Entropy Generation of Cu–Al2O3/Water Flow with Convective Boundary Conditions through a Porous Stretching Sheet with Slip Effect, Joule Heating and Chemical Reaction
Abstract
:1. Introduction
2. Mathematical Formulation
- Continuity Equation
- Momentum Equation
- Temperature Equation
- Concentration Equationwith boundary conditions [51,52,53]:where and are the cartesian coordinates. The flow occupies the domain . The velocity of the sheet along the x-direction is , where a is a positive constant. Further, and are the temperature and concentration at the surface, respectively. and are ambient temperature and concentration, respectively. Here and are velocities along and axes, respectively. and are the temperature and concentration of the hybrid nanofluid, respectively. ,,, are the viscosity, density, thermal conductivity, electrical conductivity, and heat capacity of the hybrid nanofluid (refer to Table 1 and Table 2), respectively. is mass diffusivity, is chemical reaction rate, is magnetic field strength, and is the permeability of a porous medium.
3. Entropy Generation
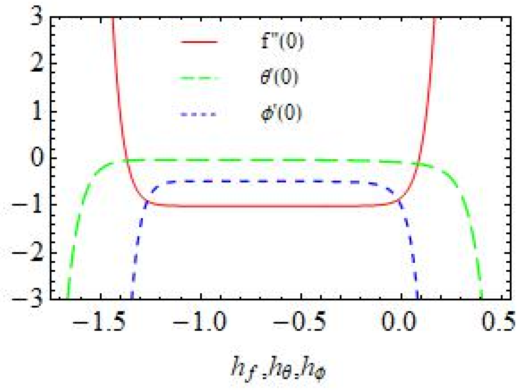
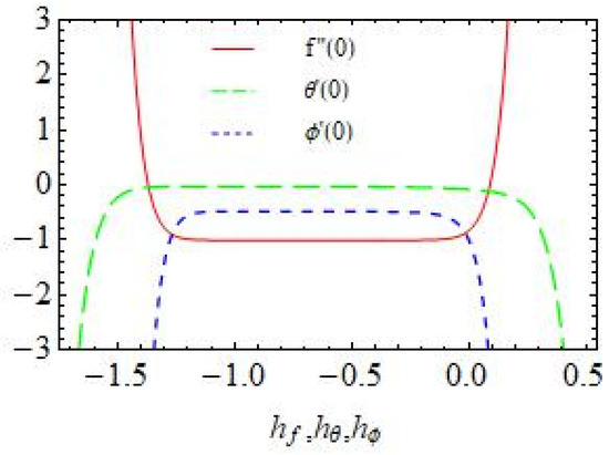
4. Numerical Evaluation Using HAM
- Choosing initial guesses as:
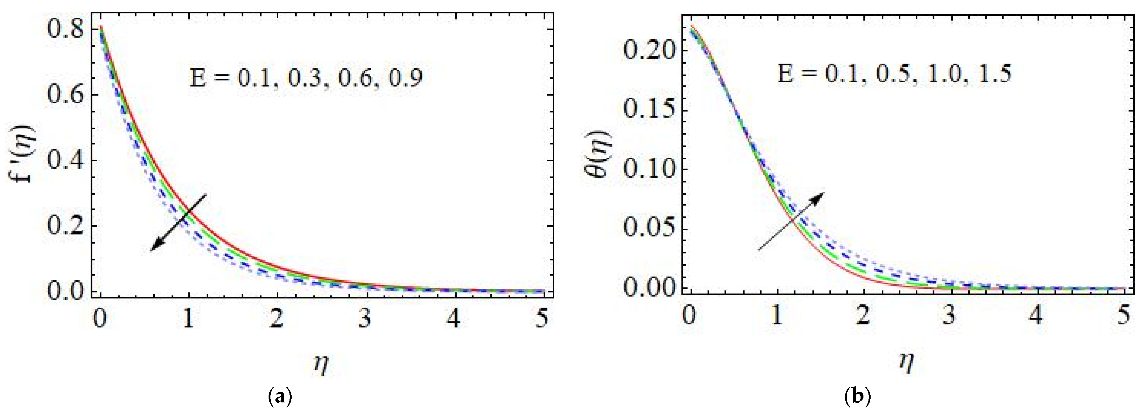
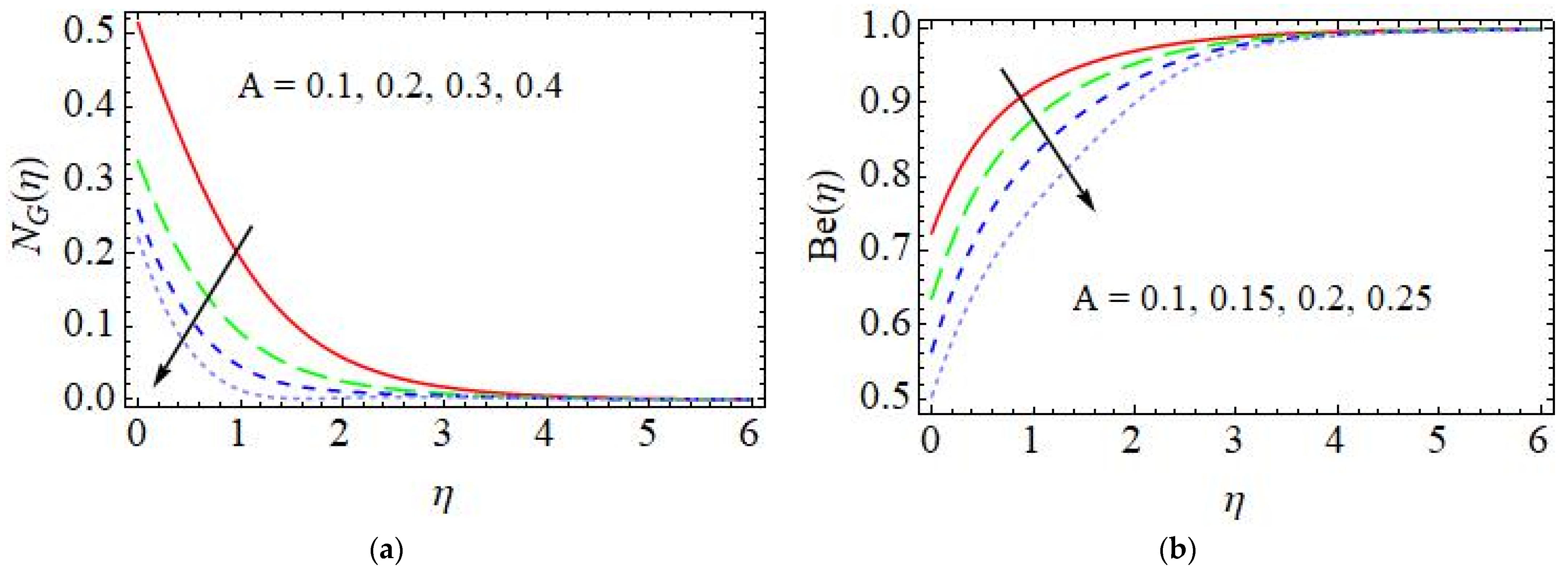
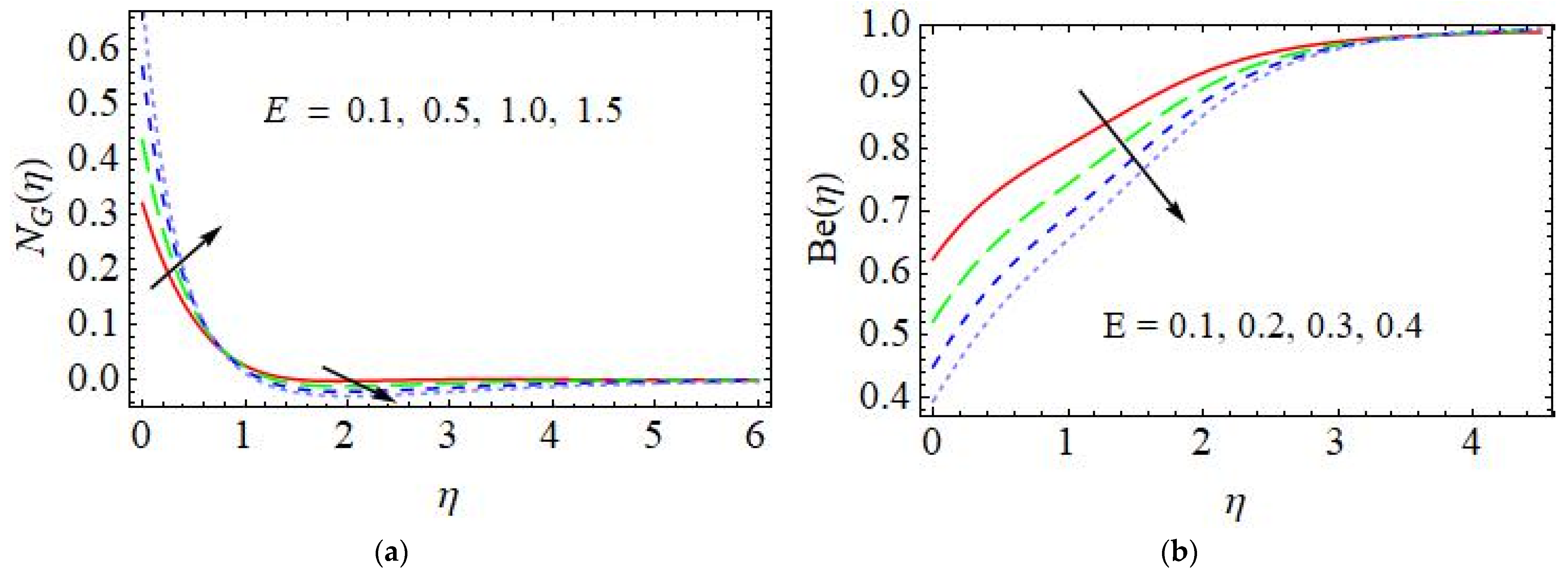
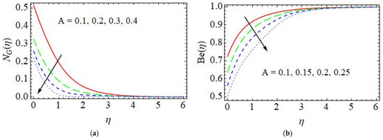
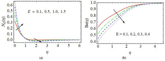
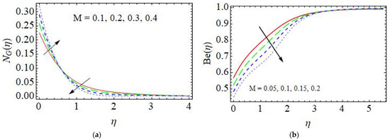
5. Results and Discussion
6. Conclusions
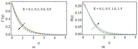
- An increase in porosity results in a decrease in velocity, whereas, the thermal and concentration profiles are increased. As a result, the rates of both heat and mass transfer increase.
- An increase in the slip parameter decreases the rate of flow of a hybrid nanofluid. The concentration increases as the slip increases.
- An increase in the magnetic parameter increases temperature and concentration but decreases velocity.
- As the Biot number increases, the temperature also increases.
- An increase in the Brinkman number improves the viscous force, which amplifies the collision of fluid particles. Hence, the rate of entropy generation is enhanced.
- When the magnetic parameter is increased there is a decrease in the Bejan number.
- An increase in the Brinkman number increases the rate of entropy generation. Thus, entropy is enhanced due to viscous dissipation.
Author Contributions
Funding
Conflicts of Interest
Nomenclature
| u,v | Velocity components taken along x- and y-axes (m/s) |
| uw | Velocity at the surface (m/s) |
| Tw | Surface temperature (K) |
| Cw | Surface concentration |
| T∞ | Ambient temperature |
| C∞ | Ambient concentration |
| M | Magnetic parameter |
| E | Porosity parameter |
| D | Mass diffusivity (m2s−1) |
| qr | Heat flux (kg·m2s−3) |
| Cp | Specific heat (J/kg) |
| T | Temperature of the fluid (K) |
| C | Concentration of the fluid |
| k | Thermal conductivity |
| Pr | Prandtl number |
| Ec | Eckert number |
| Sc | Schmidt number |
| Cf | Skin friction coefficient |
| Nu | Nusselt number |
| Chemical reaction parameter | |
| B | Diffusion parameter |
| Temperature difference parameter | |
| Concentration difference parameter | |
| Brinkman number | |
| Be | Bejan number |
| Greek symbols | |
| Kinematic viscosity of the fluid (m2/s) | |
| Density of the fluid (kgm−3) | |
| Dynamic viscosity of the fluid (m2/s) | |
| Thermal diffusivity (m2/s) | |
| Electrical conductivity (s/m) | |
| Biot number | |
| Slip parameter | |
| Subscripts | |
| ∞ | Ambient |
| f | base fluid |
| nf | Nanofluid |
| hnf | hybrid nanofluid |
References
- Choi, S.U.; Eastman, J.A. Enhancing Thermal Conductivity of fluids with nanoparticles. Mater. Sci. 1995, 231, 99–105. [Google Scholar]
- Crane, L.J. Flow past a stretching plate. Z. Für. Angew. Math. Und. Phys. ZAMP 1970, 21, 645–647. [Google Scholar] [CrossRef]
- Prakash, M.; Devi, S. Hydromagnetic hybrid Al2O3 -Cu/water nanofluid flow over a slendering stretching sheet with prescribed surface temperature. Asian J. Res. Soc. Sci. Humanit. 2016, 6, 1921–1936. [Google Scholar] [CrossRef]
- Nadeem, S.; Ahmed, Z.; Saleem, S. The effect of variable viscosities on micropolar flow of two nanofluids. Z. Für. Nat. A 2016, 71, 1121–1129. [Google Scholar] [CrossRef]
- Rashidi, M.M.; Raju, C.S.; Sandeep, N.; Saleem, S. A numerical comparative study on 3D nanofluid flows. J. Comput. Theor. Nanosci. 2016, 13, 4835–4842. [Google Scholar] [CrossRef]
- Nawaz, M.; Saleem, S.; Rana, S. Computational study of chemical reactions during heat and mass transfer in a magnetized partially ionized nanofluid. J. Braz. Soc. Mech. Sci. Eng. 2019, 41, 326. [Google Scholar] [CrossRef]
- Sheikholeslami, M.; Zareei, A.; Jafaryar, M.; Shafee, A.; Li, Z.; Smida, A.; Tlili, I. Heat transfer simulation during charging of nanoparticle enhanced PCM within a channel. Phys. A Stat. Mech. Appl. 2019, 525, 557–565. [Google Scholar] [CrossRef]
- Devi, S.U.; Devi, S.A. Heat Transfer Enhancement of Cu–Al2O3/Water Hybrid Nanofluid over a Stretching Sheet. J. Niger. Math. Soc. 2017, 36, 419–433. [Google Scholar]
- Waini, I.; Ishak, A.; Pop, I. Hybrid Nanofluid flow and heat transfer past a permeable stretching/shrinking surface with a convective boundary condition. J. Phys. 2022, 1366, 12022. [Google Scholar] [CrossRef]
- Beavers, G.S.; Joseph, D.D. Boundary condition at a naturally permeable wall. J. Fluid Mech. 1967, 30, 197–207. [Google Scholar] [CrossRef]
- Ariel, P.D.; Hayat, T.; Asghar, S. The flow of an elastic-viscous fluid past a stretching sheet with partial slip. Acta Mech. 2006, 187, 29–35. [Google Scholar] [CrossRef]
- Bhattacharyya, K.; Layek, G.C.; Gorla, R.S.R. Slip effect on boundary layer flow on a moving flat plate in a parallel free stream. Int. J. Fluid Mech. Res. 2012, 39, 438–447. [Google Scholar] [CrossRef]
- Hayat, T.; Javed, T.; Abbas, Z. Slip flow and heat transfer of a second-grade fluid past a stretching sheet through a porous space. Int. J. Heat Mass Transf. 2008, 51, 4528–4534. [Google Scholar] [CrossRef]
- Sivasankaran, S.; Mansour, M.A.; Rashad, A.M.; Bhuvaneswari, M. MHD mixed convection of Cu–water nanofluid in a two-sided lid-driven porous cavity with a partial slip. Numer. Heat Transf. Part A Appl. 2016, 70, 1356–1370. [Google Scholar] [CrossRef]
- Salleh SN, A.; Bachok, N.; Arifin, N.M.; Ali, F.M. A Stability Analysis of Solutions on Boundary Layer Flow Past a Moving Thin Needle in a Nanofluid with Slip Effect. ASM Sci. J. 2019, 12, 60–70. [Google Scholar]
- Xia, W.-F.; Ahmad, S.; Khan, M.N.; Ahmad, H.; Rehman, A.; Baili, J.; Gia, T.N. Heat and mass transfer analysis of nonlinear mixed convective hybrid nanofluid flow with multiple slip boundary conditions. Case Stud. Therm. Eng. 2022, 32, 101893. [Google Scholar] [CrossRef]
- Wang, C.Y. Analysis of viscous flow due to a stretching sheet with surface slip. Nonlinear Anal. Real World Appl. 2009, 10, 375–380. [Google Scholar] [CrossRef]
- Shoaib, M.; Raja, M.A.Z.; Sabir, M.T.; Islam, S.; Shah, Z.; Kumam, P.; Alrabaiah, H. Numerical investigation for rotating flow of MHD hybrid nanofluid with thermal radiation over a stretching sheet. Sci. Rep. 2020, 10, 18533. [Google Scholar] [CrossRef]
- Adnan; Khan, U.; Ahmed, N.; Mohyud-Din, S.T.; Alsulami, M.D.; Khan, I. A novel analysis of heat transfer in the nanofluid composed by nanodiamond and silver nanomaterials: Numerical investigation. Sci. Rep. 2022, 12, 1284. [Google Scholar] [CrossRef]
- Jagan, K.; Sivasankaran, S. Three-Dimensional Non-Linearly Thermally Radiated Flow of Jeffrey Nanoliquid towards a Stretchy Surface with Convective Boundary and Cattaneo–Christov Flux. Math. Comput. Appl. 2022, 27, 98. [Google Scholar] [CrossRef]
- Jagan, K.; Sivasankaran, S. Soret & Dufour and Triple Stratification Effect on MHD Flow with Velocity Slip towards a Stretching Cylinder. Math. Comput. Appl. 2022, 27, 25. [Google Scholar]
- Maskeen, M.M.; Zeeshan, A.; Mehmood, O.U.; Hassan, M. Heat transfer enhancement in hydromagnetic alumina–copper/water hybrid nanofluid flow over a stretching cylinder. J. Therm. Anal Calorim. 2019, 138, 1127–1136. [Google Scholar] [CrossRef]
- Reddy, M.G.; Reddy, K.V. Influence of Joule Heating on MHD Peristaltic Flow of a Nanofluid with Compliant Walls. Procedia Eng. 2015, 127, 1002–1009. [Google Scholar] [CrossRef]
- Sajid, M.; Iqbal, S.A.; Naveed, M.; Abbas, Z. Joule heating and magnetohydrodynamic effects on ferrofluid (Fe3O4) flow in a semi-porous curved channel. J. Mol. Liq. 2016, 222, 1115–1120. [Google Scholar] [CrossRef]
- Daniel, Y.S.; Aziz, Z.A.; Ismail, Z.; Salah, F. Effects of thermal radiation, viscous and Joule heating on electrical MHD nanofluid with double stratification. Chin. J. Phys. 2017, 55, 3. [Google Scholar]
- Kamran, A.; Hussain, S.; Sagheer, M.; Akmal, N. A numerical study of magnetohydrodynamics flow in Casson nanofluid combined with Joule heating and slip boundary conditions. Results Phys. 2017, 7, 3037–3048. [Google Scholar] [CrossRef]
- Khan, M.I.; Qayyum, S.; Hayat, T.; Khan, M.I.; Alsaedi, A. Entropy optimization in flow of Williamson nanofluid in the presence of chemical reaction and Joule heating. Int. J. Heat Mass Transf. 2019, 133, 959–967. [Google Scholar] [CrossRef]
- Gholinia, M.; Hoseini, M.E.; Gholinia, S. A numerical investigation of free convection MHD flow of Walters-B nanofluid over an inclined stretching sheet under the impact of Joule heating. Therm. Sci. Eng. Prog. 2019, 11, 272–282. [Google Scholar] [CrossRef]
- Patel, H.R.; Singh, R. Thermophoresis, Brownian motion and non-linear thermal radiation effects on mixed convection MHD micropolar fluid flow due to nonlinear stretched sheet in porous medium with viscous dissipation, joule heating and convective boundary condition. Int. Commun. Heat Mass Transf. 2019, 107, 68–92. [Google Scholar] [CrossRef]
- Khashi’Ie, N.S.; Arifin, N.M.; Pop, I.; Wahid, N.S. Flow and heat transfer of hybrid nanofluid over a permeable shrinking cylinder with Joule heating: A comparative analysis. Alex. Eng. J. 2020, 59, 1787–1798. [Google Scholar] [CrossRef]
- Li, Y.X.; Khan, M.I.; Gowda, R.P.; Ali, A.; Farooq, S.; Chu, Y.M.; Khan, S.U. Dynamics of aluminum oxide and copper hybrid nanofluid in nonlinear mixed Marangoni convective flow with Entropy Generation: Applications to Renewable Energy. Chin. J. Phys. 2021, 73, 275–287. [Google Scholar] [CrossRef]
- Hussain, Z.; Alshomrani, A.S.; Muhammad, T.; Anwar, M.S. Entropy analysis in mixed convective flow of hybrid nanofluid subject to melting heat and chemical reactions. Case Stud. Therm. Eng. 2022, 34, 101972. [Google Scholar] [CrossRef]
- Kashyap, D.; Dass, A.K. Effect of boundary conditions on heat transfer and entropy generation during two-phase mixed convection hybrid Al2O3-Cu/water nanofluid flow in a cavity. Int. J. Mech. Sci. 2019, 157, 45–59. [Google Scholar] [CrossRef]
- Kasaeipoor, A.; Malekshah, E.H.; Kolsi, L. Free convection heat transfer and entropy generation analysis of MWCNTMgO (15–85%)/Water nanofluid using Lattice Boltzmann method in cavity with refrigerant solid body-Experimental thermo-physical properties. Powder Technol. 2017, 322, 9–23. [Google Scholar] [CrossRef]
- Ahammed, N.; Asirvatham, L.G.; Wongwises, S. Entropy generation analysis of graphene–alumina hybrid nanofluid in multiport mini channel heat exchanger coupled with thermoelectric cooler. Int. J. Heat Mass Transf. 2016, 103, 1084–1097. [Google Scholar] [CrossRef]
- Anuar, N.S.; Bachok, N.; Pop, I. Cu-Al2O3/Water Hybrid Nanofluid Stagnation Point Flow Past MHD Stretching/Shrinking Sheet in Presence of Homogeneous-Heterogeneous and Convective Boundary Conditions. Mathematics 2020, 8, 1237. [Google Scholar] [CrossRef]
- Rashid, A.; Ayaz, M.; Islam, S.; Saeed, A.; Kumam, P.; Suttiarporn, P. Theoretical Analysis of the MHD Flow of a Tangent Hyperbolic Hybrid Nanofluid over a Stretching Sheet with Convective Conditions: A Nonlinear Thermal Radiation Case. S. Afr. J. Chem. Eng. 2022, 42, 255–269. [Google Scholar] [CrossRef]
- Krishna, M.V.; Ahammad, N.A.; Chamkha, A.J. Radiative MHD flow of Casson hybrid nanofluid over an infinite exponentially accelerated vertical porous surface. Case Stud. Therm. Eng. 2021, 27, 101229. [Google Scholar] [CrossRef]
- Sivasankaran, S.; Narrein, K. Numerical investigation of two-phase laminar pulsating nanofluid flow in helical microchannel filled with a porous medium. Int. Commun. Heat Mass Transf. 2016, 75, 86–91. [Google Scholar] [CrossRef]
- Arifuzzaman, M.; Uddin, M.J. Convective of alumina-water nanofluid in a square vessel in presence of the exothermic chemical reaction and hydromagnetic field. Results Eng. 2021, 10, 100226. [Google Scholar] [CrossRef]
- Kasmani, R.M.; Sivasankaran, S.; Bhuvaneswari, M.; Siri, Z. Effect of chemical reaction on convective heat transfer of boundary layer flow in nanofluid over a wedge with heat generation/absorption and suction. J. Appl. Fluid Mech. 2015, 9, 379–388. [Google Scholar] [CrossRef]
- Shoaib, M.; Nisar, K.S.; Raja, M.A.Z.; Tariq, Y.; Tabassum, R.; Rafiq, A. Knacks of neuro-computing to study the unsteady squeezed flow of MHD carbon nanotube with entropy generation. Int. Commun. Heat Mass Transf. 2022, 135, 106140. [Google Scholar] [CrossRef]
- Ali, A.; Sajid, M.; Anjum, H.J.; Awais, M.; Nisar, K.S.; Saleel, C.A. Entropy Generation Analysis of Peristaltic Flow of Nanomaterial in a Rotating Medium through Generalized Complaint Walls of Micro-Channel with Radiation and Heat Flux Effects. Micromachines 2022, 13, 375. [Google Scholar] [CrossRef] [PubMed]
- Ramzan, M.; Gul, H.; Ghazwani HA, S.; Nisar, K.S.; Ahamed Saleel, C. Entropy generation minimization in the Blasius–Rayleigh–Stokes nanofluid flow through a transitive magnetic field with bioconvective microorganisms. Waves Random Complex Media 2022, 1–21. [Google Scholar] [CrossRef]
- Liao, S.J. Beyond Perturbation, Introduction to Homotopy Analysis Method; Chapman & Hall/CRC Press: Boca Raton, FL, USA, 2003. [Google Scholar]
- Liao, S.J. On the homotopy analysis method for nonlinear problems. Appl. Math. Comput. 2004, 147, 499–513. [Google Scholar] [CrossRef]
- Jagan, K.; Sivasankaran, S.; Bhuvaneswari, M.; Rajan, S. Effect of non-linear radiation on 3D unsteady MHD nanoliquid flow over a stretching surface with double stratification. Appl. Math. Sci. Comput. 2019, 109–116. [Google Scholar] [CrossRef]
- Jagan, K.; Sivasankaran, S.; Bhuvaneswari, M. Effect of Thermal Radiation on Magneto-Convection of a Micropolar Nanoliquid towards a Non-Linear Stretching Surface with Convective Boundary. Int. J. Eng. Technol. 2018, 7, 417–421. [Google Scholar] [CrossRef]
- Reddy, V.S.; Kandasamy, J.; Sivanandam, S. Impacts of Casson Model on Hybrid Nanofluid Flow over a Moving Thin Needle with Dufour and Soret and Thermal Radiation Effects. Math. Comput. Appl. 2023, 28, 2. [Google Scholar] [CrossRef]
- Tiwari, R.K.; Das, M.K. Heat transfer augmentation in a two-sided lid-driven differentially heated square cavity utilizing nanofluids. Int. J. Heat Mass Transf. 2007, 50, 2002–2018. [Google Scholar] [CrossRef]
- Unyong, B.; Vadivel, R.; Govindaraju, M.; Anbuvithya, R.; Gunasekaran, N. Entropy analysis for ethylene glycol hybrid nanofluid flow with elastic deformation, radiation, non-uniform heat generation/absorption, and inclined Lorentz force effects. Case Stud. Therm. Eng. 2022, 30, 101639. [Google Scholar] [CrossRef]
- Khan, S.A.; Hayat, T.; Alsaedi, A. Thermal conductivity performance for ternary hybrid nanomaterial subject to entropy generation. Energy Rep. 2022, 8, 9997–10005. [Google Scholar] [CrossRef]
- El-dawy, H.A.; El-Amin, M. Effects of Viscous Dissipation and Joule Heating on Micropolar Hybrid Nanofluid in a Stretching/Shrinking Channel including Thermal/Solar Radiation. Res. Sq. 2021. [Google Scholar] [CrossRef]
- Oztop, H.F.; Abu-Nada, E. Numerical study of natural convection in partially heated rectangular enclosures filled with nanofluids. Int. J. Heat Fluid Flow 2008, 29, 1326–1336. [Google Scholar] [CrossRef]
- Aly, E.H. Existence of the multiple exact solutions for nanofluids flow over a stretching/shrinking sheet embedded in a porous medium at the presence of magnetic field with electrical conductivity and thermal radiation effects. Powder Technol. 2016, 301, 760–781. [Google Scholar] [CrossRef]













| Property | Water | Copper | Alumina |
|---|---|---|---|
| Specific Heat (J/kgK) | 4180 | 385 | 765 |
| Density (kg/m3) | 997.0 | 8933 | 3970 |
| Thermal Conductivity (W/mK) | 0.6071 | 400 | 40 |
| Electrical Conductivity (s/m) | 5.5 × 10−6 | 59.6 × 106 | 35 × 106 |
| Thermophysical Property | Nanofluid | Hybrid Nanofluid |
|---|---|---|
| Density | = | = |
| Dynamic Viscosity | ||
| Thermal Conductivity | knf = kf | khnf = knf, where knf = kf |
| Heat Capacity | ||
| Electrical Conductivity | = | = |
| Order | |||
|---|---|---|---|
| 1 | 0.9431 | 0.0821 | 0.7028 |
| 5 | 1.0069 | 0.0773 | 0.5170 |
| 10 | 1.0089 | 0.0770 | 0.4924 |
| 15 | 1.0089 | 0.0771 | 0.4873 |
| 20 | 1.0089 | 0.0771 | 0.4858 |
| 25 | 1.0089 | 0.0771 | 0.4853 |
| 30 | 1.0089 | 0.0771 | 0.4851 |
| 35 | 1.0089 | 0.0771 | 0.4850 |
| 40 | 1.0089 | 0.0771 | 0.4850 |
| 45 | 1.0089 | 0.0771 | 0.4850 |
| 50 | 1.0089 | 0.0771 | 0.4850 |
Disclaimer/Publisher’s Note: The statements, opinions and data contained in all publications are solely those of the individual author(s) and contributor(s) and not of MDPI and/or the editor(s). MDPI and/or the editor(s) disclaim responsibility for any injury to people or property resulting from any ideas, methods, instructions or products referred to in the content. |
© 2023 by the authors. Licensee MDPI, Basel, Switzerland. This article is an open access article distributed under the terms and conditions of the Creative Commons Attribution (CC BY) license (https://creativecommons.org/licenses/by/4.0/).
Share and Cite
Joyce, M.I.; Kandasamy, J.; Sivanandam, S. Entropy Generation of Cu–Al2O3/Water Flow with Convective Boundary Conditions through a Porous Stretching Sheet with Slip Effect, Joule Heating and Chemical Reaction. Math. Comput. Appl. 2023, 28, 18. https://doi.org/10.3390/mca28010018
Joyce MI, Kandasamy J, Sivanandam S. Entropy Generation of Cu–Al2O3/Water Flow with Convective Boundary Conditions through a Porous Stretching Sheet with Slip Effect, Joule Heating and Chemical Reaction. Mathematical and Computational Applications. 2023; 28(1):18. https://doi.org/10.3390/mca28010018
Chicago/Turabian StyleJoyce, Maria Immaculate, Jagan Kandasamy, and Sivasankaran Sivanandam. 2023. "Entropy Generation of Cu–Al2O3/Water Flow with Convective Boundary Conditions through a Porous Stretching Sheet with Slip Effect, Joule Heating and Chemical Reaction" Mathematical and Computational Applications 28, no. 1: 18. https://doi.org/10.3390/mca28010018
APA StyleJoyce, M. I., Kandasamy, J., & Sivanandam, S. (2023). Entropy Generation of Cu–Al2O3/Water Flow with Convective Boundary Conditions through a Porous Stretching Sheet with Slip Effect, Joule Heating and Chemical Reaction. Mathematical and Computational Applications, 28(1), 18. https://doi.org/10.3390/mca28010018

