Temperature Patterns in TSA for Different Frequencies and Material Properties: A FEM Approach
Abstract
1. Introduction
2. Methodology
2.1. Elastic Simulation
- Usage of isoparametric elements, because it is suitable for numerical quadrature and systematic definition of the interpolation functions. This means a change from x and y coordinates to and , with the relationship between both being a matrix of interpolation functions, N. The interpolation function is relative to node i, and its value is one at that node and null in the finite elements that do not share this node;
- Application of numerical quadrature, where the obtained integral for the calculation of K according to the FEM can be replaced by a summation of the integrated function applied at several Gauss points, (with (, ) coordinates), multiplied by the respective weight, . The number of Gauss points chosen was four, meaning full integration (instead of 1 GP, reduced integration) because shear locking is not a problem in this study, and to prevent the hourglass effect [31].
2.2. Thermal Simulation
2.3. TSA Stress
3. Procedure
3.1. CT Specimen
- Node type 0—free movement and no load applied.
- Node type 1—free movement and load applied.
- Node type 2—constrained movement in the y direction and no load applied.
- Node type 3—constrained movement in both directions and no load applied.
3.2. Single Lap Joint
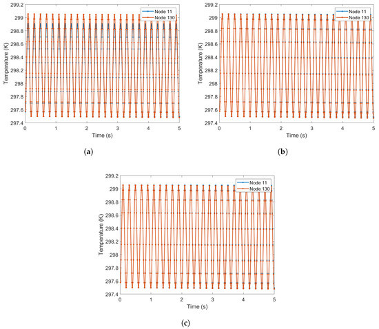
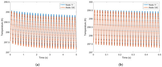
4. Results
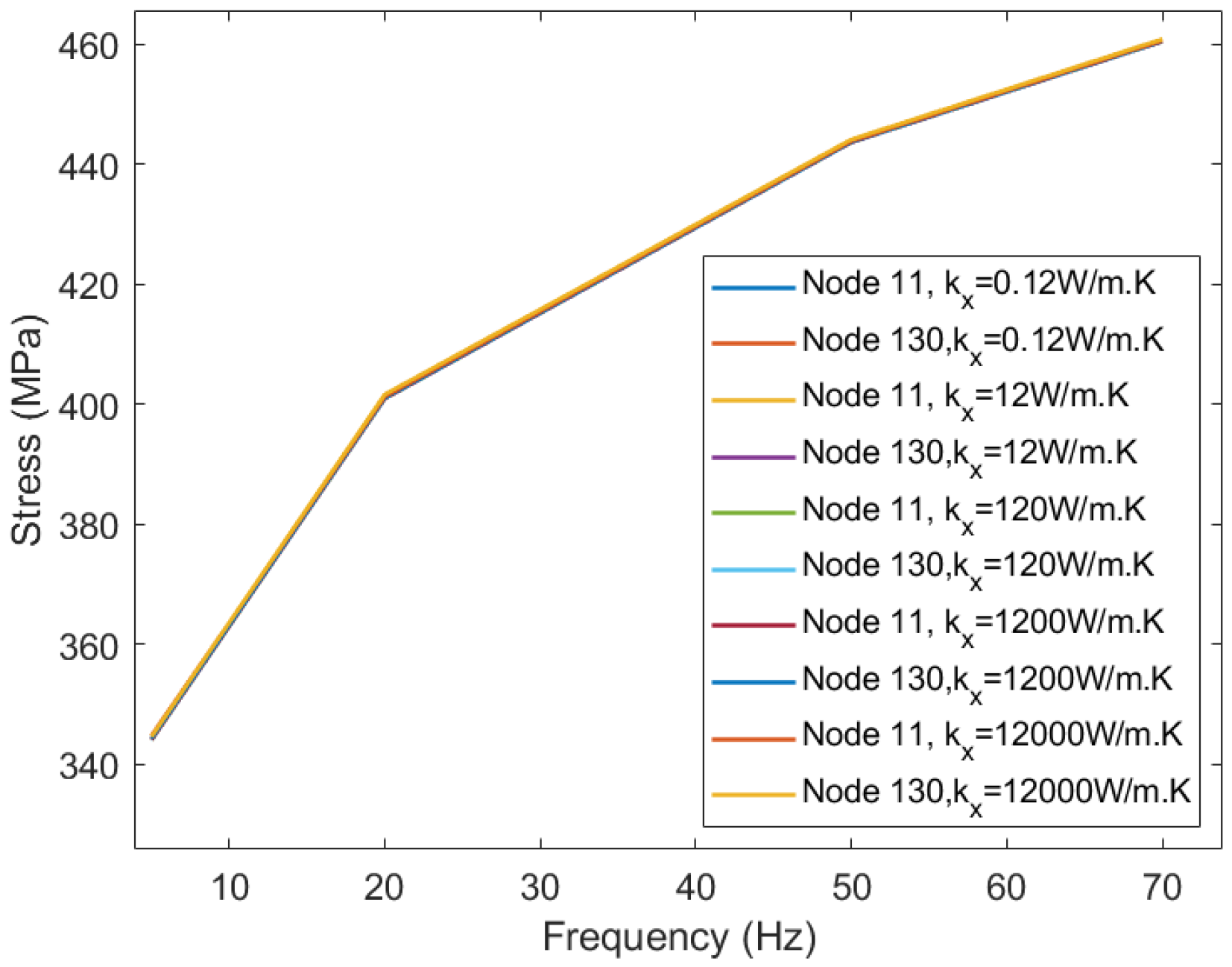
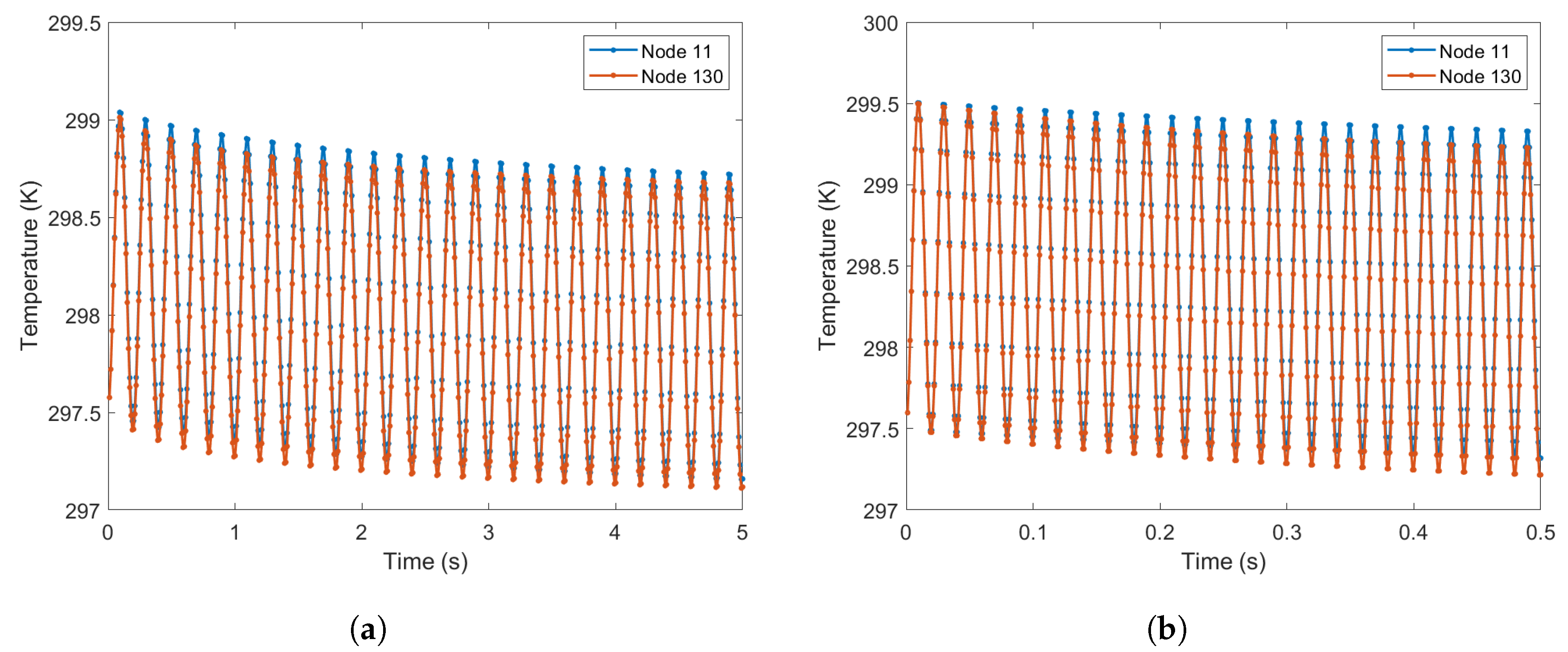
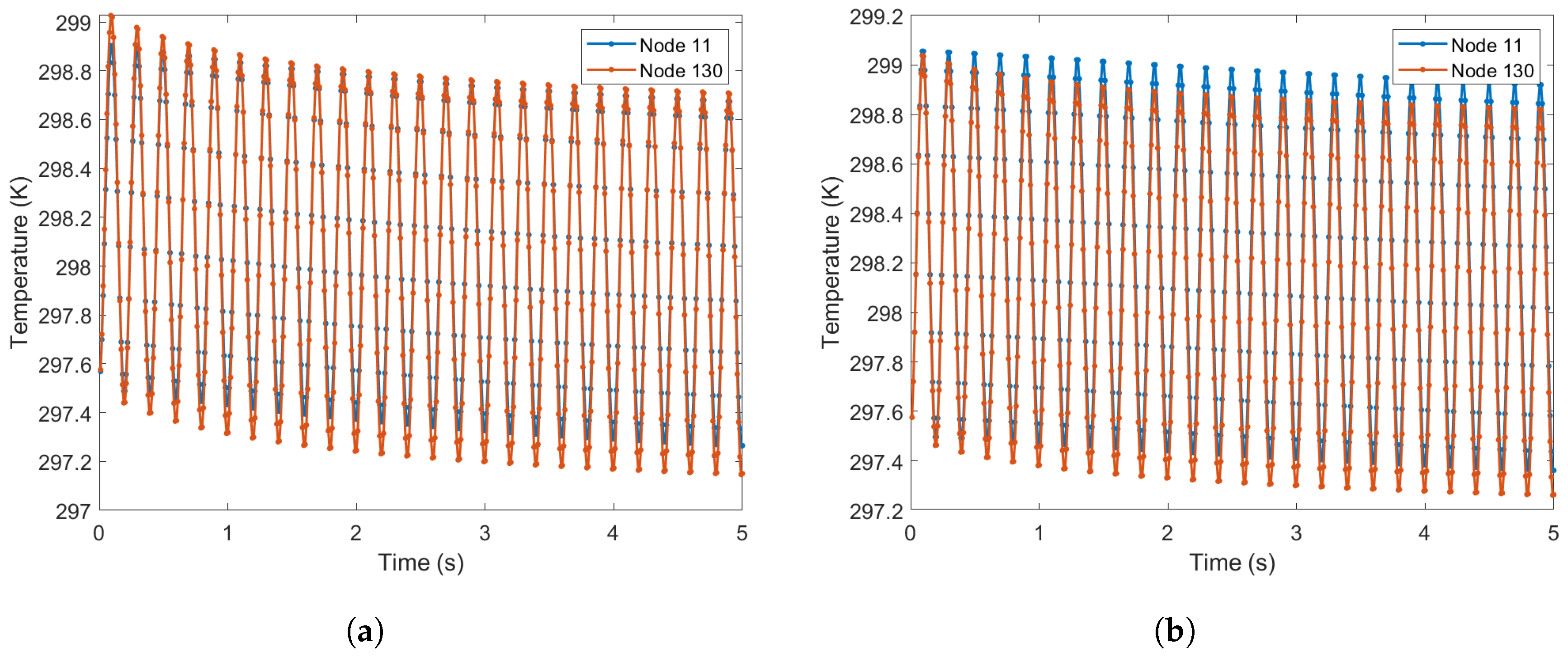
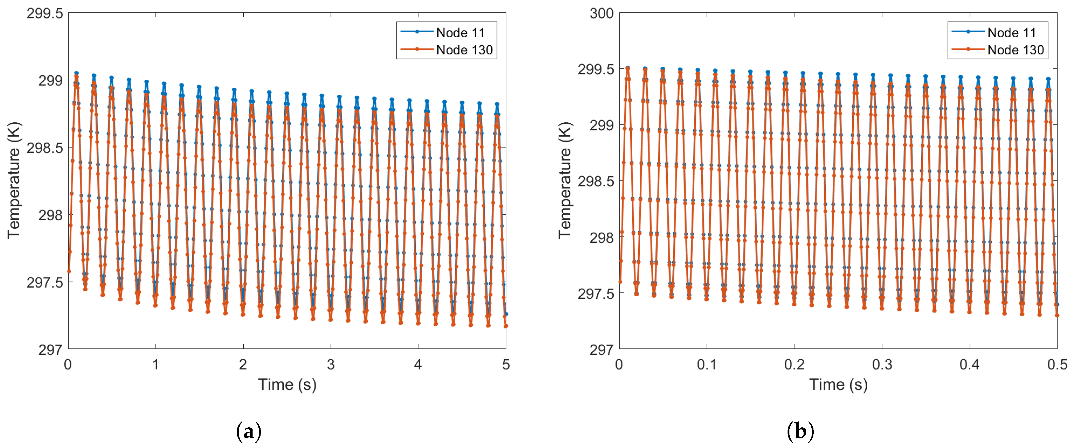
4.1. CT Specimen
4.2. Single Lap Joint
5. Discussion
6. Conclusions
Author Contributions
Funding
Data Availability Statement
Conflicts of Interest
Nomenclature
| [K] | Stiffness matrix (N mm) |
| {u} | Displacement vector (mm) |
| {F} | Load vector (N) |
| [B] | Strain matrix |
| [D] | Elasticity matrix (GPa) |
| [J] | Jacobian matrix |
| (, ) | Isoparametric coordinates |
| Variable x at Gauss point | |
| Young’s modulus in the i direction (GPa) | |
| Poisson’s ratio in the i and j directions | |
| External forces applied over the element area (N mm) | |
| Surface traction forces (N mm) | |
| Strain vector | |
| Stress vector (MPa) | |
| T | Temperature (K) |
| t | Time (s) |
| Derivative of variable x with respect to time | |
| [C] | Mass matrix (kg) |
| Heat vector (W) | |
| k | Thermal conductivity () |
| Density (kg m) | |
| Specific heat capacity at constant pressure () | |
| h | Convection coefficient () |
| f | Frequency (Hz) |
| Period (s) | |
| n | Number of cycles |
| Maximum number of increments | |
| Thermal expansion coefficient in the i direction (K) |
References
- La Rosa, G.; Risitano, A. Thermographic methodology for rapid determination of the fatigue limit of materials and mechanical components. Int. J. Fatigue 2000, 22, 65–73. [Google Scholar] [CrossRef]
- Luong, M.P. Fatigue limit evaluation of metals using an infrared thermographic technique. Mech. Mater. 1998, 28, 155–163. [Google Scholar] [CrossRef]
- Wang, X.; Crupi, V.; Jiang, C.; Feng, E.; Guglielmino, E.; Wang, C. Energy-based approach for fatigue life prediction of pure copper. Int. J. Fatigue 2017, 104, 243–250. [Google Scholar] [CrossRef]
- Laguela, S.; Martínez, J.; Armesto, J.; Arias, P. Energy efficiency studies through 3D laser scanning and thermographic technologies. Energy Build. 2011, 43, 1216–1221. [Google Scholar] [CrossRef]
- Tian, T.; Cole, K.D. Anisotropic thermal conductivity measurement of carbon-fiber/epoxy composite materials. Int. J. Heat Mass Transf. 2012, 55, 6530–6537. [Google Scholar] [CrossRef]
- Villière, M.; Lecointe, D.; Sobotka, V.; Nicolas, B.; Delaunay, D. Experimental determination and modeling of thermal conductivity tensor of carbon/epoxy composite. Compos. Part A Appl. Sci. Manuf. 2013, 46, 60–68. [Google Scholar] [CrossRef]
- Strzałkowski, K.; Streza, M.; Pawlak, M. Lock-in thermography versus PPE calorimetry for accurate measurements of thermophysical properties of solid samples: A comparative study. Measurement 2015, 64, 64–70. [Google Scholar] [CrossRef]
- António Ramos, S.; Vaz, M.; Leite, S.R.; Mendes, J. Non-Destructive Infrared Lock-in Thermal Tests: Update on the Current Defect Detectability. Russ. J. Nondestruct. Test. 2019, 55, 772–784. [Google Scholar] [CrossRef]
- Ramos Silva, A.J.; Vaz, M.; Ribeirinho Leite, S.; Mendes, J. Analyzing the Influence of the Stimulation Duration in the Transient Thermal Test—Experimental and FEM Simulation. Exp. Tech. 2022. [Google Scholar] [CrossRef]
- Silva, A.R.; Vaz, M.; Leite, S.; Gabriel, J. Lock-in thermal test with corrected optical stimulation. Quant. Infrared Thermogr. J. 2022, 19, 261–282. [Google Scholar] [CrossRef]
- Ramos Silva, A.; Vaz, M.; Ribeirinho Leite, S.; Mendes, J. Analyzing the influence of thermal NDT parameters on test performance. Russ. J. Nondestruct. Test. 2021, 57, 727–737. [Google Scholar] [CrossRef]
- Sharpe, W.N., Jr. Springer Handbook of Experimental Solid Mechanics; Springer Handbooks: Berlin/Heidelberg, Germany, 2008. [Google Scholar]
- An, Y.K.; Min Kim, J.; Sohn, H. Laser lock-in thermography for detection of surface-breaking fatigue cracks on uncoated steel structures. NDT E Int. 2014, 65, 54–63. [Google Scholar] [CrossRef]
- Silva, A.J.R.; Moreira, P.M.G.; Vaz, M.A.P.; Gabriel, J. Temperature profiles obtained in thermoelastic stress test for different frequencies. Int. J. Struct. Integr. 2017, 8, 51–62. [Google Scholar] [CrossRef]
- Farahani, B.V.; de Melo, F.Q.; Tavares, P.J.; Moreira, P.M. New approaches on the stress intensity factor characterization—Review. Procedia Struct. Integr. 2020, 28, 226–233. [Google Scholar] [CrossRef]
- Ancona, F.; De Finis, R.; Palumbo, D.; Galietti, U. Crack Growth Monitoring in Stainless Steels by Means of TSA Technique. Procedia Eng. 2015, 109, 89–96. [Google Scholar] [CrossRef]
- Díaz, F.A.; Patterson, E.A.; Tomlinson, R.A.; Yates, J.R. Measuring stress intensity factors during fatigue crack growth using thermoelasticity. Fatigue Fract. Eng. Mater. Struct. 2004, 27, 571–583. [Google Scholar] [CrossRef]
- Díaz, F.A.; Vasco-Olmo, J.M.; López-Alba, E.; Felipe-Sesé, L.; Molina-Viedma, A.J.; Nowell, D. Experimental evaluation of effective stress intensity factor using thermoelastic stress analysis and digital image correlation. Int. J. Fatigue 2020, 135, 105567. [Google Scholar] [CrossRef]
- Díaz, F.A.; Yates, J.R.; Patterson, E.A. Some improvements in the analysis of fatigue cracks using thermoelasticity. Int. J. Fatigue 2004, 26, 365–376. [Google Scholar] [CrossRef]
- Duarte, G.; Neves, A.M.A.; Silva, A.J.R. Temperature patterns obtained in thermoelastic stress test for different frequencies, a FEM approach. Submitt. Int. J. Struct. Integr. 2022, in press.
- Kakei, A.; Epaarachchi, J.A.; Islam, M.; Leng, J.; Rajic, N. Detection and characterisation of delamination damage propagation in Woven Glass Fibre Reinforced Polymer Composite using thermoelastic response mapping. Compos. Struct. 2016, 153, 442–450. [Google Scholar] [CrossRef]
- Kakei, A.; Epaarachchi, J.A.; Islam, M.; Leng, J. Evaluation of delamination crack tip in woven fibre glass reinforced polymer composite using FBG sensor spectra and thermo-elastic response. Meas. J. Int. Meas. Confed. 2018, 122, 178–185. [Google Scholar] [CrossRef]
- Jiménez-Fortunato, I.; Bull, D.J.; Thomsen, O.T.; Dulieu-Barton, J.M. On the source of the thermoelastic response from orthotropic fibre reinforced composite laminates. Compos. Part A Appl. Sci. Manuf. 2021, 149, 106515. [Google Scholar] [CrossRef]
- Mackin, T.; Roberts, M. Evaluation of Damage Evolution in Ceramic-Matrix Composites Using Thermoelastic Stress Analysis. J. Am. Ceram. Soc. 2004, 83, 337–343. [Google Scholar] [CrossRef]
- Palumbo, D.; De Finis, R.; Di Carolo, F.; Vasco-Olmo, J.; Diaz, F.A.; Galietti, U. Influence of Second-Order Effects on Thermoelastic Behaviour in the Proximity of Crack Tips on Titanium. Exp. Mech. 2022, 62, 521–535. [Google Scholar] [CrossRef]
- De Finis, R.; Palumbo, D.; Galietti, U. Evaluation of damage in composites by using thermoelastic stress analysis: A promising technique to assess the stiffness degradation. Fatigue Fract. Eng. Mater. Struct. 2020, 43, 2085–2100. [Google Scholar] [CrossRef]
- Di Carolo, F.; De Finis, R.; Palumbo, D.; Galietti, U. Study of the thermo-elastic stress analysis (TSA) sensitivity in the evaluation of residual stress in non-ferrous metal. In Thermosense: Thermal Infrared Applications XLI; SPIE: Bellingham, WA, USA, 2019; p. 25. [Google Scholar] [CrossRef]
- Di Carolo, F.; De Finis, R.; Palumbo, D.; Galietti, U. A Thermoelastic Stress Analysis General Model: Study of the Influence of Biaxial Residual Stress on Aluminium and Titanium. Metals 2019, 9, 671. [Google Scholar] [CrossRef]
- Pitarresi, G.; Found, M.; Patterson, E. An investigation of the influence of macroscopic heterogeneity on the thermoelastic response of fibre reinforced plastics. Compos. Sci. Technol. 2005, 65, 269–280. [Google Scholar] [CrossRef]
- Thompson, E.G. A Introduction to the Finite Element Method: Theory, Programming and Applications; Wiley: Hoboken, NJ, USA, 2005; p. 360. [Google Scholar]
- Pires, F.M.A.; Carneiro, A.M.C.; Lopes, I.A.R. Finite Element Method Theoretical Classes. 2021. Available online: https://sigarra.up.pt/feup/pt/conteudos_adm.list?pct_pag_id=249640&pct_parametros=pv_ocorrencia_id=335032 (accessed on 16 October 2022).
- Donadon, M.; de Almeida, S. 2.07—Damage modeling in composite structures. In Comprehensive Materials Processing; Hashmi, S., Batalha, G.F., Van Tyne, C.J., Yilbas, B., Eds.; Elsevier: Amsterdam, The Netherlands, 2014; pp. 111–147. [Google Scholar] [CrossRef]
- Kitade, S.; Pullen, K. 3.20 Flywheel. In Comprehensive Composite Materials II; Beaumont, P.W., Zweben, C.H., Eds.; Elsevier: Amsterdam, The Netherlands, 2016; pp. 545–555. [Google Scholar] [CrossRef]
- Arfken, G.B.; Griffing, D.F.; Kelly, D.C.; Priest, J. (Eds.) Chapter 23—Heat Transfer. In International Edition University Physics; Academic Press: Cambridge, MA, USA, 1984; pp. 430–443. [Google Scholar] [CrossRef]
- Hillel, D. Soil physics. In Encyclopedia of Physical Science and Technology, 3rd ed.; Meyers, R.A., Ed.; Academic Press: Cambridge, MA, USA, 2001; pp. 77–97. [Google Scholar] [CrossRef]
- Kosky, P.; Balmer, R.; Keat, W.; Wise, G. (Eds.) Chapter 12—Mechanical Engineering. In Exploring Engineering, 3rd ed.; Academic Press: Boston, MA, USA, 2013; pp. 259–281. [Google Scholar] [CrossRef]
- Ramos Silva, A.J.; Vaz, M.; Ribeirinho Leite, S.; Mendes, J. Lock-in Thermal Test Simulation, Influence, and optimum cycle period for infrared thermal testing in Non-destructive testing. Sensors 2023, 23, 325. [Google Scholar] [CrossRef]
- Santos, D.d.; Carbas, R.; Marques, E.; da Silva, L. Reinforcement of CFRP joints with fibre metal laminates and additional adhesive layers. Compos. Part B Eng. 2019, 165, 386–396. [Google Scholar] [CrossRef]
- MatWeb. Available online: https://www.matweb.com/search/datasheet_print.aspx?matguid=39e40851fc164b6c9bda29d798bf3726 (accessed on 6 September 2022).
- Kang, J.; Liang, S.; Wu, A.; Li, Q.; Wang, G. Local Liquation Phenomenon and Its Effect on Mechanical Properties of Joint in Friction Stir Welded 2219 Al Alloy. Jinshu Xuebao/Acta Metall. Sin. 2017, 53, 358–368. [Google Scholar] [CrossRef]

















| Yield Strength (MPa) | (GPa) | (GPa) | Poisson’s Coefficient (-) | Density (kg/m3) |
|---|---|---|---|---|
| 1230 | 109 | 8.819 | 0.342 | 1410 |
(W/m·K) | (W/m·K) | Specific Heat Capacity (J/kg·K) | ||
|---|---|---|---|---|
| 6.3 | 0.6 | 1130 | 21.3 | 67.6 |
| Yield Strength (MPa) | Young’s Modulus (GPa) | Poisson’s Coefficient (-) | Thermal Conductivity (W/m·K) | Density (kg/m ) | Specific Heat Capacity (J/Kg·K) |
|---|---|---|---|---|---|
| 352 | 73.1 | 0.33 | 120 | 2840 | 864 |
| Parameter | Value 1 | Value 2 | Value 3 | Value 4 | Value 5 |
|---|---|---|---|---|---|
| Thermal Conductivity (W/m·K) | 0.12 | 12 | 120 | 1200 | 12,000 |
| Parameter | Value 1 | Value 2 | Value 3 | Value 4 | Value 5 |
|---|---|---|---|---|---|
| Young’s Modulus (GPa) | 10 | 70 | 130 | 200 | 300 |
Disclaimer/Publisher’s Note: The statements, opinions and data contained in all publications are solely those of the individual author(s) and contributor(s) and not of MDPI and/or the editor(s). MDPI and/or the editor(s) disclaim responsibility for any injury to people or property resulting from any ideas, methods, instructions or products referred to in the content. |
© 2023 by the authors. Licensee MDPI, Basel, Switzerland. This article is an open access article distributed under the terms and conditions of the Creative Commons Attribution (CC BY) license (https://creativecommons.org/licenses/by/4.0/).
Share and Cite
Duarte, G.; Neves, A.; Ramos Silva, A. Temperature Patterns in TSA for Different Frequencies and Material Properties: A FEM Approach. Math. Comput. Appl. 2023, 28, 8. https://doi.org/10.3390/mca28010008
Duarte G, Neves A, Ramos Silva A. Temperature Patterns in TSA for Different Frequencies and Material Properties: A FEM Approach. Mathematical and Computational Applications. 2023; 28(1):8. https://doi.org/10.3390/mca28010008
Chicago/Turabian StyleDuarte, Guilherme, Ana Neves, and António Ramos Silva. 2023. "Temperature Patterns in TSA for Different Frequencies and Material Properties: A FEM Approach" Mathematical and Computational Applications 28, no. 1: 8. https://doi.org/10.3390/mca28010008
APA StyleDuarte, G., Neves, A., & Ramos Silva, A. (2023). Temperature Patterns in TSA for Different Frequencies and Material Properties: A FEM Approach. Mathematical and Computational Applications, 28(1), 8. https://doi.org/10.3390/mca28010008

