Multi-Level Phase Noise Model for CO-OFDM Spatial-Division Multiplexed Transmission
Abstract
1. Introduction
2. Phase Noise Model for the CO-OFDM SDM System
3. Phase Noise Estimation Algorithms
3.1. Blind Phase Noise Estimation Algorithm
3.2. Pilot-Aided Phase Noise Estimation
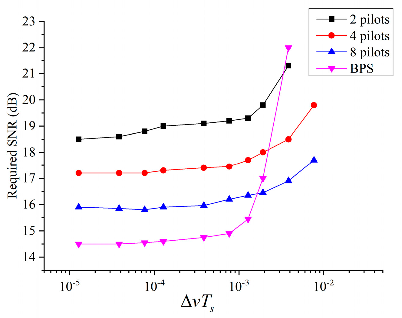
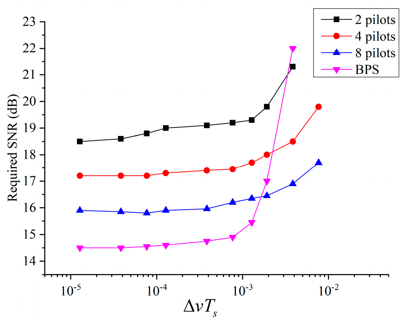
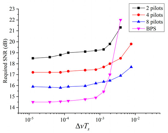
4. Results
5. Conclusions
Author Contributions
Funding
Institutional Review Board Statement
Informed Consent Statement
Data Availability Statement
Conflicts of Interest
References
- Puttnam, B.J.; Luis, R.S.; Mendinueta, J.-M.D.; Sakaguchi, J.; Klaus, W.; Awaji, Y.; Wada, N.; Kanno, A.; Kawanishi, T. Long Distance Transmission in a Multi-Core Fiber with Self-Homodyne Detection. In Proceedings of the Optical Fiber Communication Conference, Los Angeles, CA, USA, 22–26 March 2015; p. Th1D.5. [Google Scholar]
- Richardson, D.J.; Fini, J.M.; Nelson, L.E. Space-division multiplexing in optical fibers. Nat. Photonics 2013, 7, 354–362. [Google Scholar] [CrossRef]
- Agrawal, G.P.; Mumtaz, S.; Essiambre, R.J. Nonlinear Performance of SDM Systems Designed with Multimode or Multicore Fibers. In Proceedings of the Optical Fiber Communication Conference and Exposition and the National Fiber Optic Engineers Conference (OFC/NFOEC), Anaheim, CA, USA, 17–21 March 2013. [Google Scholar]
- Puttnam, B.J.; Luis, R.; Delgado-Mendinueta, J.-M.; Sakaguchi, J.; Klaus, W.; Awaji, Y.; Wada, N.; Kanno, A.; Kawanishi, T. High-capacity self-homodyne PDM-WDM-SDM transmission in a 19-core fiber. Opt. Express 2014, 22, 21185. [Google Scholar] [CrossRef] [PubMed]
- Antonelli, C.; Mecozzi, A.; Golani, O.; Shtaif, M. Nonlinear Propagation in Fibers for Space Division Multiplexing. In CLEO: Science and Innovations, Proceedings of the Lasers and Electro-Optics, San Jose, CA, USA, 14–19 May 2017; Optica Publishing Group: Washington, WA, USA, 2017. [Google Scholar]
- Chen, X.; He, J.; Che, D.; Shieh, W. Hybrid Modulated Multiband Coherent Optical OFDM for Low-Complexity Phase Noise Compensation. J. Light. Technol. 2015, 33, 126–132. [Google Scholar] [CrossRef]
- Le, S.T.; Kanesan, T.; Giacoumidis, E.; Doran, N.J.; Ellis, A.D. Quasi-Pilot Aided Phase Noise Estimation for Coherent Optical OFDM Systems. IEEE Photonics Technol. Lett. 2014, 26, 504–507. [Google Scholar] [CrossRef]
- You, B.; Yang, L.; Luo, F.; Yang, S.; Chen, D.; Ni, Y.; Li, B.; Liu, D. Pilot-based Extended Kalman Filter for Phase Noise Estimation in CO-FBMC/OQAM Systems. Opt. Commun. 2019, 443, 116–122. [Google Scholar] [CrossRef]
- Tomba, L. On the effect of Wiener phase noise in OFDM systems. IEEE Trans. Commun. 1998, 46, 580–583. [Google Scholar] [CrossRef]
- Hong, X.; Hong, X.; Zhang, J.; He, S. Low-complexity linewidth-tolerant time domain sub-symbol optical phase noise suppression in CO-OFDM systems. Opt. Express 2016, 24, 4856. [Google Scholar] [CrossRef]
- Taylor, M.G. Phase Estimation Methods for Optical Coherent Detection Using Digital Signal Processing. J. Light. Technol. 2009, 27, 901–914. [Google Scholar] [CrossRef]
- Feuer, M.D.; Nelson, L.E.; Zhou, X.; Woodward, S.L.; Isaac, R.; Zhu, B.; Taunay, T.F.; Fishteyn, M.; Fini, J.M.; Yan, M.F. Joint Digital Signal Processing Receivers for Spatial Superchannels. IEEE Photonics Technol. Lett. 2012, 24, 1957–1960. [Google Scholar] [CrossRef]
- Souto, D.V.; Olsson, B.-E.; Larsson, C.; Mello, D.A.A. Joint-Polarization and Joint-Subchannel Carrier Phase Estimation for 16-QAM Optical Systems. J. Light. Technol. 2012, 30, 3185–3191. [Google Scholar] [CrossRef]
- Alfredsson, A.F.; Agrell, E.; Wymeersch, H.; Puttnam, B.J.; Rademacher, G.; Luis, R.S.; Karlsson, M. Pilot-Aided Joint-Channel Carrier-Phase Estimation in Space-Division Multiplexed Multicore Fiber Transmission. J. Light. Technol. 2019, 37, 1133–1142. [Google Scholar] [CrossRef]
- Hussin, S.; Puntsri, K.; Noe, R. Analysis of Partial Pilot Filling Phase Noise Compensation for CO-OFDM Systems. IEEE Photonics Technol. Lett. 2013, 25, 1099–1102. [Google Scholar] [CrossRef]
- Chen, X.; He, J.; Che, D.; Shieh, W. Low Complexity Phase Noise Compensation for Multiband Coherent Optical OFDM. In Proceedings of the 2014 OptoElectronics and Communication Conference and Australian Conference on Optical Fibre Technology, Melbourne, VIC, Australia, 6–10 July 2014. [Google Scholar]
- Zhou, X.; Yang, X.; Li, R.; Long, K. Efficient Joint Carrier Frequency Offset and Phase Noise Compensation Scheme for High-Speed Coherent Optical OFDM Systems. J. Light. Technol. 2013, 31, 1755–1761. [Google Scholar] [CrossRef]
- Nguyen, T.T.; Le, S.T.; Wuilpart, M.; Yakusheva, T.; Mégret, P. Simplified extended Kalman filter phase noise estimation for CO-OFDM trans-missions. Opt. Express 2017, 25, 27247–27261. [Google Scholar] [CrossRef]
- Le, S.T.; Haigh, P.A.; Ellis, A.D.; Turitsyn, S.K. Blind Phase Noise Estimation for CO-OFDM Transmissions. J. Light. Technol. 2016, 34, 745–753. [Google Scholar] [CrossRef]
- Colavolpe, G.; Foggi, T.; Forestieri, E.; Secondini, M. Impact of Phase Noise and Compensation Techniques in Coherent Optical Systems. J. Light. Technol. 2011, 29, 2790–2800. [Google Scholar] [CrossRef]
- Xiang, M.; Fu, S.; Deng, L.; Tang, M.; Shum, P.; Liu, D. Low-complexity feed-forward carrier phase estimation for M-ary QAM based on phase search acceleration by quadratic approximation. Opt. Express 2015, 23, 19142–19153. [Google Scholar] [CrossRef]
- Yankov, M.P.; Fehenberger, T.; Barletta, L.; Hanik, N. Low-Complexity Tracking of Laser and Nonlinear Phase Noise in WDM Optical Fiber Systems. J. Light. Technol. 2015, 33, 4975–4984. [Google Scholar] [CrossRef]
- Zhou, X.; Zhong, K.; Gao, Y.; Lu, C.; Lau, A.P.T.; Long, K. Modulation-format-independent blind phase search algorithm for coherent optical square M-QAM systems. Opt. Express 2014, 22, 24044–24054. [Google Scholar] [CrossRef]
- You, B.; Luo, F.; Yang, L.; Yang, S.; Chen, D.; Ni, Y.; Li, B.; Liu, D. Joint Carrier Frequency Offset and Phase Noise Compensation Scheme for Coherent Optical FBMC/OQAM Systems. In Proceedings of the Second Symposium on Novel Technology of X-Ray Imaging, Beijing, China, 10 May 2019; Volume 11068. [Google Scholar]
- You, B.; Yang, L.; Luo, F.; Fu, S.; Yang, S.; Li, B.; Liu, D. Joint Carrier Frequency Offset and Phase Noise Estimation Based on Pseudo-Pilot in CO-FBMC/OQAM System. IEEE Photonics J. 2019, 11, 1–11. [Google Scholar] [CrossRef]
- Hu, H.; Luo, F.; Yang, L.; Yang, S.; Li, B. RF-pilot-based partition phase correction for CO-OFDM system phase noise mitigation. Opt. Eng. 2018, 57, 056111. [Google Scholar] [CrossRef]
- Uden, R.G.H.; Okonkwo, C.M.; Sleiffe, V.A.J.M.; Kuschnerov, M.; Waardt, H.d.; Koonen, A.M.J. Single DPLL Joint Carrier Phase Compensation for Few-Mode Fiber Transmission. IEEE Photonics Technol. Lett. 2013, 25, 1381–1384. [Google Scholar] [CrossRef]
- Alfredsson, A.; Agrell, E.; Wymeersch, H. Iterative Decoding and Phase-Noise Compensation for Multichannel Optical Transmission. IEEE Trans. Commun. 2018, 67, 5532–5543. [Google Scholar] [CrossRef]
- Mazur, M.; Lorences-Riesgo, A.; Schroeder, J.; Andrekson, P.A.; Karlsson, M. High Spectral Efficiency PM-128QAM Comb-Based Superchannel Trans-mission Enabled by a Single Shared Optical Pilot Tone. J. Light. Technol. 2018, 36, 1318–1325. [Google Scholar] [CrossRef]
- Lundberg, l.; Mazur, M.; Lorences-Riesgo, A.; Karlsson, M.; Andrekson, P.A. Joint carrier recovery for DSP complexity reduction in frequency comb-based superchannnel transceivers. In Proceedings of the 2017 European Conference on Optical Communication (ECOC), Gothenburg, Sweden, 17–21 September 2017; p. Th1D.3. [Google Scholar]
- Alfredsson, A.F.; Agrell, E.; Wymeersch, H.; Karlsson, M. Phase noise compensation for spatial division multiplexed transmission. In Proceedings of the Optical Fiber Communication Conference, Los Angeles, CA, USA, 19–23 March 2017; p. Th4C.7. [Google Scholar]








| BPS-DPT (Test Phase: 32 4 × 32 × N) | PA (9 × NP) | ||||
|---|---|---|---|---|---|
| N | Multiplications | N | Np | Multiplications | |
| Complexity | 64 | 8192 | 128 | 2 | 18 |
| 128 | 16,384 | 4 | 36 | ||
| 256 | 32,768 | 8 | 72 | ||
| N | SE Loss | N | Np | SE Loss | |
| SE Loss | 64 | 0 | 128 | 2 | 1.56% |
| 128 | 0 | 4 | 3.125% | ||
| 256 | 0 | 8 | 6.25% | ||
Disclaimer/Publisher’s Note: The statements, opinions and data contained in all publications are solely those of the individual author(s) and contributor(s) and not of MDPI and/or the editor(s). MDPI and/or the editor(s) disclaim responsibility for any injury to people or property resulting from any ideas, methods, instructions or products referred to in the content. |
© 2022 by the authors. Licensee MDPI, Basel, Switzerland. This article is an open access article distributed under the terms and conditions of the Creative Commons Attribution (CC BY) license (https://creativecommons.org/licenses/by/4.0/).
Share and Cite
Jiang, G.; Yang, L. Multi-Level Phase Noise Model for CO-OFDM Spatial-Division Multiplexed Transmission. Photonics 2023, 10, 8. https://doi.org/10.3390/photonics10010008
Jiang G, Yang L. Multi-Level Phase Noise Model for CO-OFDM Spatial-Division Multiplexed Transmission. Photonics. 2023; 10(1):8. https://doi.org/10.3390/photonics10010008
Chicago/Turabian StyleJiang, Guozhou, and Liu Yang. 2023. "Multi-Level Phase Noise Model for CO-OFDM Spatial-Division Multiplexed Transmission" Photonics 10, no. 1: 8. https://doi.org/10.3390/photonics10010008
APA StyleJiang, G., & Yang, L. (2023). Multi-Level Phase Noise Model for CO-OFDM Spatial-Division Multiplexed Transmission. Photonics, 10(1), 8. https://doi.org/10.3390/photonics10010008

