Temperature Demodulation for an Interferometric Fiber-Optic Sensor Based on Artificial Bee Colony–Long Short-Term Memory
Abstract
:1. Introduction
2. F-P Interferometric Fiber-Optic Temperature Sensor Array
3. F-P Temperature Demodulation Model Based on ABC-LSTM
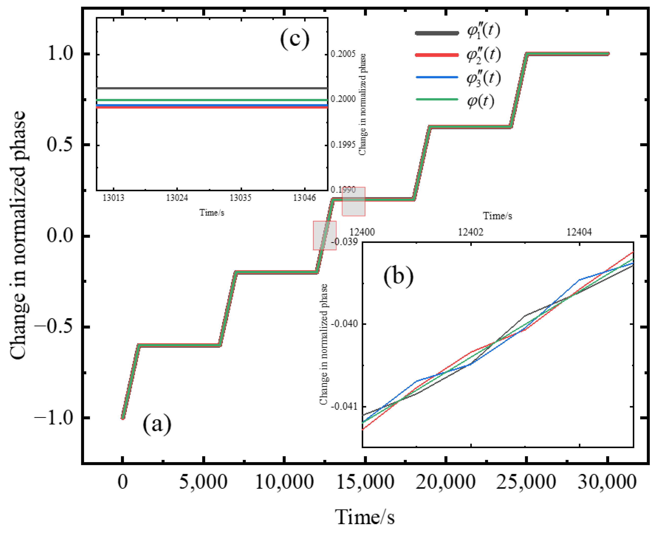
3.1. Modified Arc-Tangent Algorithm Based on 3 × 3 Coupler
3.2. LSTM Demodulation Model
3.3. ABC-LSTM Demodulation Model
4. Experimental Setup and Results
5. Discussions
6. Conclusions
Author Contributions
Funding
Institutional Review Board Statement
Informed Consent Statement
Data Availability Statement
Conflicts of Interest
References
- Liu, W.; Wu, X.; Zhang, G.; Li, S.; Zuo, C.; Fang, S.; Yu, B. Refractive index and temperature sensor based on Mach-Zehnder interferometer with thin fibers. Opt. Fiber Technol. 2020, 54, 102101. [Google Scholar] [CrossRef]
- Chen, M.Q.; Zhao, Y.; Xia, F.; Peng, Y.; Tong, R.J. High sensitivity temperature sensor based on fiber Air-Microbubble Fabry-Perot interferometer with PDMS-filled hollow-core fiber. Sens. Actuators A Phys. 2018, 275, 60–66. [Google Scholar] [CrossRef]
- Gao, S.; Ji, C.; Ning, Q.; Chen, W.; Li, J. High-sensitive Mach-Zehnder interferometric temperature fiber-optic sensor based on core-offset splicing technique. Opt. Fiber Technol. 2020, 56, 102202. [Google Scholar] [CrossRef]
- Li, Y.; Wang, Y.; Xiao, L.; Bai, Q.; Liu, X.; Gao, Y.; Zhang, H.; Jin, B. Phase Demodulation Methods for Optical Fiber Vibration Sensing System: A Review. IEEE Sens. J. 2022, 22, 1842–1866. [Google Scholar] [CrossRef]
- Park, S.; Rim, S.; Kim, Y.; Lee, B.H. Noncontact Photoacoustic Imaging Based on Optical Quadrature Detection with a Multiport Interferometer. Opt. Lett. 2019, 44, 2590–2593. [Google Scholar] [CrossRef] [PubMed]
- Pang, Y.; Liu, H.; Zhou, C.; Huang, J.; Gu, H.; Zhang, Z. Pretreatment of Ultra-Weak Fiber Bragg Grating Hydrophone Array Based on Cubic Spline Interpolation Using Intensity Compensation. Sensors 2022, 22, 6814. [Google Scholar] [CrossRef] [PubMed]
- Fan, P.; Yan, W.; Lu, P.; Zhang, W.; Zhang, W.; Fu, X.; Zhang, J. High sensitivity fiber-optic Michelson interferometric low-frequency acoustic sensor based on a gold diaphragm. Opt. Express 2020, 28, 25238–25249. [Google Scholar] [CrossRef] [PubMed]
- Feng, S.; Chen, Q.; Gu, G.; Tao, T.; Zhang, L.; Hu, Y.; Yin, W.; Zuo, C. Fringe pattern analysis using deep learning. Adv. Photonics 2019, 1, 025001. [Google Scholar] [CrossRef]
- Sun, Y.; Bian, Y.; Shen, H.; Zhu, R. High-accuracy simultaneous phase extraction and unwrapping method for single interferogram based on convolutional neural network. Opt. Lasers Eng. 2022, 151, 106941. [Google Scholar] [CrossRef]
- Yu, D.; Qiao, X.; Wang, X. Light intensity optimization of optical fiber stress sensor based on SSA-LSTM model. Front. Energy Res. 2022, 10, 1265. [Google Scholar] [CrossRef]
- Qian, L.; Zheng, Y.; Li, L.; Ma, Y.; Zhou, C.; Zhang, D. A New Method of Inland Water Ship Trajectory Prediction Based on Long Short-Term Memory Network Optimized by Genetic Algorithm. Appl. Sci. 2022, 12, 4073. [Google Scholar] [CrossRef]
- Zhang, Y.; Zhang, Y.; He, K.; Li, D.; Xu, X.; Gong, Y. Intelligent feature recognition for STEP-NC-compliant manufacturing based on artificial bee colony algorithm and back propagation neural network. J. Manuf. Syst. 2022, 62, 792–799. [Google Scholar] [CrossRef]
- Brown, D.A.; Cameron, C.B.; Keolian, R.M.; Gardner, D.L.; Garrett, S.L. Symmetric 3 × 3 Coupler-Based Demodulator for Fiber Optic Interferometric Sensors. Oe Fiber-dl Tentative; International Society for Optics and Photonics: Bellingham, WA, USA, 1991. [Google Scholar]
- Coifman, R.R.; Steinerberger, S. Nonlinear Phase Unwinding of Functions. J. Fourier Anal. Appl. 2017, 23, 778–809. [Google Scholar] [CrossRef]
- Wang, L.; Liu, H.; Pan, Z.; Xu, Y.; Fan, D.; Zhou, C.; Li, Y. Temperature demodulation for optical fiber F-P sensor based on DBNs with ensemble learning. Opt. Laser Technol. 2023, 162, 109275. [Google Scholar] [CrossRef]
- Park, S.; Lee, J.; Kim, Y.; Lee, B.H. Nanometer-Scale Vibration Measurement Using an Optical Quadrature Interferometer based on 3 × 3 Fiber-Optic Coupler. Sensors 2020, 20, 2665. [Google Scholar] [CrossRef] [PubMed]
- Ben Djaballah, C.; Nouibat, W. A new multi-population artificial bee algorithm based on global and local optima for numerical optimization. Clust. Comput. 2022, 25, 2037–2059. [Google Scholar] [CrossRef]
- Lv, Y.; Niu, C.H.; Li, Y.Q.; Chen, Q.S.; Li, X.Y.; Liu, H. Precision Temperature Control System Based on PID Algorithm. Appl. Mech. Mater. 2013, 389, 483–488. [Google Scholar]
- Zhang, W.; Lu, P.; Qu, Z.; Zhang, J.; Wu, Q.; Liu, D. Passive homodyne phase demodulation technique based on LF-TIT-DCM algorithm for interferometric sensors. Sensors 2021, 21, 8257. [Google Scholar] [CrossRef] [PubMed]









Disclaimer/Publisher’s Note: The statements, opinions and data contained in all publications are solely those of the individual author(s) and contributor(s) and not of MDPI and/or the editor(s). MDPI and/or the editor(s) disclaim responsibility for any injury to people or property resulting from any ideas, methods, instructions or products referred to in the content. |
© 2023 by the authors. Licensee MDPI, Basel, Switzerland. This article is an open access article distributed under the terms and conditions of the Creative Commons Attribution (CC BY) license (https://creativecommons.org/licenses/by/4.0/).
Share and Cite
Liu, H.; Zhou, C.; Pang, Y.; Chen, X.; Pan, Z.; Wang, L.; Fan, D. Temperature Demodulation for an Interferometric Fiber-Optic Sensor Based on Artificial Bee Colony–Long Short-Term Memory. Photonics 2023, 10, 1157. https://doi.org/10.3390/photonics10101157
Liu H, Zhou C, Pang Y, Chen X, Pan Z, Wang L, Fan D. Temperature Demodulation for an Interferometric Fiber-Optic Sensor Based on Artificial Bee Colony–Long Short-Term Memory. Photonics. 2023; 10(10):1157. https://doi.org/10.3390/photonics10101157
Chicago/Turabian StyleLiu, Hanjie, Ciming Zhou, Yandong Pang, Xi Chen, Zhen Pan, Lixiong Wang, and Dian Fan. 2023. "Temperature Demodulation for an Interferometric Fiber-Optic Sensor Based on Artificial Bee Colony–Long Short-Term Memory" Photonics 10, no. 10: 1157. https://doi.org/10.3390/photonics10101157
APA StyleLiu, H., Zhou, C., Pang, Y., Chen, X., Pan, Z., Wang, L., & Fan, D. (2023). Temperature Demodulation for an Interferometric Fiber-Optic Sensor Based on Artificial Bee Colony–Long Short-Term Memory. Photonics, 10(10), 1157. https://doi.org/10.3390/photonics10101157

