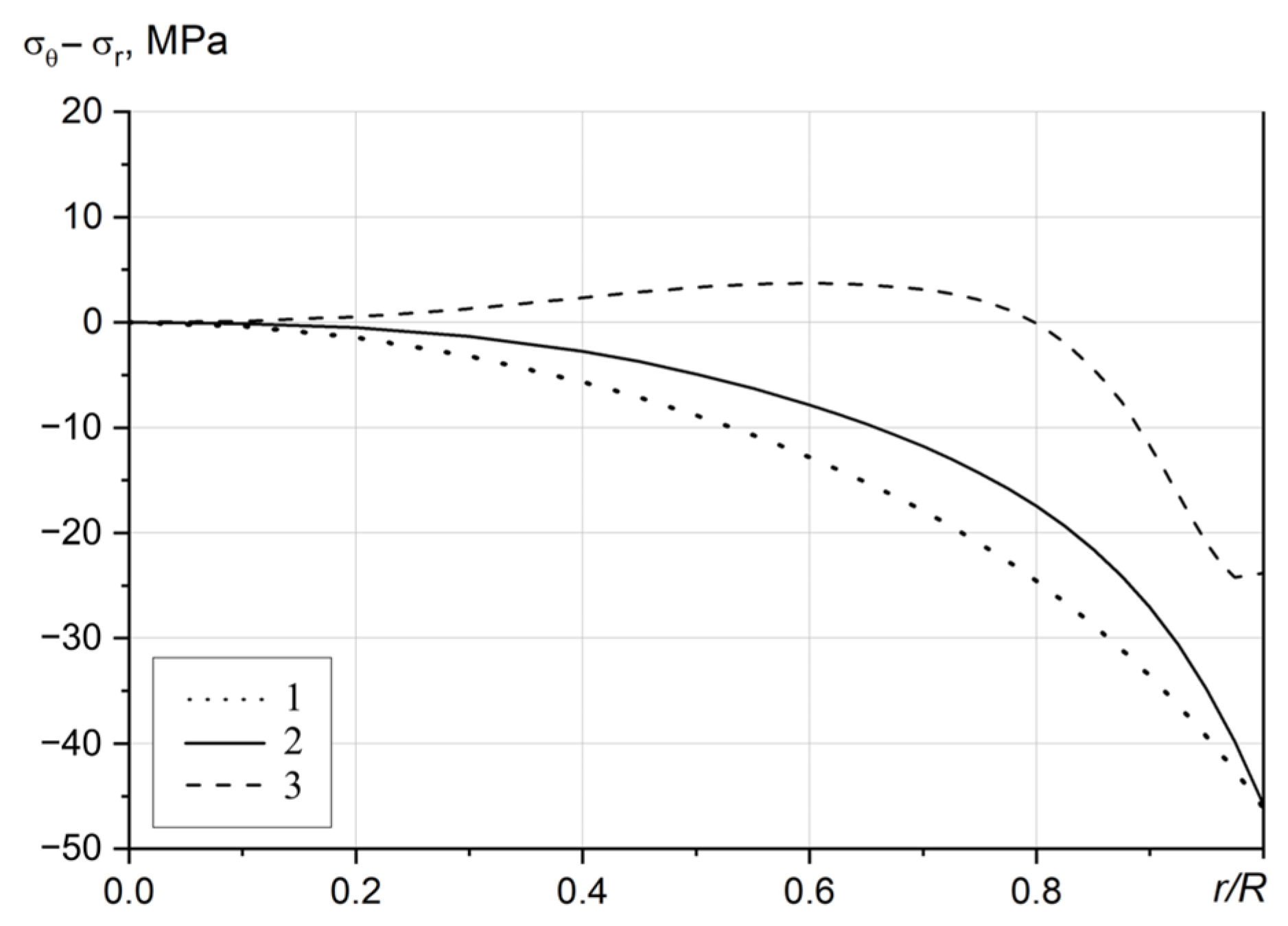
The radial distribution of differences in tangential and radial components Δσθr in specimens 1, 2, and 3 is shown in Figure 6.
As mentioned, the positive values of σz(r) correspond to tensile stresses, while negative values correspond to compressive ones.

3.2. Integral Phase Difference

For GRIN lenses 1, 2, and 3, using the obtained RS distributions as inputs, the IPD was calculated for the hypersecant RI distribution using the “direct problem” solution algorithm (see Section 2.1). The results are presented in Figure 7.
Using specimen 3, we studied the longitudinal translucency, which is presented in Figure 8.
As in the case of transverse translucency, the averaged experimental data were smoothed using splines.
Thus, the results show that all investigated GRIN lenses are characterized by sufficiently strong compressive stresses in the near-surface layers, which provides them with increased mechanical strength. A related effect is the large values of tangential and radial stress differences and, as a consequence, significant optical anisotropy in these GRIN lenses.
An example of a comparison of the IPD deduced from the transverse translucency data with experimental data on longitudinal translucency is shown in Figure 9 for specimen 3.
As can be seen, the calculated phase differences are quite close to the experimental ones, which confirms the applicability and accuracy of the developed algorithms.
The results obtained are applicable to the design of all GRIN lenses that are transparent to visible and near-infrared optical radiation (wavelength 0.5–1.5 µm). In this case, the diameters of the GRINs can range from 1 to 10 mm. The calculations of the optical characteristics of such GRIN lenses within the framework of the approach used are based on the geometrical optics approximation. In other spectral ranges, in particular at longer wavelengths, the relations presented are not valid.

4. Conclusions

Finally, in this paper, we present an algorithm allowing us to reconstruct the distribution of residual stresses and longitudinal optical anisotropy of GRIN lenses on the basis of transversal transmission measurements. Measurements of this kind, contrary to longitudinal transmission measurements, do not require precise segmentation of GRIN lenses, which essentially simplifies the lens characterization and, respectively, experimental studies aimed at the design of new gradient structures. The approach developed was verified in the experiments with a set of different GRIN lenses formed with the ion exchange technique, and the closeness of the data obtained from transversal and conventional longitudinal transmission measurements was demonstrated.
Modern gradient lenses with minimized birefringence are industrially produced and widely used in image transmission devices and fiber optic systems. At the same time, as noted in the Introduction, the combination of the focusing properties of GRIN lenses with radial birefringence has proven to be very effective for optical vortex generation in devices for polarization imaging of biological tissue structure, etc. [19,20,40,41,42]. Except for this, vortex beam generation systems are of interest for integrated photonics and communication systems using waves with a spiral wavefront. In these cases, it is relevant to increase the usually low level of optical anisotropy of GRIN lenses, i.e., their birefringence, and the models presented in this paper can be effectively used in the development of GRIN lenses with increased birefringence.

Author Contributions

Conceptualization, A.A.L.; methodology, V.V.Z. and D.D.K.; validation, A.S.K. and V.V.L.; formal analysis, N.T.S. and V.M.K.; investigation, D.I.D. and E.A.N.; data curation, D.D.K.; writing—original draft preparation, D.D.K. and D.I.D.; writing—review and editing, V.M.K. and D.D.K.; supervision, V.V.L. and D.D.K.; project administration, V.V.L. All authors have read and agreed to the published version of the manuscript.

Funding

A.A.L., V.V.Z. and D.D.K. are grateful to the Ministry of Science and Higher Education of the Russian Federation for the financial support as part of the World-class Research Center program: Advanced Digital Technologies (contract No. 075-15-2022-311 dated 20.04.2022). A.S.K., V.V.L., V.M.K., N.T.S., D.I.D. and E.A.N. thank the State assignment for basic research (project FSEG-2023-0016) for financial support.

Institutional Review Board Statement

Not applicable.

Informed Consent Statement

Not applicable.

Data Availability Statement

All data generated or analyzed during this study are included in this published article.

Conflicts of Interest

The authors declare no conflict of interest.

References

  1. Lipovskiĭ, A.A.; Rusan, V.V.; Tagantsev, D.K. Rapid technique for the determination of the refractive index of experimental glasses for graded-index optics. J. Opt. Technol. 2021, 88, 151–157. [Google Scholar] [CrossRef]
  2. Gordova, M.R.; Linares, J.S.; Lipovskii, A.A.; Zhurihina, V.V.; Tagantsev, D.K.; Tatarintsev, B.V.; Turunen, J. Prototype of hybrid diffractive/graded-index splitter for fiber optics. Opt. Eng. 2001, 40, 1507–1512. [Google Scholar]
  3. Huland, D.M.; Brown, C.M.; Howard, S.S.; Ouzounov, D.G.; Pavlova, I.; Wang, K.; Rivera, D.R.; Webb, W.W.; Xu, C. In vivo imaging of unstained tissues using long gradient index lens multiphoton endoscopic systems. Biomed. Opt. Express 2012, 3, 1077–1085. [Google Scholar] [CrossRef] [PubMed]
  4. Il’in, V.G.; Karapetyan, G.O.; Remizov, N.V.; Petrovsky, G.T.; Polyansky, M.N. Optics of Gradient-Index materials. Usp. Nauchn. Fotogr. 1985, 23, 106–121. [Google Scholar]
  5. Tagantsev, D.K.; Lipovskii, A.A.; Tatarintsev, B.V.; Zhurikhina, V.V.; Schultz, P.C. Silver-phosphate glasses for grin lenses with high numerical aperture. In Proceedings of the International Congress on Glass, Strasbourg, France, 1–6 July 2007; p. L17. [Google Scholar]
  6. Tagantsev, D.K.; Lipovskii, A.A.; Schultz, P.C.; Tatarintsev, B.V. Phosphate glasses for GRIN structures by ion exchange. J. Non. Cryst. Solids 2008, 354, 1142–1145. [Google Scholar] [CrossRef]
  7. Abdulhalim, I.; Pannell, C.N. Photoelastically induced light modulation in gradient-index lenses. Opt. Lett. 1993, 18, 1274–1276. [Google Scholar] [CrossRef]
  8. Wang, A.; He, S.; Fang, X.; Jin, X.; Lin, J. Optical fiber pressure sensor based on photoelasticity and its application. J. Light. Technol. 1992, 10, 466–472. [Google Scholar] [CrossRef]
  9. Wang, A.; Wu, B.; He, S.; Lin, J.X. Theoretical and experimental study of modal noise for non-function fiber sensors. Opt. Commun. Technol. 1988, 12, 27–31. (In Chinese) [Google Scholar]
  10. Visconti, A.; Bentley, J. Fabrication of large diameter radial gradient-index lenses by ion exchange of Na+ for Li+ in titania silicate glass. Opt. Eng. 2013, 52, 112103. [Google Scholar] [CrossRef]
  11. Mermillod-Blondin, A.; McLeod, E.; Arnold, C.B. High-speed varifocal imaging with a tunable acoustic gradient index of refraction lens. Opt. Lett. 2008, 33, 2146–2148. [Google Scholar] [CrossRef]
  12. Abramovich, A.A. Acoustic studies of gradient glasses. Acoust. Phys. 2009, 55, 353–358. [Google Scholar] [CrossRef]
  13. He, C.; Lin, J.; Dai, B.; Xi, P.; Booth, M. GRIN lens: A new element for complex vectorial beam modulation. Proc. SPIE 2020, 11297, 98–104. [Google Scholar]
  14. He, C.; Chang, J.; Hu, Q.; Wang, J.; Antonello, J.; He, H.; Liu, S.; Lin, J.; Dai, B.; Elson, D.S.; et al. Complex vectorial optics through gradient index lens cascades. Nat. Commun. 2019, 10, 4264. [Google Scholar] [CrossRef] [PubMed]
  15. Forbes, A. Common elements for uncommon light: Vector beams with GRIN lenses. Light Sci. Appl. 2019, 8, 111. [Google Scholar] [CrossRef] [PubMed]
  16. Willner, A.E.; Huang, H.; Yan, Y.; Ren, Y.; Ahmed, N.; Xie, G.; Bao, C.; Li, L.; Cao, Y.; Zhao, Z.; et al. Optical communications using orbital angular momentum beams. Adv. Opt. Photonics 2015, 7, 66–106. [Google Scholar] [CrossRef]
  17. Shen, Y.; Wang, X.; Xie, Z.; Min, C.; Fu, X.; Liu, Q.; Gong, M.; Yuan, X. Optical vortices 30 years on: OAM manipulation from topological charge to multiple singularities. Light Sci. Appl. 2019, 8, 90. [Google Scholar] [CrossRef]
  18. Khonina, S.N.; Striletz, A.S.; Kovalev, A.A.; Kotlyar, V.V. Propagation of laser vortex beams in a parabolic optical fiber. Proc. SPIE 2010, 7523, 82–93. [Google Scholar]
  19. He, C.; Chang, J.; He, H.; Liu, S.; Elson, D.S.; Ma, H.; Booth, M.J. GRIN lens based polarization endoscope: From conception to application. Proc. SPIE 2020, 11251, 82–86. [Google Scholar]
  20. He, C.; He, H.; Chang, J.; Dong, Y.; Liu, S.; Zeng, N.; He, Y.; Ma, H. Characterizing microstructures of cancerous tissues using multispectral transformed Mueller matrix polarization parameters. Biomed. Opt. Express 2015, 6, 2934–2945. [Google Scholar] [CrossRef]
  21. Aben, H.K. Integrated Photoelasticity; McGraw-Hill International Book Company: New-York, NY, USA, 1979. [Google Scholar]
  22. Aben, H.; Ainola, L.; Anton, J. Integrated photoelasticity for nondestructive residual stress measurements in glass. Opt. Lasers Eng. 2000, 33, 49–64. [Google Scholar] [CrossRef]
  23. Born, M.; Wolf, E. Principles of Optics, 7th ed.; Cambridge University Press: Cambridge, UK, 2019. [Google Scholar]
  24. Karov, D.; Loboda, V.; Kuzmina, A.; Puro, A. Photoelastic Express Diagnostics of the Surface Stresses in Rod Elements with Radial Refractive Index Gradient. In Proceedings of the 2020 IEEE International Conference on Electrical Engineering and Photonics (EExPolytech), St. Petersburg, Russia, 15–16 October 2020; pp. 196–200. [Google Scholar]
  25. Karov, D.; Puro, A.; Kuzmina, A. Polarization-optical tomography of mechanical stresses in dielectric cylindrical structures of hexagonal single crystal. In AIP Conference Proceedings; AIP Publishing: Melville, NY, USA, 2020; Volume 2308. [Google Scholar]
  26. Karov, D.; Puro, A.; Fadeev, A.; Kuzmina, A. Optical tomography of residual stresses in GRIN rod lenses with transverse and longitudinal translucence. J. Phys. Conf. Ser. 2019, 1236, 012038. [Google Scholar] [CrossRef]
  27. Fuki, A.A.; Kravtsov, Y.A.; Naida, O.N. Geometrical Optics of Weakly Anisotropic Media; Gordon and Breach Science Publishers: Amsterdam, The Netherlands, 1998. [Google Scholar]
  28. Ainola, L.; Aben, H. On the generalized Wertheim law in integrated photoelasticity. J. Opt. Soc. Am. A 2008, 25, 1843–1849. [Google Scholar] [CrossRef] [PubMed]
  29. Timoshenko, S.P.; Goodier, J.N. Theory of Elasticity, 3rd ed.; McGraw-Hill: New York, NY, USA, 1970. [Google Scholar]
  30. Boley, B.A.; Weiner, J.H. Theory of Thermal Stresses; Wiley: New York, NY, USA, 1960. [Google Scholar]
  31. Marchand, E.W. VII Gradient Index Lenses. Prog. Opt. 1973, 11, 305–337. [Google Scholar] [CrossRef]
  32. O’Rourke, R.C. Three-dimensional photoelasticity. J. Appl. Phys. 1951, 22, 872–878. [Google Scholar] [CrossRef]
  33. Karov, D.D.; Puro, A.E. Curved-ray tensor tomography for residual stress measurements in the axisymmetric graded rods. St. Petersburg Polytech. State Univ. J. Phys. Math. 2020, 13, 133–148. [Google Scholar] [CrossRef]
  34. Saenz, A.W. Determination of residual stresses of quenching origin in solid and concentric hollow cylinders from interferometric observations. J. Appl. Phys. 1950, 21, 962–965. [Google Scholar] [CrossRef]
  35. Calligaro, R.B.; Payne, D.N.; Anderssen, R.S.; Ellem, B.A. Determination of stress profiles in optical-fibre preforms. Electron. Lett. 1982, 18, 474–475. [Google Scholar] [CrossRef]
  36. Chu, P.L. Non-destructive measurement of index profile of an optical-fibre prerform. Electron. Lett. 1977, 13, 786–788. [Google Scholar] [CrossRef]
  37. Livshits, V.Y. Composition, structure and properties of glasses for ion exchange in a salt melt. Phys. Chem. Glas. 1993, 19, 521–535. [Google Scholar]
  38. Livshits, V.Y.; Shchavelev, O.S.; Goldenfang, B.G.; Nakhapetyan, R.A. Change of optical refractive index of alkali-silicate glasses containing zirconium oxide during ion exchange from salt melt. Phys. Chem. Glas. 1987, 13, 921–923. [Google Scholar]
  39. Livshits, V.Y.; Kozyrev, V.K.; Karapetyan, G.O.; Viktorova, Y.N. Gradient glass in the Li2O-Na2O-Al2O3-SiO2 system in the composition region [R2O/Al2O3] = 1. Phys. Chem. Glas. 1982, 8, 212–215. [Google Scholar]
  40. He, C.; Booth, M. Extraordinary Beam Modulation with Ordinary GRIN Lenses. Opt. Photonics News 2020, 31, 47. [Google Scholar] [CrossRef]
  41. Jisha, C.P.; Nolte, S.; Alberucci, A. Geometric Phase in Optics: From Wavefront Manipulation to Waveguiding. Laser Photonics Rev. 2021, 15, 2100003. [Google Scholar] [CrossRef]
  42. Kotlyar, V.V. Optical beams with an infinite number of vortices. Comput. Opt. 2021, 45, 490–496. [Google Scholar] [CrossRef]
Figure 1. Longitudinal translucence of a GRIN lens.
Figure 1. Longitudinal translucence of a GRIN lens.
Photonics 10 01221 g001
Figure 2. Transverse translucence of a GRIN lens.
Figure 2. Transverse translucence of a GRIN lens.
Photonics 10 01221 g002
Figure 3. Experimental setup for determining stress profiles in GRIN lenses. C—chopper, λ/4—quarter-wave plate, P—polarizer, L—lens, I—ditch with immersion liquid, IP—investigated preform, A—analyzer, PH—pin hole, and D—detector.
Figure 3. Experimental setup for determining stress profiles in GRIN lenses. C—chopper, λ/4—quarter-wave plate, P—polarizer, L—lens, I—ditch with immersion liquid, IP—investigated preform, A—analyzer, PH—pin hole, and D—detector.
Photonics 10 01221 g003
Figure 4. Phase difference vs. transverse translucency parameter for specimen 3.
Figure 4. Phase difference vs. transverse translucency parameter for specimen 3.
Photonics 10 01221 g004
Figure 5. Radial distribution of all RS components in specimens 3 (a) and 1 (b).
Figure 5. Radial distribution of all RS components in specimens 3 (a) and 1 (b).
Photonics 10 01221 g005
Figure 6. Radial distribution of differences in tangential and radial components σθ(r) − σr(r) in specimens 1, 2, and 3.
Figure 6. Radial distribution of differences in tangential and radial components σθ(r) − σr(r) in specimens 1, 2, and 3.
Photonics 10 01221 g006
Figure 7. IPD ΔL dependencies for GRIN lenses 1, 2, and 3.
Figure 7. IPD ΔL dependencies for GRIN lenses 1, 2, and 3.
Photonics 10 01221 g007
Figure 8. Dependencies of IPD on the longitudinal translucency parameter for specimen 3 (L = L0/4).
Figure 8. Dependencies of IPD on the longitudinal translucency parameter for specimen 3 (L = L0/4).
Photonics 10 01221 g008
Figure 9. Dependencies of IPD on the longitudinal translucency parameter for sample 3 (L = L0/2): solid line—experiment on longitudinal translucency; dashed line—calculation, direct problem (from radial distributions of RS according to transverse translucency data).
Figure 9. Dependencies of IPD on the longitudinal translucency parameter for sample 3 (L = L0/2): solid line—experiment on longitudinal translucency; dashed line—calculation, direct problem (from radial distributions of RS according to transverse translucency data).
Photonics 10 01221 g009
Table 1. Characteristics of the investigated GRINs.
Table 1. Characteristics of the investigated GRINs.
Specimen №GlassRI Original
nD
Co,
Br
ΔnRod Diameter,
mm
Temp. IE,
°C
IE Duration,
h
Content of Alkali Oxides, mol. %
Li2O
Na2O
1OPS-831.612.80.0108156305713
13
2OPS-831.662.80.0134166306013
13
3TSM-4121.5242.70.0089.96602411
10
Disclaimer/Publisher’s Note: The statements, opinions and data contained in all publications are solely those of the individual author(s) and contributor(s) and not of MDPI and/or the editor(s). MDPI and/or the editor(s) disclaim responsibility for any injury to people or property resulting from any ideas, methods, instructions or products referred to in the content.

Share and Cite

MDPI and ACS Style

Lipovskii, A.A.; Dolzhenko, D.I.; Kapralova, V.M.; Karov, D.D.; Korotkov, A.S.; Loboda, V.V.; Nikitina, E.A.; Sudar, N.T.; Zhurikhina, V.V. An Integrated Photoelasticity-Based Approach for the Reconstruction of Stress Profiles and Optical Anisotropy of GRIN Lenses. Photonics 2023, 10, 1221. https://doi.org/10.3390/photonics10111221

AMA Style

Lipovskii AA, Dolzhenko DI, Kapralova VM, Karov DD, Korotkov AS, Loboda VV, Nikitina EA, Sudar NT, Zhurikhina VV. An Integrated Photoelasticity-Based Approach for the Reconstruction of Stress Profiles and Optical Anisotropy of GRIN Lenses. Photonics. 2023; 10(11):1221. https://doi.org/10.3390/photonics10111221

Chicago/Turabian Style

Lipovskii, Andrey A., Dmitry I. Dolzhenko, Viktoria M. Kapralova, Dmitry D. Karov, Alexander S. Korotkov, Vera V. Loboda, Elizaveta A. Nikitina, Nicolay T. Sudar, and Valentina V. Zhurikhina. 2023. "An Integrated Photoelasticity-Based Approach for the Reconstruction of Stress Profiles and Optical Anisotropy of GRIN Lenses" Photonics 10, no. 11: 1221. https://doi.org/10.3390/photonics10111221

APA Style

Lipovskii, A. A., Dolzhenko, D. I., Kapralova, V. M., Karov, D. D., Korotkov, A. S., Loboda, V. V., Nikitina, E. A., Sudar, N. T., & Zhurikhina, V. V. (2023). An Integrated Photoelasticity-Based Approach for the Reconstruction of Stress Profiles and Optical Anisotropy of GRIN Lenses. Photonics, 10(11), 1221. https://doi.org/10.3390/photonics10111221

Note that from the first issue of 2016, this journal uses article numbers instead of page numbers. See further details here.

Article Metrics

Back to TopTop