Capture Dynamics of Dielectric Microparticles in Hollow-Core-Fiber-Based Optical Traps
Abstract
:1. Introduction
2. Optical Forces in Dual-Beam Trap in Front of HCF Endface
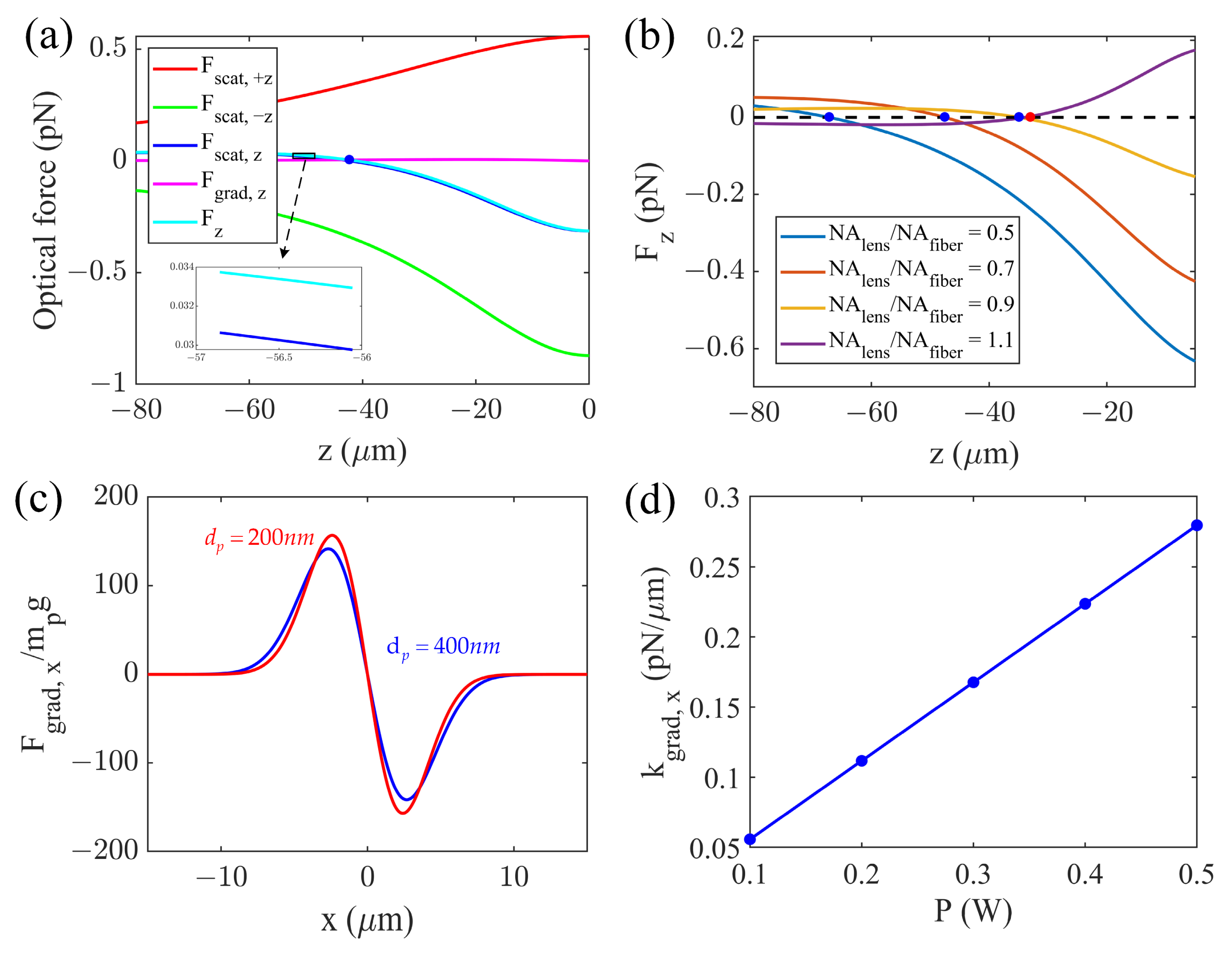
3. Equilibrium Trapping Positions in Front of the HCF Endface
4. Particle Capture Dynamics in Front of the HCF Endface
5. Discussions
6. Conclusions
Author Contributions
Funding
Institutional Review Board Statement
Informed Consent Statement
Data Availability Statement
Conflicts of Interest
References
- Ashkin, A. Acceleration and trapping of particles by radiation pressure. Phys. Rev. Lett. 1970, 24, 156. [Google Scholar] [CrossRef]
- Ashkin, A.; Dziedzic, J.M.; Bjorkholm, J.E.; Chu, S. Observation of a single-beam gradient force optical trap for dielectric particles. Opt. Lett. 1986, 11, 288–290. [Google Scholar] [CrossRef] [PubMed]
- Kheifets, S.; Simha, A.; Melin, K.; Li, T.; Raizen, M.G. Observation of Brownian motion in liquids at short times: Instantaneous velocity and memory loss. Science 2014, 343, 1493–1496. [Google Scholar] [CrossRef] [PubMed]
- Bustamante, C.; Macosko, J.C.; Wuite, G.J. Grabbing the cat by the tail: Manipulating molecules one by one. Nat. Rev. Mol. Cell Biol. 2000, 1, 130–136. [Google Scholar] [CrossRef] [PubMed]
- Hopkins, R.J.; Mitchem, L.; Ward, A.D.; Reid, J.P. Control and characterisation of a single aerosol droplet in a single-beam gradient-force optical trap. Phys. Chem. Chem. Phys. 2004, 6, 4924–4927. [Google Scholar] [CrossRef]
- Bustamante, C.J.; Chemla, Y.R.; Liu, S.; Wang, M.D. Optical tweezers in single-molecule biophysics. Nat. Rev. Methods Primers 2021, 1, 25. [Google Scholar] [CrossRef]
- Tauro, S.; Bañas, A.; Palima, D.; Glückstad, J. Dynamic axial stabilization of counter-propagating beam-traps with feedback control. Opt. Express 2010, 18, 18217–18222. [Google Scholar] [CrossRef]
- Constable, A.; Kim, J.; Mervis, J.; Zarinetchi, F.; Prentiss, M. Demonstration of a fiber-optical light-force trap. Opt. Lett. 1993, 18, 1867–1869. [Google Scholar] [CrossRef]
- Jess, P.; Garcés-Chávez, V.; Smith, D.; Mazilu, M.; Paterson, L.; Riches, A.; Herrington, C.; Sibbett, W.; Dholakia, K. Dual beam fibre trap for Raman microspectroscopy of single cells. Opt. Express 2006, 14, 5779–5791. [Google Scholar] [CrossRef]
- Kawano, M.; Blakely, J.; Gordon, R.; Sinton, D. Theory of dielectric micro-sphere dynamics in a dual-beam optical trap. Opt. Express 2008, 16, 9306–9317. [Google Scholar] [CrossRef]
- Rafferty, A.; Preston, T.C. Trapping positions in a dual-beam optical trap. J. Appl. Phys. 2021, 130, 183105. [Google Scholar] [CrossRef]
- Kim, J.; Shin, J.H. Stable, free-space optical trapping and manipulation of sub-micron particles in an integrated microfluidic chip. Sci. Rep. 2016, 6, 33842. [Google Scholar] [CrossRef] [PubMed]
- Benabid, F.; Knight, J.; Russell, P.S.J. Particle levitation and guidance in hollow-core photonic crystal fiber. Opt. Express 2002, 10, 1195–1203. [Google Scholar] [CrossRef] [PubMed]
- Gherardi, D.M.; Carruthers, A.E.; Čižmár, T.; Wright, E.M.; Dholakia, K. A dual beam photonic crystal fiber trap for microscopic particles. Appl. Phys. Lett. 2008, 93, 041110. [Google Scholar] [CrossRef]
- Schmidt, O.; Garbos, M.; Euser, T.; Russell, P.S.J. Metrology of laser-guided particles in air-filled hollow-core photonic crystal fiber. Opt. Lett. 2012, 37, 91–93. [Google Scholar] [CrossRef]
- Bykov, D.; Schmidt, O.; Euser, T.; Russell, P.S.J. Flying particle sensors in hollow-core photonic crystal fibre. Nat. Photonics 2015, 9, 461–465. [Google Scholar] [CrossRef]
- Xie, S.; Sharma, A.; Romodina, M.; Joly, N.Y.; Russell, P.S.J. Tumbling and anomalous alignment of optically levitated anisotropic microparticles in chiral hollow-core photonic crystal fiber. Sci. Adv. 2021, 7, eabf6053. [Google Scholar] [CrossRef]
- Li, Y.; Xin, H.; Zhang, Y.; Lei, H.; Zhang, T.; Ye, H.; Saenz, J.J.; Qiu, C.-W.; Li, B. Living nanospear for near-field optical probing. ACS Nano 2018, 12, 10703–10711. [Google Scholar] [CrossRef]
- Bykov, D.S.; Xie, S.; Zeltner, R.; Machnev, A.; Wong, G.K.; Euser, T.G.; Russell, P.S.J. Long-range optical trapping and binding of microparticles in hollow-core photonic crystal fibre. Light Sci. Appl. 2018, 7, 22. [Google Scholar] [CrossRef]
- Travers, J.C.; Chang, W.; Nold, J.; Joly, N.Y.; Russell, P.S.J. Ultrafast nonlinear optics in gas-filled hollow-core photonic crystal fibers. JOSA B 2011, 28, A11–A26. [Google Scholar] [CrossRef]
- Nieminen, T.A.; Loke, V.L.; Stilgoe, A.B.; Knöner, G.; Brańczyk, A.M.; Heckenberg, N.R.; Rubinsztein-Dunlop, H. Optical tweezers computational toolbox. J. Opt. A Pure Appl. Opt. 2007, 9, S196. [Google Scholar] [CrossRef]






Disclaimer/Publisher’s Note: The statements, opinions and data contained in all publications are solely those of the individual author(s) and contributor(s) and not of MDPI and/or the editor(s). MDPI and/or the editor(s) disclaim responsibility for any injury to people or property resulting from any ideas, methods, instructions or products referred to in the content. |
© 2023 by the authors. Licensee MDPI, Basel, Switzerland. This article is an open access article distributed under the terms and conditions of the Creative Commons Attribution (CC BY) license (https://creativecommons.org/licenses/by/4.0/).
Share and Cite
Li, K.; Wang, R.; Shao, S.; Xie, F.; Jiang, Y.; Xie, S. Capture Dynamics of Dielectric Microparticles in Hollow-Core-Fiber-Based Optical Traps. Photonics 2023, 10, 1154. https://doi.org/10.3390/photonics10101154
Li K, Wang R, Shao S, Xie F, Jiang Y, Xie S. Capture Dynamics of Dielectric Microparticles in Hollow-Core-Fiber-Based Optical Traps. Photonics. 2023; 10(10):1154. https://doi.org/10.3390/photonics10101154
Chicago/Turabian StyleLi, Kun, Rui Wang, Shuangyun Shao, Fang Xie, Yi Jiang, and Shangran Xie. 2023. "Capture Dynamics of Dielectric Microparticles in Hollow-Core-Fiber-Based Optical Traps" Photonics 10, no. 10: 1154. https://doi.org/10.3390/photonics10101154
APA StyleLi, K., Wang, R., Shao, S., Xie, F., Jiang, Y., & Xie, S. (2023). Capture Dynamics of Dielectric Microparticles in Hollow-Core-Fiber-Based Optical Traps. Photonics, 10(10), 1154. https://doi.org/10.3390/photonics10101154

