Effects of Temperature on the Leaching Behavior of Pb from Cement Stabilization/Solidification-Treated Contaminated Soil
Abstract
1. Introduction
2. Materials and Methods
2.1. Materials
2.2. Preparation of Pb-Contaminated Soil and S/S Samples
2.3. Semi-Dynamic Leaching Test at Elevated Temperature
2.4. Diffusion Theory for Semi-Dynamic Leaching Test
3. Results and Discussion
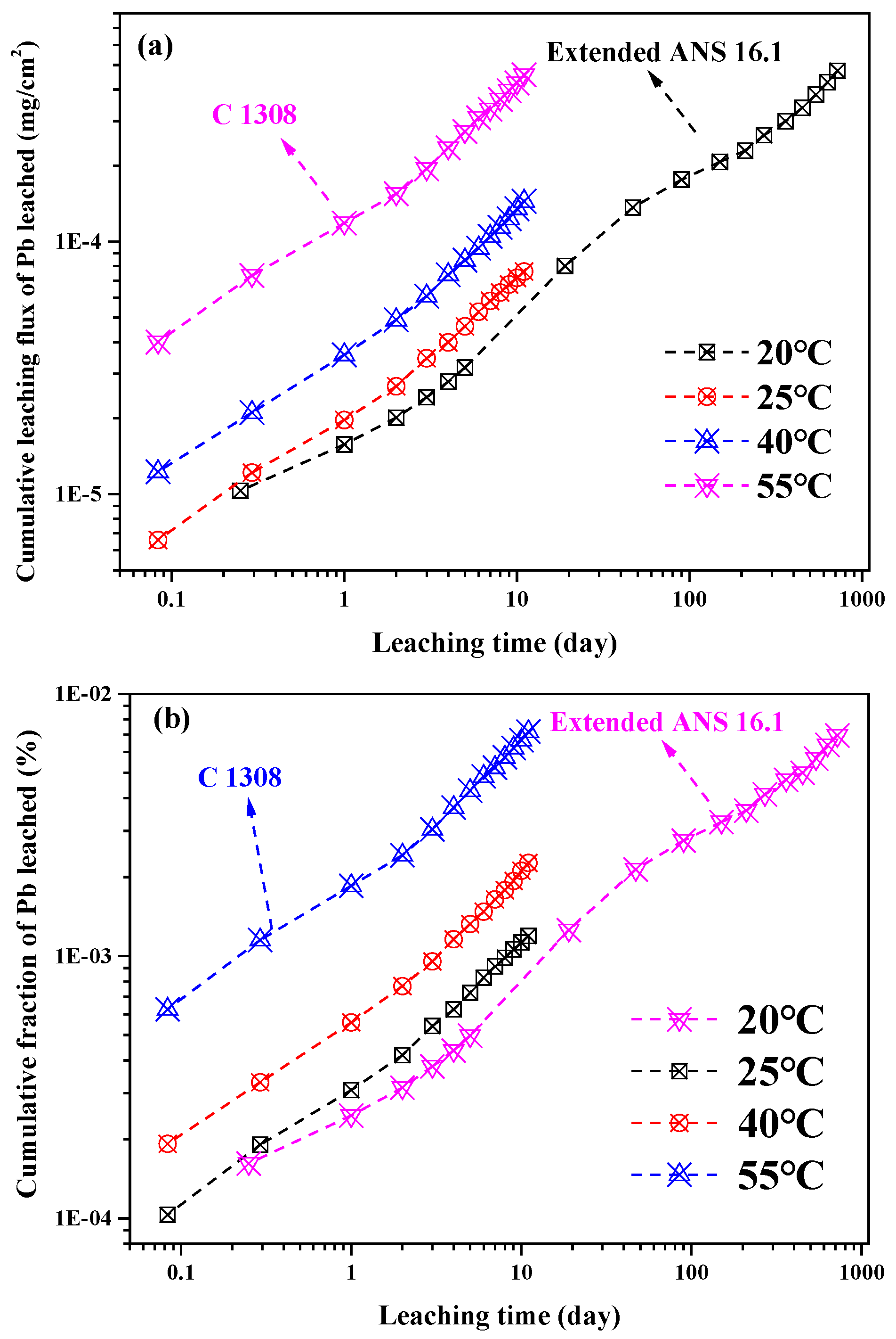
3.1. Effect of Temperature on Lead Ion Leaching
3.2. Mobility of Pb at Elevated Temperatures
3.3. Leaching Mechanism at Elevated Temperatures
3.4. Variation in De in Leaching Tests at Different Temperatures
4. Conclusions
Author Contributions
Funding
Institutional Review Board Statement
Informed Consent Statement
Data Availability Statement
Acknowledgments
Conflicts of Interest
References
- Yang, Q.Q.; Li, Z.Y.; Lu, X.N.; Duan, Q.N.; Huang, L.; Bi, J. A review of soil heavy metal pollution from industrial and agricultural regions in China: Pollution and risk assessment. Sci. Total. Environ. 2018, 642, 690–700. [Google Scholar] [CrossRef] [PubMed]
- Wang, P.; Chen, X.; Zeng, G.; Dong, Z.; Liu, S.; Zhang, X.; Wang, C. Long-term performance of cement-stabilized/solidified Pb-contaminated soil under simulated erosive environments. Water 2022, 14, 3314. [Google Scholar] [CrossRef]
- Shen, Z.; Jin, F.; O’Connor, D.; Hou, D.Y. Solidification/stabilization for soil remediation: An old technology with New Vitality. Environ. Sci. Technol. 2019, 53, 11615–11617. [Google Scholar] [CrossRef]
- Zhang, W.L.; Zhao, L.Y.; Yuan, Z.J.; Li, D.Q.; Morrison, L. Assessment of the long-term leaching characteristics of cement-slag stabilized/solidified contaminated sediment. Chemosphere 2020, 267, 128926. [Google Scholar] [CrossRef]
- Wuana, R.A.; Okieimen, F.E. Heavy Metals in Contaminated Soils: A Review of Sources, Chemistry, Risks and Best Available Strategies for Remediation. ISRN Ecol. 2011, 2011, 402647. [Google Scholar] [CrossRef]
- Conner, J.R.; Hoeffner, S.L. The history of stabilization/solidification technology. Crit. Rev. Environ. Sci. Technol. 1998, 28, 325–396. [Google Scholar] [CrossRef]
- Shen, Z.; Pan, S.Z.; Hou, D.Y.; O’Connor, D.; Jin, F.; Mo, L.W.; Xu, D.Y.; Zhang, Z.R.; Alessi, D.S. Temporal effect of MgO reactivity on the stabilization of lead contaminated soil. Environ. Int. 2019, 131, 104990. [Google Scholar] [CrossRef] [PubMed]
- Huang, X.; Xin, C.; Li, J.-S.; Wang, P.; Liao, S.; Poon, C.S.; Xue, Q. Using hazardous barium slag as a novel admixture for alkali activated slag cement. Cem. Concr. Compos. 2022, 125, 104332. [Google Scholar] [CrossRef]
- Zhang, W.J.; Lin, M.F. Influence of redox potential on leaching behavior of a solidified chromium contaminated soil. Sci. Total. Environ. 2020, 733, 139410. [Google Scholar] [CrossRef]
- Kogbara, R.B. A review of the mechanical and leaching performance of stabilized/solidified contaminated soils. Environ. Rev. 2014, 22, 66–86. [Google Scholar] [CrossRef]
- Wang, F.; Jin, F.; Shen, Z.T.; Al-Tabbaa, A. Three-year performance of in-situ mass stabilised contaminated site soils using MgO-bearing binders. J. Hazard. Mater. 2016, 318, 302–307. [Google Scholar] [CrossRef] [PubMed]
- Wang, P.; Xue, Q.; Li, J.S.; Zhang, T.T. Effects of pH on leaching behavior of compacted cement solidified/stabilized lead contaminated soil. Environ. Prog. Sustain. Energy 2016, 35, 149–155. [Google Scholar] [CrossRef]
- Xue, Q.; Wang, P.; Li, J.S.; Zhang, T.T.; Wang, S.Y. Investigation of the leaching behavior of lead in stabilized/solidified waste using a two-year semi-dynamic leaching test. Chemosphere 2017, 166, 1–7. [Google Scholar] [CrossRef] [PubMed]
- Du, Y.J.; Wei, M.L.; Reddy, K.R.; Liu, Z.P.; Jin, F. Effect of acid rain pH on leaching behavior of cement stabilized lead-contaminated soil. J. Hazard. Mater. 2014, 271, 131–140. [Google Scholar] [CrossRef] [PubMed]
- Chitambira, B.; Al-Tabbaa, A.; Perera, A.; Yu, X. The activation energy of stabilised/solidified contaminated soils. J. Hazard. Mater. 2007, 141, 422–429. [Google Scholar] [CrossRef] [PubMed]
- Wang, P.; Sun, Z.H.; Hu, Y.Y.; Cheng, H.F. Leaching of heavy metals from abandoned mine tailings brought by precipitation and the associated environmental impact. Sci. Total. Environ. 2019, 695, 133893. [Google Scholar] [CrossRef]
- Wei, M.L.; Li, Y.; Yu, B.W.; Liu, L.; Xue, Q.; Du, Y.J. Assessment of semi-dynamic leaching characteristics of lead and zinc from stabilized contaminated soil using sustainable phosphate-based binder after carbonation. J. Clean. Prod. 2022, 332, 130126. [Google Scholar] [CrossRef]
- Sur, I.M.; Micle, V.; Hegyi, A.; Lăzărescu, A.-V. Extraction of Metals from Polluted Soils by Bioleaching in Relation to Environmental Risk Assessment. Materials 2022, 15, 3973. [Google Scholar] [CrossRef]
- Damian, G.E.; Micle, V.; Sur, I.M. Mobilization of Cu and Pb from multi-metal contaminated soils by dissolved humic substances extracted from leonardite and factors affecting the process. J. Soils Sediments 2019, 19, 2869–2881. [Google Scholar] [CrossRef]
- Wang, G.R.; Liu, Y.Y.; Tong, L.L.; Jin, Z.N.; Chen, G.B.; Yang, H.Y. Effect of temperature on leaching behavior of copper minerals with different occurrence states in complex copper oxide ores. Trans. Nonferrous Met. Soc. China 2019, 29, 2192–2201. [Google Scholar] [CrossRef]
- Wu, C.B.; Li, B.S.; Yuan, C.F.; Ni, S.N.; Li, L.F. Recycling valuable metals from spent lithium-ion batteries by ammonium sulfite-reduction ammonia leaching. Waste Manag. 2019, 93, 153–161. [Google Scholar] [CrossRef] [PubMed]
- Wang, F.; Zhang, Y.H.; Shen, Z.T.; Pan, H.; Xu, J.; Al-Tabbaa, A. GMCs stabilized/solidified Pb/Zn contaminated soil under different curing temperature: Leachability and durability. Environ. Sci. Pollut. Res. Int. 2019, 26, 26963–26971. [Google Scholar] [CrossRef] [PubMed]
- Wang, F.; Shen, Z.T.; Liu, Y.Q.; Zhang, Y.H.; Xu, J.; Al-Tabbaa, A. GMCs stabilized/solidified Pb/Zn contaminated soil under different curing temperature: Physical and microstructural properties. Chemosphere 2020, 239, 124738. [Google Scholar] [CrossRef] [PubMed]
- Li, J.S.; Xue, Q.; Wang, P.; Li, Z.Z.; Liu, L. Effect of drying-wetting cycles on leaching behavior of cement solidified lead-contaminated soil. Chemosphere 2014, 117, 10–13. [Google Scholar] [CrossRef]
- ASTM C1308; Standard Test Method for Accelerated Leach Test for Diffusive Releases from Solidified Waste and a Computer Program to Model Diffusive, Fractional Leaching from Cylindrical Waste Forms. ASTM: West Conshohocken, PA, USA, 2008.
- Gao, W.; Ni, W.; Zhang, Y.Y.; Li, Y.Y.; Shi, T.Y.; Li, Z.F. Investigation into the semi-dynamic leaching characteristics of arsenic and antimony from solidified/stabilized tailings using metallurgical slag-based binders. J. Hazard. Mater. 2020, 381, 120992. [Google Scholar] [CrossRef] [PubMed]
- de Groot, G.; van der Sloot, H. Determination of leaching characteristics of waste materials leading to environmental product certification. In Stabilization and Solidification of Hazardous, Radioactive, and Mixed Wastes; ASTM International: West Conshohocken, PA, USA, 1992. [Google Scholar]
- Caviglia, C.; Destefanis, E.; Pastero, L.; Bernasconi, D.; Bonadiman, C.; Pavese, A. MSWI fly ash multiple washing: Kinetics of dissolution in water, as function of time, temperature and dilution. Minerals 2022, 12, 742. [Google Scholar] [CrossRef]
- Helser, J.; Vassilieva, E.; Cappuyns, V. Environmental and human health risk assessment of sulfidic mine waste: Bioaccessibility, leaching and mineralogy. J. Hazard. Mater. 2022, 424, 127313. [Google Scholar] [CrossRef]
- Rao, M.D.; Singh, K.K.; Morrison, C.A.; Love, J.B. Optimization of process parameters for the selective leaching of copper, nickel and isolation of gold from obsolete mobile phone PCBs. Clean. Eng. Technol. 2021, 4, 100180. [Google Scholar] [CrossRef]
- Yang, H.; Jiang, L.; Zhang, Y.; Pu, Q.; Xu, Y. Predicting the calcium leaching behavior of cement pastes in aggressive environments. Constr. Build. Mater. 2012, 29, 88–96. [Google Scholar] [CrossRef]
- Yang, H.; Jiang, L.; Zhang, Y.; Pu, Q.; Xu, Y. Concrete calcium leaching at variable temperature: Experimental data and numerical model inverse identification. Comput. Mater. Sci. 2010, 49, 35–45. [Google Scholar]





| Water Content | Natural Density | Specific Gravity | Void Ratio | Liquid Limit | Plastic Limit | Optimum Moisture Content | Grain-Size Distribution /% | Maximum Dry Density | ||
|---|---|---|---|---|---|---|---|---|---|---|
| Sand | Silt | Clay | ||||||||
| 20.78% | 1.89 g/cm3 | 2.72 | 0.74 | 41.6% | 21.8% | 19.5% | 3.45 | 62.27 | 34.28 | 1.72 g/cm3 |
| Slope k | Leaching Mechanism |
|---|---|
| k < 0.35 | Surface wash-off |
| 0.35 ≤ k ≤ 0.65 | Diffusion |
| k > 0.65 | Dissolution |
| Extended ANS 16.1 | C 1308 | ||||
|---|---|---|---|---|---|
| Time | 20 °C | Time | 25 °C | 40 °C | 55 °C |
| Day | De (cm2/s) | Day | De (cm2/s) | De (cm2/s) | De (cm2/s) |
| 0.25 | 5.90 × 10−17 | 0.083 | 7.20 × 10−17 | 2.50 × 10−16 | 2.66 × 10−15 |
| 1.00 | 1.62 × 10−17 | 0.29 | 6.84 × 10−17 | 1.69 × 10−16 | 2.45 × 10−15 |
| 2.00 | 1.52 × 10−17 | 1 | 3.66 × 10−17 | 1.39 × 10−16 | 1.32 × 10−15 |
| 3.00 | 2.33 × 10−17 | 2 | 4.05 × 10−17 | 1.44 × 10−16 | 1.06 × 10−15 |
| 4.00 | 2.56 × 10−17 | 3 | 8.30 × 10−17 | 1.93 × 10−16 | 2.14 × 10−15 |
| 5.00 | 3.69 × 10−17 | 4 | 5.60 × 10−17 | 3.29 × 10−16 | 3.23 × 10−15 |
| 19.00 | 7.19 × 10−17 | 5 | 9.81 × 10−17 | 2.78 × 10−16 | 3.53 × 10−15 |
| 47.00 | 7.07 × 10−17 | 6 | 1.32 × 10−16 | 2.85 × 10−16 | 4.05 × 10−15 |
| 90.00 | 3.11 × 10−17 | 7 | 1.08 × 10−16 | 4.17 × 10−16 | 2.18 × 10−15 |
| 150.00 | 1.74 × 10−17 | 8 | 8.74 × 10−17 | 3.27 × 10−16 | 4.18 × 10−15 |
| 210.00 | 1.32 × 10−17 | 9 | 1.08 × 10−16 | 4.22 × 10−16 | 4.53 × 10−15 |
| 270.00 | 4.48 × 10−17 | 10 | 9.23 × 10−17 | 7.16 × 10−16 | 4.13 × 10−15 |
| 360.00 | 2.76 × 10−17 | 11 | 1.07 × 10−16 | 5.33 × 10−16 | 6.37 × 10−15 |
| 450.00 | 4.18 × 10−17 | ||||
| 540.00 | 6.21 × 10−17 | ||||
| 630.00 | 8.41 × 10−17 | ||||
| 720.00 | 1.01 × 10−17 | ||||
| Mean De | 4.37 × 10−17 | 8.38 × 10−17 | 3.23 × 10−16 | 3.22 × 10−15 | |
| Standard deviations | 2.67 × 10−17 | 2.82 × 10−17 | 1.67 × 10−16 | 1.46 × 10−15 | |
Publisher’s Note: MDPI stays neutral with regard to jurisdictional claims in published maps and institutional affiliations. |
© 2022 by the authors. Licensee MDPI, Basel, Switzerland. This article is an open access article distributed under the terms and conditions of the Creative Commons Attribution (CC BY) license (https://creativecommons.org/licenses/by/4.0/).
Share and Cite
Wang, P.; Liu, X.; Zeng, G.; Ma, J.; Xia, F. Effects of Temperature on the Leaching Behavior of Pb from Cement Stabilization/Solidification-Treated Contaminated Soil. Separations 2022, 9, 402. https://doi.org/10.3390/separations9120402
Wang P, Liu X, Zeng G, Ma J, Xia F. Effects of Temperature on the Leaching Behavior of Pb from Cement Stabilization/Solidification-Treated Contaminated Soil. Separations. 2022; 9(12):402. https://doi.org/10.3390/separations9120402
Chicago/Turabian StyleWang, Ping, Xialin Liu, Gang Zeng, Jiangfeng Ma, and Feng Xia. 2022. "Effects of Temperature on the Leaching Behavior of Pb from Cement Stabilization/Solidification-Treated Contaminated Soil" Separations 9, no. 12: 402. https://doi.org/10.3390/separations9120402
APA StyleWang, P., Liu, X., Zeng, G., Ma, J., & Xia, F. (2022). Effects of Temperature on the Leaching Behavior of Pb from Cement Stabilization/Solidification-Treated Contaminated Soil. Separations, 9(12), 402. https://doi.org/10.3390/separations9120402

