Next Article in Journal
Research on Bandwidth Improvement of Fine Tracking Control System in Space Laser Communication
Next Article in Special Issue
Look-Up-Table-Based Direct-Detection-Faster-Than-Nyquist-Algorithm-Enabled IM/DD Transmission with Severe Bandwidth Limitation
Previous Article in Journal
Numerical Aperture-Dependent Spatial Scaling of Plasma Channels in HPHT Diamond
Previous Article in Special Issue
Frequency-Shift Monitoring of Optical Filter Based on Optical Labels over FTN-WDM Transmission Systems
 
 
Font Type:
Arial Georgia Verdana
Font Size:
Aa Aa Aa
Line Spacing:
Column Width:
Background:
Article

Optimization Method for Center Frequency Accuracy of High-Channel-Count Arrayed Waveguide Grating in Dense Wavelength Division Multiplexing Systems

1
The State Key Laboratory of Precision Manufacturing for Extreme Service Performance, College of Mechanical and Electrical Engineering, Central South University, Changsha 410083, China
2
The Huangshan Bright Semiconductor Co., Ltd., Huangshan 245021, China
*
Author to whom correspondence should be addressed.
Photonics 2023, 10(11), 1178; https://doi.org/10.3390/photonics10111178
Submission received: 24 September 2023 / Revised: 10 October 2023 / Accepted: 16 October 2023 / Published: 24 October 2023
(This article belongs to the Special Issue Optical Communication, Sensing and Network)

Abstract

:
The arrayed waveguide grating (AWG) is an essential component in dense wavelength division multiplexing (DWDM) systems. With advancements in optical communication technology, the number of AWG output channels has rapidly increased. However, achieving high center frequency accuracy (CFA) for these channels has become a significant challenge. This paper presents a design and optimization approach for a high-channel-count AWG based on the silica platform and the finite difference beam propagation method (FD-BPM). The causes of center frequency deviation are analyzed, and an optimization method is proposed to adjust the constraint relationship and geometric position of the output waveguides in order to improve CFA. Simulation results demonstrate the excellent optical performance of the designed AWG, achieving a CFA of up to 0.04 times the output channel frequency spacing. The insertion loss, insertion loss uniformity, and adjacent output channel crosstalk are simulated as 1.51 dB, 0.38 dB, and 23.81 dB, respectively. The optimized CFA could compensate for center frequency deviations caused by manufacturing errors and temperature fluctuations. The findings of this research hold potential for extending the optimization to other material platforms and contributing to the development of DWDM systems in the field of optical communication.

1. Introduction

Over the past decade, the development of optical communication technology has led to a substantial increase in global data traffic. Enhancing the speed and capacity of optical communication has become an urgent challenge to address [1]. Dense wavelength division multiplexing (DWDM) systems have emerged as the preferred solution for various domains, including ultra-large-scale data centers and optical interconnect networks for 5G and 6G communications [2]. As a critical component within DWDM systems, arrayed waveguide grating (AWG) based on planar waveguide circuits offers advantages such as technological maturity, excellent performance, ease of integration, and relatively low costs [3]. Therefore, research on AWG in the field of optical communication has received continuous attention and advancement from researchers [4].
AWG has clear advantages compared to other forms of wavelength division multiplexers such as Mach–Zehnder interferometers [5], long-period gratings [6], and Bragg gratings [7]. Depending on the requirements, AWG can accommodate a sufficient number of output channels with narrow channel spacing while maintaining compactness. Furthermore, the optical performance of AWG exhibits desirable characteristics, including low loss, low crosstalk, high bandwidth, and high spectral resolution. As a result, AWG plays a crucial role in various other research fields, such as astronomy [8], optical imaging [9,10], spectroscopy [11,12], optical sensing [13,14], biomedical applications [15], and neural networks [16,17]. Moreover, the rapid advancement of AWG technology has led to the diversification of material platforms used for its fabrication, including silicon [18,19], silica [20,21], SiN [22,23,24], InP [25], LNOI [3,26], and polymers [15,27]. Additionally, the application of AWG is not limited to individual devices anymore, as it can be integrated on-chip with other components, such as optical frequency combs [28], micro-ring resonators [29,30], and others. This allows AWG to achieve more versatile functionalities and further expand its two-dimensional and even three-dimensional integration approaches [28,31].
The development of AWG with an increased number of output channels and reduced channel spacing is currently a prevailing trend [4,19,21,32]. However, the addition of more channels and the narrowing of channel spacing present difficulties in ensuring the optical performance of AWG and lead to an increase in their physical size. The center frequency accuracy (CFA) of AWG output channels measures the deviation between the center frequency of each channel and its ideal value. Nevertheless, the greater number of channels and narrower channel spacing pose significant challenges in the design and optimization of CFA [13,20,29,33]. Factors affecting CFA include not only manufacturing errors and operating temperatures of the devices [10,34], but also the improper selection of channel spacing parameters during the design phase of AWG [35]. In the field of optical communications, particularly in DWDM systems, achieving a high level of CFA is a critical factor in ensuring communication quality. Therefore, it is of utmost importance to identify appropriate optimization methods.
The structure of this paper is organized as follows: In Section 2, an analysis of the causes of deviations in the center frequency based on the design theory of AWG is presented. In Section 3, the design of an AWG with 80 output channels using the silica material platform is described. Section 4 introduces the optimization methods that significantly improve the CFA performance of the designed AWG through a series of optimization steps. Section 5 and Section 6 provide an analysis and discussion of the results of the design and optimization work, and is followed by the conclusion.

2. Causalities of Center Frequency Deviation

This section focuses on analyzing the reasons for the deviation of the central frequency and provides optimization ideas to improve the CFA. The structure of a typical AWG is shown in Figure 1, which consists of five main parts: input/output waveguides, input/output star couplers (free propagation region), and an arrayed waveguide section. The working principle of the AWG as a demultiplexer is as follows: Signals consisting of multiple wavelengths enter the device through the input waveguide and undergo diffraction in the input star coupler region. Then, they couple the same phase into the arrayed waveguide section. Due to the constant length difference between adjacent waveguides in the array, signals of the same wavelength have the same phase difference when they reach the output star coupler, while signals of different wavelengths have different phase differences. In the output star coupler region, signals of different wavelengths undergo diffraction and focus on their corresponding output waveguide positions. Finally, the signals are output through the output waveguides, completing the demultiplexing function. If the signals are input in reverse, the above process is reversible, thus achieving the multiplexing function.
Figure 1 illustrates some key structures and parameters involved in the design and optimization process of the AWG. The input waveguide is located in the bottom right corner, while the input/output star couplers are symmetrically distributed on the left and right sides, with the arrayed waveguides positioned in the middle, connecting the two star couplers. The output waveguides are labeled as o1on, and the angular spacing between them is denoted as α1αn-1. Point O represents the center of the Rowland circle, and an (x, y) Cartesian coordinate system is established with point O as the origin. βi represents the angular position of the output waveguide relative to the y-axis, with values closer to the y-axis indicating proximity to 90 degrees. On the Rowland circle, D represents the spacing between output waveguides, W represents the width of the output waveguide taper, L represents the length of the output waveguide taper, and R represents the radius of the Rowland circle. Similarly, the geometric parameters defining the arrayed waveguides on the grating circle are analogous to those of the output waveguides on the Rowland circle. Specifically, d represents the spacing between arrayed waveguides, w represents the width of the arrayed waveguide taper, l represents the length of the output waveguide taper, and r represents the radius of the grating circle. However, to keep the figure more concise, these parameters are not explicitly labeled in the diagram.
According to the specifications set by the International Telecommunication Union (ITU) regarding the output channel grid for optical communication applications, the output channel spacing of an AWG should adhere to a constant frequency interval rather than a constant wavelength interval. However, the current mainstream commercial AWG design software (such as Rsoft AWG Utility version 2020.03, Optiwave WDM Phasar version 2.0, etc.) commonly utilizes a constant wavelength interval as a fundamental parameter in the design process. As a result, the AWG designed using these software tools often fails to meet the requirement of a constant frequency interval, which is essential for optical communication applications.
According to the relationship between wavelength, speed of light, and frequency, the relationship between wavelength spacing and frequency spacing can be derived as shown in Equation (1).
Δ λ i = c Δ f i f i f i + 1
where Δλi denotes the wavelength spacing between the i-th and (i + 1)-th output channels, and Δfi represents the frequency spacing between the i-th and (i + 1)-th output channels. The parameter c represents the speed of light, while fi and fi+1 correspond to the center frequencies of the i-th and (i + 1)-th output channels, respectively.
Taking the output waveguides o1 and o2 in Figure 1 as an example, the relationship between their corresponding center wavelengths can be described as λ1 < λ2. According to Equation (1), it follows that the relationship between their center frequencies is f1 > f2. Therefore, we have Δλ1 = λ2λ1 and Δf1 = f1f2, where Δλ1 and Δf1 represent the wavelength spacing and frequency spacing, respectively, between the output channels corresponding to waveguides o1 and o2. In optical communication applications, the design of AWG often involves selecting a frequency spacing Δf for the output channels, such as 50 GHz, 100 GHz, or 200 GHz. According to Equation (1), with the speed of light c and Δfi being constants, as o1 gradually changes to on, the values of fi and fi+1 decrease, resulting in an increase in Δλi. This implies that the wavelength spacing Δλi of the output channels in an AWG is not constant; it varies with the numbering of the output waveguides.
The relationship between αi and the corresponding Δλi can be derived from the angular dispersion equation of the AWG output channels, as shown in Equation (2).
α i = 180 Δ λ i n g m π n s n c d
where αi represents the angular spacing between output waveguides; Δλi denotes the wavelength spacing between output channels; m represents the diffraction order; d stands for the arrayed waveguide spacing; ng represents the group refractive index of the arrayed waveguide; ns denotes the effective refractive index of the slab waveguide; and nc represents the effective refractive index of the rectangular waveguide.
The calculation and determination of αi play a crucial role in the performance of CFA. According to Equations (1) and (2), when all other parameters are constant, a constant Δfi will result in a gradual increase in αi with the increase of Δλi. However, in practical applications, commercial AWG design software often fixes the value of Δλi, which in turn makes αi a constant. This approach overlooks the accuracy of the device’s actual physical structure, leading to deviations in the center frequency of the output channels.
It is noteworthy that the aforementioned center frequency deviations exhibit cumulative behavior. According to Equations (1) and (2), it can be observed that as the number of output channels increases, the accumulated center frequency deviations become more significant for the channels located closer to the edges. This poses a critical optimization challenge for AWG with a high number of channels, particularly in the context of their application in DWDM systems within the field of optical communication.
Apart from adjusting αi, the constraint relationship and geometric position of the AWG output waveguides also require careful consideration of the values of βi. As illustrated in Figure 1, αi determines the angular spacing between the output waveguides, while βi determines their angular position relative to the y-axis. This implies that solely adjusting αi is insufficient to meet the performance requirements of CFA; appropriate modifications to βi are also necessary.
Based on the analysis and discussion above, it can be concluded that adjusting and modifying αi and βi are crucial steps in enhancing CFA performance. The specific adjustment methods and details need to be determined based on the designed AWG. The subsequent section will provide a comprehensive discussion on the optimization method for CFA, taking into account the device design considerations.

3. Device Design

In this section, we present an AWG designed for application in DWDM systems. The design of the AWG was carried out using the finite difference beam propagation method (FD-BPM). The AWG has 80 output channels (n = 80), an operating center wavelength (λ0) of 609.95 nm, and an output channel frequency spacing (Δf) of 200 GHz. The core material used is Ge-doped SiO2, and the cladding material is SiO2. The refractive index difference (δ) between the core and cladding materials is 1.5%.
The waveguide type selected for this study is rectangular waveguide, and the determination of the waveguide’s single-mode transmission condition and minimum bending radius was based on simulation results, as shown in Figure 2. Within a specific wavelength range, when the height of the waveguide is fixed, the number of modes that can be stably transmitted inside the waveguide is determined by the width of the waveguide. Considering the device’s operating center wavelength and AWG design experience, a Ge-doped SiO2 with a film thickness of 1.5 μm, corresponding to a waveguide height of 1.5 μm, was initially chosen. Subsequently, within the device’s operating wavelength range of 600 nm to 620 nm, the effective refractive index of the TE mode inside the waveguide was simulated at different widths, as depicted in Figure 2a. It can be observed that with increasing width, higher-order modes gradually appear. The effective refractive index of the TE mode varies for different wavelengths, but the number of supported modes remains relatively consistent for the same width. The simulation results indicate that, under the same parameter settings, the effective refractive index of the TM mode is essentially the same as that of the TE mode. Hence, a waveguide width of 1.5 μm is a suitable choice as it enables single-mode transmission within the designed operating wavelength range. Additionally, in order to achieve a more compact design for the AWG, the bending radius was simulated in Figure 2b. Here, a segment of waveguide with a height and width of 1.5 μm underwent a 90-degree bend. As the bending radius decreases, the dimensions of the AWG structure can be reduced; however, the loss in the bent section of the waveguide also increases. There is a trade-off between the size and performance of the device. When the bending radius is 2000 μm, the transmittance of the aforementioned 90-degree bent waveguide reaches 99.5%, with a low loss of 0.02 dB. Therefore, the final choice for the minimum bending radius of the waveguide is 2000 μm.
In order to improve the optical performance of the designed AWG, the main structural parameters in Figure 1 were selected based on the simulation results. The output waveguide spacing, denoted as D, is a crucial parameter affecting the crosstalk between adjacent output channels (AX). D needs to be sufficiently large to ensure minimal AX. The array waveguide spacing, denoted as d, has a significant impact on the insertion loss (IL), with smaller d values leading to better IL performance. However, smaller d values may negatively affect insertion loss uniformity (ILU). Increasing the width of the output and array waveguides taper promotes higher coupling efficiency. It is desirable to have W and w values as close as possible to D and d, respectively. Additionally, a minimum gap of 1.2 μm between the waveguide structures should be maintained to ensure manufacturing feasibility. Since subsequent optimization of CFA requires adjustments to αi, which may alter the determined value of D, the difference between D and W should be greater than 1.2 μm. The lengths of the output waveguide and array waveguide tapers, denoted as L and l, respectively, should not be too small, and their values should be selected based on the corresponding widths to ensure mode decoupling. The ILU is sensitive to the ratio of the Roland circle radius to the grating circle radius. A larger R/r ratio straightens the arc of the Roland circle, facilitating better acceptance of diffracted light by the edge output channels. The value of the free spectral range (FSR) is generally 1.5−2 times the number of output channels or even larger, effectively avoiding excessive insertion loss in the edge output channels. The main parameter values of the designed AWG in this study are presented in Table 1.
Due to the large number of output channels in the designed AWG, improving the ILU performance has become a challenge. Even with the optimization of the aforementioned structural parameters, including R/r and FSR, the simulation results indicate that the desired ILU performance target (<0.5 dB) cannot be achieved. Fine adjustments to the width of the output waveguide tapers can effectively address this issue. Typically, output channels in the middle region of the AWG spectrum exhibit lower insertion losses, while those in the edge region experience higher insertion losses. By reducing the width of the output waveguide tapers in the middle region of the spectrum, the insertion losses of the corresponding output channels can be increased, thereby improving the uniformity among all output channels. Following this approach, the width of each output waveguide taper was individually adjusted, as indicated by W in Table 1. This followed the principle of larger widths on the sides and smaller widths in the middle, with a nearly linear variation. The width of tapers for output waveguides o1o40 and o80o41 decreased linearly from 3 μm to 1.92 μm, respectively. The simulation results demonstrate that this approach achieves the desired ILU performance target. The final footprint of the designed AWG is 19 × 19 mm², as shown in Figure 3, and its main optical performance is summarized in Table 2.

4. Optimization Method of the CFA

In this subsection, we further refine the structural parameters of the designed AWG and propose an optimization method for CFA. By adjusting αi and βi, we make modifications to the constraint relationship and geometric position of the output waveguides. This enables us to achieve a high level of CFA.
According to Table 2, the CFA without optimization is 67.63 GHz. The CFA values for each output channel are shown in Figure 4, where the CFA is calculated by subtracting the center frequency of each output channel in the design parameters from the corresponding center frequency in the simulation results. Figure 4 reveals that the output channels closer to the edges exhibit larger center frequency deviations, while the ones closer to the center show smaller deviations. The center frequency deviations demonstrate a clear cumulative characteristic. Generally, for AWG used in the field of optical communication, the output channel CFA should not exceed 10% of the output channel frequency spacing. The designed AWG in this study has an output channel frequency spacing of Δf = 200 GHz, indicating that the CFA should be less than 20 GHz. However, the CFA shown in Figure 4 significantly exceeds this performance requirement, indicating the need for further improvement.
Based on the previous analysis and discussion, the first adjustment is made to the angular spacing of the output waveguides to correct the constraint relationship of the output waveguides. In the simulation, the channel wavelength spacing Δλi is set to 0.25 nm, and the values of ng, ns, and nc are 1.4815, 1.4741, and 1.4687, respectively. The values of m and d are referenced in Table 1. By substituting all the parameters into Equation (2), the value of αi can be calculated as 0.0441 degrees, and this value is defined as αi1. A comparison reveals that the value of αi1 is the same as the initial set value for the output waveguide angular spacing in the simulation.
In order to obtain the correct αi, it is necessary to first calculate the wavelength spacing Δλi that varies with the output channel frequency according to Equation (1) and then substitute it into Equation (2). From Table 1, it is known that the designed AWG output channel frequency spacing is Δf = 200 GHz. The center frequencies of the first and last output channels are f1 = 499.4 THz and f80 = 483.6 THz, respectively. Furthermore, the parameters ng, ns, and nc in Equation (2) are wavelength-dependent parameters that vary with wavelength. In particular, the dispersion effect dominates in the arrayed waveguide region of the AWG. Therefore, all parameters related to frequency and wavelength need to be adjusted, including Δλi (f), ng (λ), ns (λ), and nc (λ).
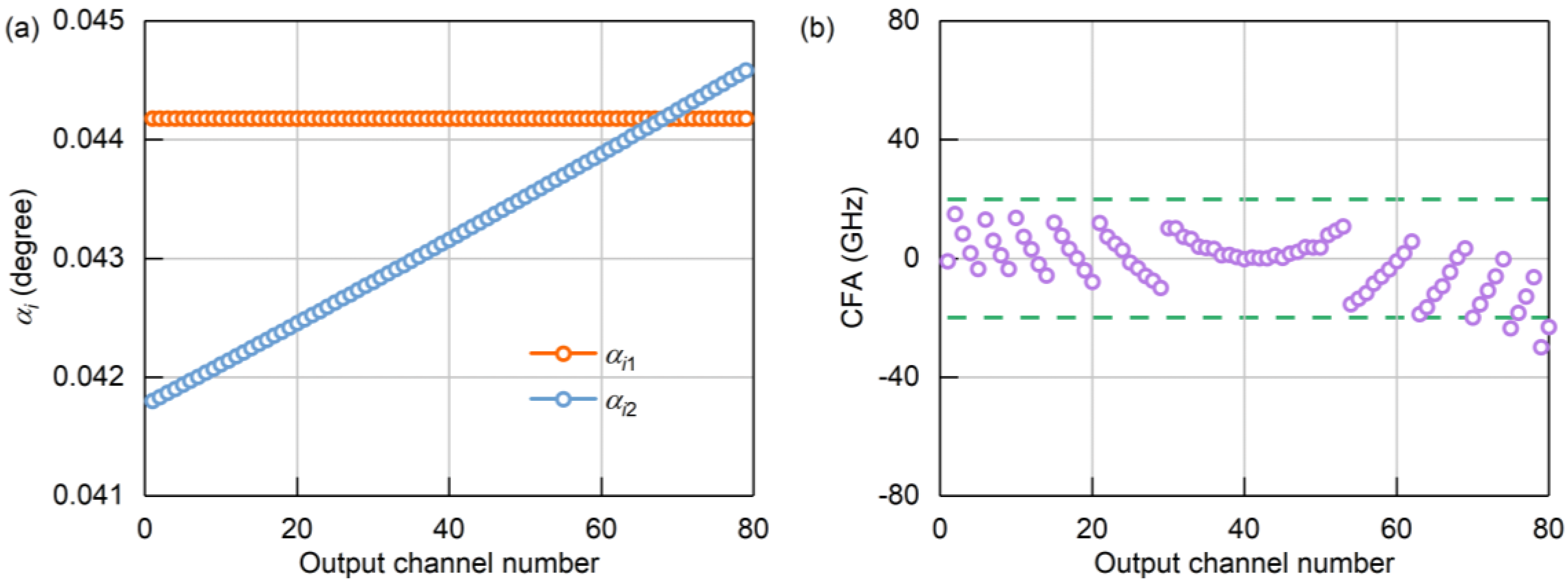
By substituting the adjusted parameters into Equations (1) and (2), the correct output waveguide angular spacing can be calculated and defined as αi2. The comparison of the values between αi1 and αi2 is shown in Figure 5a, where αi1 is a fixed value, while αi2 gradually increases with the variation of output channels. This indicates that the arrangement of output waveguides on the Roland circle of the output star coupler is not uniform. Simulating the designed AWG with the adjusted output waveguide angular spacing αi2, the obtained CFA is shown in Figure 5b. At this stage, the CFA value is 29.89 GHz, which is very close to the expected optimization target.
Next, the adjustment of the angular position of the output waveguides relative to the y-axis is carried out. Since the angle adjustment is small, a new variable Δβi is defined to represent the change in geometric position. The calculation of Δβi is obtained by subtracting the value of βi before the angular position change from its value after the change. The angular position before adjusting αi is denoted as βi1, while the angular position after adjusting αi is denoted as βi2. The change in geometric position for all output waveguides after adjusting αi can be calculated as Δβi1 = βi2βi1, as shown in Figure 6.
Given that the output waveguide angular spacing has been determined as αi2, further optimization of the CFA can only be achieved by adjusting βi. The angular position of the output waveguides after further adjustments is represented by βi3. Determining the appropriate value of βi3 is a procedural task; therefore, employing external codes (such as Matlab, Python, C++, etc.) for simulation and search is a suitable choice. Figure 7 illustrates the flow diagram for searching βi3. Initially, βi3 is incrementally varied with a step size of 0.1 times αi1, and external codes are utilized to compute and simulate βi3 in order to determine the sign of the superposed quantity Σ. Subsequently, the multiplier of Σ is gradually increased to search for βi3 based on the desired CFA as the evaluation criterion. Once the CFA requirement of being less than j times Δf is satisfied, the final βi3 that meets the expected CFA performance indicator is obtained. Here, the value of j should be less than or equal to 0.1 (in this paper, j = 0.05). Based on βi3, Δβi2 = βi3βi2 can be calculated, which represents the variation in the geometric position of all output waveguides after adjusting βi, as shown in Figure 6.

5. Results and Discussions

After the adjustment of αi and βi, the simulation results of the AWG were analyzed and discussed. The CFA obtained from the optimized simulation is shown in Figure 8a. In comparison to Figure 4 and Figure 5b, it can be observed that the CFA of all output channels is within the range of 20 GHz, indicating a significant improvement in performance. Figure 8b presents a comparison of the frequency spacing Δf for all output channels before and after optimization. Although the values of Δf were more concentrated before optimization, the fitted curve reveals that the Δf after optimization is closer to 200 GHz. The simulation results demonstrate that the average value of Δf before optimization was 201.64 GHz, whereas the average value after optimization was 199.95 GHz. While the values of Δf before optimization were concentrated, there was a difference of 1.64 GHz between the average value and 200 GHz, and this discrepancy gradually accumulated towards the output channels located near the edges. According to the simulation results, the value of CFA before optimization was 67.63 GHz. In contrast, the values of Δf after optimization, although dispersed, were uniformly distributed around 200 GHz, with a mere 0.05 GHz difference from the average value of 200 GHz. This implies that the edge output channels will not accumulate higher CFA values, leading to a more effective enhancement of the CFA. Based on the simulation results, the value of CFA after optimization was 7.99 GHz.
Figure 9 compares the local spectra of the AWG output before and after CFA optimization. The designed AWG operates within a wavelength range of 600 nm to 620 nm, corresponding to output channels 1−80. By comparing the spectra before and after optimization, it can be observed that the spectra of output channels 1−40 undergo a noticeable red shift after optimization, while the spectra of output channels 41−80 experience a significant blue shift. The output channels closer to the edges exhibit larger shifts in both the red and blue directions. This further confirms the cumulative characteristic of center frequency deviation in the edge channels of high-channel-count AWG in DWDM systems. This negative characteristic poses a critical challenge that needs to be addressed for the expansion and acceleration of DWDM systems. The optimized spectra show no significant upward or downward shifts, apart from the red and blue shifts. Additionally, the shape of the spectra remains nearly unchanged compared to before optimization, indicating that the optimization of CFA does not have a significant impact on the main optical performance of the AWG.
Table 3 presents the main optical performance of the designed AWG after optimization, and Figure 10 shows the output spectrum of the optimized AWG. It can be observed that the insertion loss, insertion loss uniformity, and adjacent output channel crosstalk essentially remain unchanged and are not affected by the optimization process. Furthermore, the layout design of the AWG in Figure 3 is also unaffected, with the device size remaining at 19 × 19 mm². The only optical performance that is affected is the CFA, which improves from 67.63 GHz to 7.99 GHz, indicating the effectiveness of the optimization method.
The flow diagram for the CFA optimization method in this study is illustrated in Figure 11. The overall optimization process can be summarized in four steps. In the first step, the AWG is preliminarily designed following the general design process. In the second step, the main structural parameters are optimized to achieve favorable optical performance indicators. The third step involves adjusting the angular spacing αi and modifying the constraint relationship of the output waveguides based on Equations (1) and (2). The fourth step utilizes external code in conjunction with device simulation to search for suitable angular positions βi and adjust the geometric position of the output waveguides. Theoretically, since the AWG simulation allows for infinite subdivision of the operating wavelength range and parameter search using external code, the proposed optimization method can theoretically approach a CFA of 0 GHz. However, in practice, due to limitations in computational resources and time costs, it is generally more appropriate to strike a balance based on the desired performance objectives.
Table 4 presents several different CFA optimization methods. By comparing them, it can be observed that the optimization method proposed in this paper achieves a higher level of CFA, approximately 0.04Δf. Two research works based on the Si material platform in the table [13,33] demonstrate optimization effects on CFA similar to or even better than this study, but they both involve the addition of extra optical structures. The use of serially connected fiber Bragg grating and parallel AWG significantly increases the device size compared to a single AWG on the same material platform. The research work based on the silica material platform in the table [35] is also effective, but its optimization method for CFA relies on empirical formulas, lacking sufficient persuasiveness. Optimizing CFA during the AWG design stage and allowing for a sufficient tolerance range is advantageous for reducing center frequency deviations caused by manufacturing errors and operating temperature variations. In addition to silica, the findings of this study are equally applicable to other material platforms. In the future, the research work presented in this paper can be further expanded to include high refractive index differences and even anisotropic material platforms.

6. Conclusions

This study has focused on investigating the issue of center frequency deviation in high-channel-count AWG within DWDM systems. It has been observed that the center frequency deviation exhibits a cumulative characteristic, with the accumulation of center frequency deviation being greater in output channels closer to the edges as the number of output channels increases. By adjusting the angular spacing αi and the angular position βi, as illustrated in Figure 1, it is possible to correct the constraint relationship and geometric position of the output waveguides. Based on theoretical derivations, an optimization method has been proposed that combines simulations and external code to adjust αi and βi, resulting in a high-level CFA. To demonstrate the effectiveness of the proposed optimization method, an AWG with 80 output channels was designed and optimized on the silica material platform, with an operating center wavelength of 609.95 nm and an output channel frequency spacing of 200 GHz. The optimization method was implemented using the FD-BPM for simulations. The results indicate a significant reduction in the center frequency deviation of the designed AWG. The achieved CFA was simulated to be 7.99 GHz, which is approximately 0.04 times the output channel frequency spacing. A comparison with state-of-the-art research results highlights the unique advantages of this study. The proposed optimization method offers several notable advantages. Firstly, it does not require the integration of the AWG with other devices, allowing for maximum utilization of the dimensional benefits of a standalone AWG structure. Secondly, it effectively minimizes the center frequency deviation in each output channel, providing sufficient tolerance for manufacturing errors and operating temperature variations. Moreover, the method’s reliance on theoretical formulas enables its extension to AWG-related devices on alternative material platforms. This provides support for the advancement of DWDM system technology in the field of optical communication.

Author Contributions

Conceptualization, Y.Z.; methodology, Y.Z.; software, X.T.; validation, X.T.; formal analysis, X.T.; investigation, X.T.; resources, J.L.; data curation, X.T.; writing—original draft preparation, X.T.; writing—review and editing, Y.Z.; visualization, X.T.; supervision, J.-a.D.; project administration, J.-a.D.; funding acquisition, J.-a.D. All authors have read and agreed to the published version of the manuscript.

Funding

This research was funded by the National Natural Science Foundation of China with grant number U22A20200, the National Natural Science Foundation of China with grant number 52175445, the Natural Science Foundation of Hunan Province, China, with grant number 2022JJ30743, and the Key Research and Development Program of Hunan Province, China, with grant number 2023GK2024.

Institutional Review Board Statement

Not applicable.

Informed Consent Statement

Not applicable.

Data Availability Statement

The data that support the findings of this study are available from the corresponding author upon reasonable request.

Conflicts of Interest

The authors declare no conflict of interest.

References

  1. Sinha, A.; Bhardwaj, D.; Shukla, V. Comparative analysis of optical data center switches. J. Opt. Commun. 2023. [Google Scholar] [CrossRef]
  2. Wu, X.; Liu, C.; Liu, W.; Yuan, Z.; Wu, K.; Tang, F.; Chen, H.; Liu, W.; Yang, L.; Zhang, J.; et al. Monolithic integrated cyclic 64-channel AWG with MZI filters and arrayed vertical reflecting mirrors for WDM-PON application. Appl. Opt. 2019, 58, 8282–8289. [Google Scholar] [CrossRef] [PubMed]
  3. Yu, Y.; Yu, Z.; Zhang, Z.; Tsang, H.; Sun, X. Wavelength-Division Multiplexing on an Etchless Lithium Niobate Integrated Platform. ACS Photonics 2022, 9, 3253–3259. [Google Scholar] [CrossRef]
  4. Chen, X.L.; Hu, J.; Zhang, Z.Q.; Ma, L.; Chen, H.; Fang, Q. Research Progress in Silicon Photonic Arrayed Waveguide Grating Devices. Laser Optoelectron. Prog. 2018, 55, 120009. [Google Scholar] [CrossRef]
  5. Munk, D.; Katzman, M.; Kaganovskii, Y.; Inbar, N.; Misra, A.; Hen, M.; Priel, M.; Feldberg, M.; Tkachev, M.; Bergman, A.; et al. Eight-channel silicon-photonic wavelength division multiplexer with 17 GHz spacing. IEEE J. Sel. Top. Quantum Electron. 2019, 25, 8300310. [Google Scholar] [CrossRef]
  6. Saha, N.; Brunetti, G.; Armenise, M.N.; Ciminelli, C. Tunable narrow band add-drop filter design based on apodized long period waveguide grating assisted co-directional coupler. Opt. Express 2022, 30, 28632–28646. [Google Scholar] [CrossRef]
  7. Mu, D.; Qiu, H.; Jiang, J.; Wang, X.; Fu, Z.; Wang, Y.; Jiang, X.; Yu, H.; Yang, J. A four-channel DWDM tunable add/drop demultiplexer based on silicon waveguide Bragg gratings. IEEE Photonics J. 2019, 11, 6600708. [Google Scholar] [CrossRef]
  8. Stoll, A.; Zhang, Z.; Haynes, R.; Roth, M. High-Resolution Arrayed-Waveguide-Gratings in Astronomy: Design and Fabrication Challenges. Photonics 2017, 4, 30. [Google Scholar] [CrossRef]
  9. Zhang, Z.; Wang, Y.; Tsang, H.K. Ultracompact 40-Channel Arrayed Waveguide Grating on Silicon Nitride Platform at 860 nm. IEEE J. Quantum Electron. 2019, 56, 8400308. [Google Scholar] [CrossRef]
  10. Rank, E.A.; Sentosa, R.; Harper, D.J.; Salas, M.; Gaugutz, A.; Seyringer, D.; Nevlacsil, S.; Maese-Novo, A.; Eggeling, M.; Muellner, P.; et al. Toward optical coherence tomography on a chip: In vivo three-dimensional human retinal imaging using photonic integrated circuit-based arrayed waveguide gratings. Light Sci. Appl. 2021, 10, 6. [Google Scholar] [CrossRef]
  11. Zou, J.; Ma, X.; Xia, X.; Hu, J.; Wang, C.; Zhang, M.; Lang, T.; He, J.J. High Resolution and Ultra-Compact On-Chip Spectrometer Using Bidirectional Edge-Input Arrayed Waveguide Grating. J. Light. Technol. 2020, 38, 4447–4453. [Google Scholar] [CrossRef]
  12. Zou, J.; Sun, F.; Wang, C.; Zhang, M.; Wang, J.; Lang, T.; Wang, X.; Le, Z.; He, J.J. Silicon-based arrayed waveguide gratings for WDM and spectroscopic analysis applications. Opt. Laser Technol. 2022, 147, 107656. [Google Scholar] [CrossRef]
  13. Weng, S.; Yuan, P.; Zhuang, W.; Zhang, D.; Luo, F.; Zhu, L. SOI-Based Multi-Channel AWG with Fiber Bragg Grating Sensing Interrogation System. Photonics 2021, 8, 214. [Google Scholar] [CrossRef]
  14. Li, S.; Yuan, P.; Li, T.; Li, K.; Zhu, L. SOI-based 15-channel arrayed waveguide grating design for fiber Bragg grating interrogator. Photonics Nanostruct. 2023, 53, 101113. [Google Scholar] [CrossRef]
  15. Li, H.; Wang, Y.; Lin, Z.; Zhang, S.; Zhang, Z.; Zhang, C.; Tang, C.; Li, E.; Prades, J.D. Design, fabrication and characterization of arrayed waveguide grating devices based on different polymers. Opt. Commun. 2023, 530, 129139. [Google Scholar] [CrossRef]
  16. Gao, C.; Shen, X.; Niu, X.; Li, Y.; Yu, Z.; Xie, Y.; Dong, X.; Li, H.; Dai, D. Reservoir computing using arrayed waveguide grating. In Proceedings of the 2023 Opto-Electronics and Communications Conference (OECC), Shanghai, China, 2–6 July 2023; pp. 1–3. [Google Scholar]
  17. Zhang, S.; Zhou, H.; Wu, B.; Jiang, X.; Gao, D.; Xu, J.; Dong, J.; Zhang, X. Redundancy-free integrated optical convolver for optical neural networks based on arrayed waveguide grating. arXiv 2023, arXiv:2308.08236. [Google Scholar]
  18. Doi, Y.; Yoshimatsu, T.; Nakanishi, Y.; Tsunashima, S.; Nada, M.; Kamei, S.; Sano, K.; Ishii, Y. Receiver Integration with Arrayed Waveguide Gratings toward Multi-Wavelength Data-Centric Communications and Computing. Appl. Sci. 2020, 10, 8205. [Google Scholar] [CrossRef]
  19. Cheung, S.; Su, T.; Okamoto, K.; Yoo, S.J.B. Ultra-Compact Silicon Photonic 512 × 512 25 GHz Arrayed Waveguide Grating Router. IEEE J. Sel. Top. Quantum Electron. 2014, 20, 310–316. [Google Scholar] [CrossRef]
  20. Li, S.; Zhang, J.; Wang, L.; You, J.; Wang, Y.; Yin, X.; Chen, J.; Sun, B.; An, J.; Wu, Y. The O-band 20-channel 800 GHz Arrayed Waveguide Grating based on silica platform for 1 Tb/s or higher-speed communication system. Opt. Laser Technol. 2022, 156, 108475. [Google Scholar] [CrossRef]
  21. Seyringer, D.; Serecunova, S.; Uherek, F.; Seyringer, H.; Chovan, J. 256-Channel 10-GHz AWG Demultiplexer for Ultra-Dense WDM. In Proceedings of the 2023 23rd International Conference on Transparent Optical Networks (ICTON), Bucharest, Romania, 2–6 July 2023; pp. 1–4. [Google Scholar]
  22. Caut, A.; Girardi, M.; Torres-Company, V.; Larsson, A.; Karlsson, M. Channel Scalability of Silicon Nitride (De-)multiplexers for Optical Interconnects at 1 μm. J. Light. Technol. 2023. [Google Scholar] [CrossRef]
  23. Shang, K.; Pathak, S.; Qin, C.; Ben Yoo, S.J. Low-Loss Compact Silicon Nitride Arrayed Waveguide Gratings for Photonic Integrated Circuits. IEEE Photonics J. 2017, 9, 6601805. [Google Scholar] [CrossRef]
  24. van Wijk, A.; Doerr, C.R.; Ali, Z.; Karabiyik, M.; Akca, B.I. Compact ultrabroad-bandwidth cascaded arrayed waveguide gratings. Opt. Express 2020, 28, 14618–14626. [Google Scholar] [CrossRef] [PubMed]
  25. Schindler, A.; Garten, A.B.; Boerma, H.; Ganzer, F.; Runge, P.; Schell, M. Low Crosstalk InP-Based Arrayed Waveguide Grating PIC. In Proceedings of the 2022 IEEE Photonics Conference (IPC), Vancouver, BC, Canada, 13–17 November 2022; pp. 1–2. [Google Scholar]
  26. Tu, H.; Zhang, Y.; Guo, W. Arrayed Waveguide Grating Based on Z-cut Lithium Niobate Platform. In Proceedings of the 2023 Opto-Electronics and Communications Conference (OECC), Shanghai, China, 2–6 July 2023; pp. 1–3. [Google Scholar]
  27. Juhari, N.; Yusof, M.F.; Wahid, M.H.A.; Ismail, N.S. Design of arrayed waveguide grating (AWG) demultiplexer based PMMA for narrow channel spacing. AIP Conf. Proc. 2020, 2203, 020056. [Google Scholar]
  28. Girardi, M.; Helgason, Ò.B.; Caut, A.; Karlsson, M.; Larsson, A.; Torres-Company, V. Multilayer integration in silicon nitride: Decoupling linear and nonlinear functionalities for ultralow loss photonic integrated systems. Opt. Express 2023, 31, 31435–31446. [Google Scholar] [CrossRef]
  29. Zhang, Z.; Wang, Y.; Tsang, H.K. Tandem Configuration of Microrings and Arrayed Waveguide Gratings for a High-Resolution and Broadband Stationary Optical Spectrometer at 860 nm. ACS Photonics 2021, 8, 1251–1257. [Google Scholar] [CrossRef]
  30. Zheng, S.; Cai, H.; Song, J.; Zou, J.; Liu, P.Y.; Lin, Z.; Kwong, D.L.; Liu, A.Q. A Single-Chip Integrated Spectrometer via Tunable Microring Resonator Array. IEEE Photonics J. 2019, 11, 6602809. [Google Scholar] [CrossRef]
  31. Zhu, X.; Hong, W.; Bai, N.; Sun, X. Theoretical investigation of compact high-resolution interleaved arrayed waveguide gratings with multi-layer structures. OSA Contin. 2020, 3, 3332–3342. [Google Scholar] [CrossRef]
  32. Shen, X.; Zhao, W.; Li, H.; Dai, D. High-performance Silicon Arrayed-Waveguide Grating (De) multiplexer with 0.4-nm Channel Spacing. In Proceedings of the 2023 Opto-Electronics and Communications Conference (OECC), Shanghai, China, 2–6 July 2023; pp. 1–3. [Google Scholar]
  33. Jiao, Y.; Lin, Q.; Yao, K.; Zhao, N.; Xian, D.; Zhang, F.; Meng, Q.; Tian, B.; Jiang, Z. Design of High-Precision Parallel AWG Demodulation System. Micromachines 2023, 14, 1662. [Google Scholar] [CrossRef]
  34. Stanton, E.J.; Spott, A.; Davenport, M.L.; Volet, N.; Bowers, J.E. Low-loss arrayed waveguide grating at 760 nm. Opt. Lett. 2016, 41, 1785–1788. [Google Scholar] [CrossRef]
  35. Humpeler, M.; Serecunova, S.; Seyringer, D. AWG-Channel-Spacing: A New Software Tool to Calculate Accurate Channel Spacing of an AWG Optical Multiplexer/Demultiplexer. In Proceedings of the 2022 International Conference on Broadband Communications for Next Generation Networks and Multimedia Applications (CoBCom), Graz, Austria, 12–14 July 2022; pp. 1–5. [Google Scholar]
Figure 1. Schematic of a typical AWG structure.
Figure 1. Schematic of a typical AWG structure.
Photonics 10 01178 g001
Figure 2. Within the operating wavelength range of the AWG: (a) the effective refractive index of different modes inside the waveguide at various widths when the height is set to 1.5 μm; (b) the losses in 90-degree bent waveguides for different bending radius when the height and width are both 1.5 μm.
Figure 2. Within the operating wavelength range of the AWG: (a) the effective refractive index of different modes inside the waveguide at various widths when the height is set to 1.5 μm; (b) the losses in 90-degree bent waveguides for different bending radius when the height and width are both 1.5 μm.
Photonics 10 01178 g002
Figure 3. The layout of the designed AWG.
Figure 3. The layout of the designed AWG.
Photonics 10 01178 g003
Figure 4. The center frequency accuracy of the designed AWG before optimization.
Figure 4. The center frequency accuracy of the designed AWG before optimization.
Photonics 10 01178 g004
Figure 5. (a) Comparison of the output waveguide angular spacing before and after adjustment, where αi1 represents the output waveguide angular spacing before adjustment and αi2 represents the output waveguide angular spacing after adjustment; (b) the center frequency accuracy of the designed AWG with αi2.
Figure 5. (a) Comparison of the output waveguide angular spacing before and after adjustment, where αi1 represents the output waveguide angular spacing before adjustment and αi2 represents the output waveguide angular spacing after adjustment; (b) the center frequency accuracy of the designed AWG with αi2.
Photonics 10 01178 g005
Figure 6. The change in the geometric position of all output waveguides: Δβi1 represents the change in geometric position of the output waveguides after adjusting αi, Δβi1 = βi2βi1; Δβi2 represents the change in geometric position of the output waveguides after adjusting βi, Δβi2 = βi3βi2.
Figure 6. The change in the geometric position of all output waveguides: Δβi1 represents the change in geometric position of the output waveguides after adjusting αi, Δβi1 = βi2βi1; Δβi2 represents the change in geometric position of the output waveguides after adjusting βi, Δβi2 = βi3βi2.
Photonics 10 01178 g006
Figure 7. Flow diagram for searching βi3.
Figure 7. Flow diagram for searching βi3.
Photonics 10 01178 g007
Figure 8. (a) The center frequency accuracy of the designed AWG after optimization; (b) a comparison of the frequency spacing of the designed AWG output channels before and after optimization.
Figure 8. (a) The center frequency accuracy of the designed AWG after optimization; (b) a comparison of the frequency spacing of the designed AWG output channels before and after optimization.
Photonics 10 01178 g008
Figure 9. Comparison of the local output spectra of the designed AWG before and after optimization.
Figure 9. Comparison of the local output spectra of the designed AWG before and after optimization.
Photonics 10 01178 g009
Figure 10. The output spectrum of the designed AWG after optimization.
Figure 10. The output spectrum of the designed AWG after optimization.
Photonics 10 01178 g010
Figure 11. Flow diagram depicting the optimization process for CFA in this work.
Figure 11. Flow diagram depicting the optimization process for CFA in this work.
Photonics 10 01178 g011
Table 1. The main parameters of the designed AWG.
Table 1. The main parameters of the designed AWG.
ParameterValue
Number of output channels (n)80
Operating center wavelength (λ0)609.95 nm
Output channel frequency spacing (Δf)200 GHz
Refractive index difference between Ge-doped SiO2 and SiO2 (δ)1.5%
Height of rectangular waveguide1.5 μm
Width of rectangular waveguide1.5 μm
Bending radius of rectangular waveguide2000 μm
Output waveguide spacing (D)5 μm
Arrayed waveguide spacing (d)2.7 μm
Output waveguide taper width (W)3−1.92 μm
Arrayed waveguide taper width (w)1.5 μm
Output waveguide taper length (L)40 μm
Arrayed waveguide taper length (l)20 μm
Rowland circle radius (R)6485.83 μm
Radius ratio of Rowland circle to Grating circle (R/r)1
Number of arrayed waveguides (M)400
Diffraction order (m)12
FSR40 THz
Table 2. The main optical performance of the designed AWG.
Table 2. The main optical performance of the designed AWG.
PerformanceValue
Insertion loss (IL)1.52 dB
Insertion loss uniformity (ILU)0.41 dB
Adjacent output channel crosstalk (AX)24.29 dB
Center frequency accuracy (CFA)67.63 GHz
Table 3. The main optical performance of the designed AWG after optimization.
Table 3. The main optical performance of the designed AWG after optimization.
PerformanceValue
Insertion loss (IL)1.51 dB
Insertion loss uniformity (ILU)0.38 dB
Adjacent output channel crosstalk (AX)23.81 dB
Center frequency accuracy (CFA)7.99 GHz
Table 4. Comparison of different CFA optimization methods.
Table 4. Comparison of different CFA optimization methods.
PlatformMethodλ0 (nm)nΔf (GHz)CFA (GHz)
Silica [20]Adjust D by theoretical equation1309.1420800<88 (~0.11Δf)
Silica [35]Adjust D by empirical equation1595.6720200<11 (~0.06Δf)
SiN [10]Adjust λ0 for wavelength Compensation79425640<14 (~0.35Δf)
SiN [29]In tandem with MRR86070600Not specific (~0.12Δf)
Si [13]In tandem with FBG15508370<13 (~0.04Δf)
Si [33]Parallel with auxiliary AWG15501260<2 (~0.03Δf)
Silica—This workAdjust αi and βi by theoretical equation609.9580200<8 (~0.04Δf)
Disclaimer/Publisher’s Note: The statements, opinions and data contained in all publications are solely those of the individual author(s) and contributor(s) and not of MDPI and/or the editor(s). MDPI and/or the editor(s) disclaim responsibility for any injury to people or property resulting from any ideas, methods, instructions or products referred to in the content.

Share and Cite

MDPI and ACS Style

Tang, X.; Zheng, Y.; Liu, J.; Duan, J.-a. Optimization Method for Center Frequency Accuracy of High-Channel-Count Arrayed Waveguide Grating in Dense Wavelength Division Multiplexing Systems. Photonics 2023, 10, 1178. https://doi.org/10.3390/photonics10111178

AMA Style

Tang X, Zheng Y, Liu J, Duan J-a. Optimization Method for Center Frequency Accuracy of High-Channel-Count Arrayed Waveguide Grating in Dense Wavelength Division Multiplexing Systems. Photonics. 2023; 10(11):1178. https://doi.org/10.3390/photonics10111178

Chicago/Turabian Style

Tang, Xin, Yu Zheng, Jianzhe Liu, and Ji-an Duan. 2023. "Optimization Method for Center Frequency Accuracy of High-Channel-Count Arrayed Waveguide Grating in Dense Wavelength Division Multiplexing Systems" Photonics 10, no. 11: 1178. https://doi.org/10.3390/photonics10111178

APA Style

Tang, X., Zheng, Y., Liu, J., & Duan, J.-a. (2023). Optimization Method for Center Frequency Accuracy of High-Channel-Count Arrayed Waveguide Grating in Dense Wavelength Division Multiplexing Systems. Photonics, 10(11), 1178. https://doi.org/10.3390/photonics10111178

Note that from the first issue of 2016, this journal uses article numbers instead of page numbers. See further details here.

Article Metrics

Back to TopTop