Abstract
This review (4 tables, 88 references) describes current developments in the design and application of liquid chromatography electrochemical detection (LC ED) based approaches for the determination of drugs of abuse. Specific emphasis is placed on operating details and performance characteristics for selected applications. LC ED has been shown to be highly sensitive and specific as well being a more economic option. A wide range of abused substances have been determined using this approach, including: cannabinoids, ethanol, opiates, morphine, mushroom toxins, benzodiazepines and several legal highs. Reverse-phase liquid chromatography with either amperometric or coulometric determination has been the most commonly reported applications. However, coulometric arrays have been also reported. Detection limits in the ng/mL region have been reported for most target analytes.
1. Introduction
Drugs of abuse can be defined as drugs that are taken for nonmedicinal reasons (usually for mind-altering effects); which can lead to physical and mental damage and with some substances, dependence and addiction. The abuse of drugs is a significant public health problem affecting almost every community and family playing a role in a wide range of social problems, such as driving violations, violence, stress, child abuse and other crimes. The misuse of drugs can also result in homelessness, and employment problems. Nevertheless, controversially, a number of these same compounds have been the subject of recent studies [1,2,3,4] that have shown their potential therapeutic properties. As a result there is a pressing need for analytical techniques capable of determining these drugs and their metabolites in different sample matrices. The application of liquid chromatography with mass spectrometry [5,6,7,8] and gas chromatography [6,8] have been widely used and have been reviewed recently. The application of electrochemistry for the determination of morphine has been reviewed by Tagliaro et al. [9]; however, this present review represents the first on the liquid chromatographic electrochemical detection (LC ED) for the determination of drug of abuse.
2. Principles of Operation and Practical Considerations
More extensive and in-depth treatment of the fundamentals of LC ED can be found in a number of reviews and monographs [10,11,12,13,14,15]. A simple explanation of liquid chromatography with electrochemical detection would show that target analytes are separated chromatographically via their interactions with the stationary phase (column) and mobile phase. After separation, the compounds present within the mobile phase enter the electrochemical detector. A number of different electrochemical detector systems have been utilised; including conductivity, potentiometric, amperometry and coulometry. With amperometric or coulometric based detectors compounds are either oxidized or reduced, leading to the consumption (reduction) or liberation (oxidation) of electrons at the electrode interface. The current formed from this is linearly related to the concentration of the analyte and hence can be used for quantification. Two different modes of electrochemical detection are generally employed, either amperometry or coulometry. These differ in a number of ways, but essentially on the geometry of the working electrode and the way, and how much of the analyte interacts with the electrode: in amperometric detection analytes flow over the working electrode surface and in coulometric electrodes, analytes flow between surfaces of the working electrode leading to greater conversion efficiencies.
2.1. Thin Layer Cell Amperometric Detector
A number of different amperometric detectors have been described, but most commonly described are the wall jet and the thin layer cell. The thin layer cell (Figure 1A) is based on the design originally described by Kissinger et al. [16]. The design allows for a smooth flow of eluent over the electrode surface; limiting baseline noise facilitating better detection limits. The small cell size also allows for low dead volumes aiding in the overall chromatographic performance.
Figure 1.
Amperometric detector schematics: (A) channel; (B) wall-jet; (a) entrance; (b) exit; (c) working electrode; (d) spacer gasket; after Weber and Purdy [10].
2.2. Wall-Jet Amperometric Detector
Figure 1B shows the configuration of this amperometric detector. The wall-jet configuration employs a nozzle or jet through which solution flows. The stream or jet of this solution impinges perpendicularly onto the working electrode. Fleet and Little [17] reported on the advantages of the geometry. The cell design is reported less susceptible to fowling; presumably due to the cleansing action of the solution jet. More importantly, the design is purposed to also increase the amount of the analyte arriving at the working electrode surface. However, as the flow of the jet onto the electrode surface can cause some degree of turbulence possible increases in baseline noise can result.
2.3. Multi-Electrode Amperometric Detectors
It is possible to use more than one working electrode which can be arranged in a number of configurations; such as in series, parallel or opposing (Figure 2). Recently, the application of these multiple electrode detection has been reviewed by Honeychurch [18]. Using such approaches it is possible to obtain not just quantitative analytical data on concentration but also electrochemical confirmation of the eluting compound. Chao et al. [19] have described the application of parallel mode amperometric detection (Figure 2a). In this mode, two working electrodes are held at different potentials points along the hydrodynamic wave of the target analyte. The ratio of these currents can then be measured and used to confirm the identity and peak purity of the eluting compound. Further to this, it is possible to use the parallel detector in a different mode, to measure both oxidisable and reducible species simultaneously, by applying different potential to each electrode. Co-eluting compounds with different redox potentials can be determined by selecting the potential of one electrode so that only the more easily oxidised (or reduced) compound is detected, while at the other parallel electrode both compounds are electrochemically detected. The concentration of the second compound can hence be calculated by difference.
Figure 2.
Parallel and series configurations for amperometric dual electrode detection systems. W1 = working electrode 1; W2 = working electrode 2. (a) Parallel; (b) Series and (c) Parallel adjacent. Arrow indicates direction of flow.
Figure 2b shows the configuration of the amperometric series mode. This configuration uses the two working electrodes in the flow channel independently potentiostatically controlled. This can be compared to fluorescence detection with the product of the upstream electrode being detected at the downstream working electrode. When using amperometric cells such as the thin-layer cell (TLC) in the series mode only a small percentage of the compounds passing through the downstream generator cell will be electrochemically oxidised or reduced. The same is true for the second upstream amperometric electrode, which will in turn convert only a fraction of the products generated by the first electrode. Nevertheless, such an approach has been shown to be successful for the determination of a number of benzodiazepines [20,21] and nitro aromatic compounds [22].
The related parallel adjacent approach has been used by Evans [23] for the determination of several organic peroxides. The configuration of this detector allows for the cascade of reversible redox reactions in order to amplify the detector current. In this configuration, the working electrodes are on opposite sides of a very thin channel, with one electrode at an oxidative potential and one at a reducing potential. When the spacer is thick, then the two electrodes can act as independent parallel dual electrodes, but with a thin spacer products of one electrode can diffuse to other and vice versa. When the electrodes are sufficiently large, each analyte particle can pass through a number of oxidation-reduction cycles, so that the conversion efficiency of the cell can be much larger.
2.4. Pulse Amperometric Detection
Pulsed integrated amperometry (PIA) uses a multistep potential-time waveform that rapidly alternates between an amperometric detection mode with oxidative cleaning reductive reactivation potentials. It provides significant enhancement of sensitivity for compounds generally considered as non-electroactive for detection under constant applied potential and with poor optical properties for spectrophotometric detection (carbohydrates, amines, thiols) and macromolecules of biological importance (peptides, proteins). PIA is based on the capacity of Au to catalyse the oxidation of organic compounds [24]. The unsaturated d-electron orbitals present in the Au can bind and stabilise free-radical intermediates generated during electrochemical oxidation, promoting electron transfer from the oxidised analyte to the Au surface [25] hence allowing for the quantification of the target analyte. This approach can lead to the accumulation of oxidation products at the gold surface and the eventually fouling and leading to the loss sensitivity. To overcome this, potential is step to a positive potential for a short limited time to desorb the surface contaminants via the formation of Au oxides [26]. The potential is then stepped to a third, negative value to reduce the Au oxides formed, regenerating the original clean Au surface. Such multi-step waveforms are repeated continuously through the duration of the analysis. For measurement of amino acids and amino sugars, a different series of steps is used to maintain slightly higher potentials during detection such that the Au surface is maintained in an oxide state [25]. For the determination of saccharides, liquid chromatography with-PIA detection is reported to be two orders of magnitude more sensitive than LC with refractive index detection [27].
2.5. Coulometric Detectors
A number of different coulometric detector designs have been developed, with the majority of reported applications utilizing the commercially available Coulochem detector. A simplified cross section of this is shown in Figure 3. These utilise flow-through porous carbon electrodes with high surface areas reducing diffusion distances giving close to 100% conversion efficiency (coulometric). These high conversion rates of the analyte passing through them as predicated by Faraday’s Law can result in high sensitivity. However, the larger currents generated do not necessarily lead to improvements in signal-to-noise ratios or to detection limits due to the concomitant increase in noise. Nevertheless, these high coulometric efficiencies offer a number of other potential advantages when two or more of these electrodes are used in the series after the liquid chromatographic column. When two or more electrodes are arranged in series these can be applied in what is commonly referred to as the screening mode. Compounds eluting from the analytical column entry the first upstream electrode cell which is held at a potential high enough to oxidise or reduce, and hence remove some of the possible interfering compounds. By careful selection of the potential of this first screening electrode, the target analytes can pass through unaltered, and can be measured at the downstream detector electrode, but now in the absence of a number of the potential interferences originally present in the sample. A variation of this concept has led to the development of detectors consisting of up to sixteen coulometric detectors in series, to form a coulometric array; the application of which has been extensively reviewed [28,29,30,31]. A further alternative method is what has been termed the generator/detector mode. Here the first upstream working electrode can be used as a generator, with the second working electrode, as the detector. The generator electrode can be used to form an electrochemical active product, which can then be measured at the second downstream detector electrode giving the advantage of it being much more easily oxidized or reduced than the parent compound. Other possible interferences present in the sample extract will be irreversibly reduced or oxidized by the downstream generator electrode, similar to the screening mode, and will not be seen at the upstream detector. Due to the lower potentials now required at the detector a number of other advantages are gained, such lower background currents and less potential interferences.
Figure 3.
Cross section through a dual coulometric electrode showing the placement of working, counter and palladium-hydrogen reference electrodes, after Honeychurch [18].
3. Applications
3.1. Cannabinoids
A number of different chromatographic approaches have been employed for the determination of cannabis and its constituent cannabinoids and have been reviewed [32]. HPLC-UV procedures are widely used for the analyses of the cannabinoids utilising wavelengths between 215 and 280 nm. However, the sensitivity of the electrochemical detector has been shown to be over 400 times greater than that obtained by UV at 220 nm [33]. Around 70 different cannabinoid compounds are reported present in herbal cannabis [34], however, Δ9-Tetrahydrocannabinol (I) (THC) is the major psychoactive component and methods for its determination are consequently more commonly reported. Nyoni et al. [35] have developed a LC ED based method to assist in investigating the biochemical mechanism(s) of THC (I) in brain tissue. The method employed solvent extraction with methanol-hexane-ethyl acetate, followed by analysis using LC ED. Overall recoveries were reported to be greater than 80%.
Bourquin and Brenneisen [36] utilised reverse phase LC ED for the determination of the major metabolite of THC, 11-nor-Δ9-tetrahydrocannabinol-9-carboxylic acid (II) (THC–COOH) in urine. Separation was achieved using a mobile phase of methanol-5% aqueous acetic acid (76:24) at a flow-rate of 1.5 mL/min. The detector was operated in the amperometric mode, at an applied potential of +1.2 V (vs. Ag/AgCl). A 10 mL aliquot of human urine was fortified with internal standard (cannabinol) and hydrolysed with KOH by heating to convert the excreted glucuronide conjugates to free, unconjugated THC–COOH (II). The sample pH was then adjusted to pH 5–6 and the internal standard and THC–COOH (II) isolated by solid phase extraction (SPE) [37]. Both THC–COOH (II) and the internal standard were reported to have the same recovery of 90% ± 5%. The limit of detection for THC–COOH (II) was 5 ng/mL of urine based on a signal-to-noise-ratio of 5:1. The standard calibration curve was obtained by using blank urine spiked with 25–300 ng/mL THC–COOH (II) and 90 ng/mL internal standard.
Further investigations [38] into the simultaneous determination of THC and the further metabolites THC–COOH and 11-hydroxy-Δ9-tetrahydrocannabinol (III) (11-OH THC) in urine and plasma by LC ED have been reported. Biological fluids were first hydrolysed by heating in base and then acidified and extracted with a previously described automatic extractor [39] and determined by LC ED with amperometric determination at +1.1 V. Liquid chromatography was carried out with a reversed-phase silica C8 column and a mobile phase of acetonitrile/methanol/0.02 N H2SO4 (35:15:50) at a flow rate of 1.8 mL/min. A detection limit of under 0.5 ng/mL (S/N > 3) with a linear range of 10–500 ng/mL was reported. Using this approach it was found possible to detect THC–COOH (II) in rabbit urine up to 216 h after administration. Investigations were also made on samples of human urine obtained from 23 men arrested on the suspicion of smoking marijuana and results showed good agreement with those obtained by GC/MS [40].
THC has also been determined in human urine using a novel brominated 9-carboxy-11–nor-Δ9-tetrahydrocannabinol as an internal standard [41]. Amperometric determination was undertaken at +0.85 V (vs. Ag/AgCl) using gradient elution. Problems generally exist with the application of gradient elution when used in conjugation with LC ED. Electrochemical detector background current is a function of organic solvent composition and ionic strength. Consequently, the application of solvent gradient will result in a continually changing background current. However, the authors showed that this can be minimized by making the ionic strengths of the two components of the mobile phase identical. Using this approach the authors reported only a small shift in the baseline of around 1 to 2 nA. After addition of internal standard samples of human urine were adjusted to be between pH 4.5 and pH 6.5 and isolated by SPE. No interferences were reported for 22 drugs and metabolites. A pooled relative standard deviation of 4.1% (n = 27) was obtained for the quality control samples and the method showed good agreement with results obtained by gas chromatography/mass spectrometry.
Nakahara and Tanaka [42] have develop a chemotaxonomical based LC ED method for the discrimination of confiscated cannabis samples. Eleven different samples were investigated and on the basis of their liquid chromatographic cannabinoid profiles. They demonstrated the possibility of distinguishing cannabis products grown in three districts of Japan, Colombia, The Philippines and Nepal. The stability of cannabinoids in cannabis products was also examined at room temperature, 4 °C and −20 °C. After 16 months, it was found that 90% of original THC (I) remained at −20 °C, 50% and 28% of original THC (I) had decomposed at room temperature and 4 °C, respectively. Almost all of the decomposed THC (I) had changed to cannabinol by air oxidation.
Nakahara and Sekine [42] have used LC ED for the determination of free cannabinoids and cannabinoic acids obtained from marijuana cigarettes and in tar and ash obtained by using an automatic smoking machine. Separation was achieved using reverse phase chromatography with mobile phase of 0.02 N H2SO4, methanol acetonitrile (6:7:16) at a flow rate of 1.1 mL/min. Amperometric detection was undertaken using an applied potential of +1.2 V (vs. Ag/AgCl) and a liner range of 5 to 500 ng/injection was reported with detection limits of 0.5 to 0.9 ng/injection for free cannabinoids and 1.2 to 2.5 ng/injection for cannabinoic acids (S/N > 4). THC (I) and several related cannabinoids: cannabidiol (IV), cannabinol (V), cannabichromene (VI) and their acid derivatives could be resolved using the chromatographic conditions described.
In its pure synthetic form THC has been developed as the drug dronabinol, which has been used for its anti-emetic and orexigenic effects in cancer patients receiving chemotherapy. Kokubun et al. [43] have developed a LC ED amperometric method to investigate the pharmacokinetics of dronabinol in cancer patients and its quantitation in blood. Reverse phase chromatography was undertaken using and a mobile phase of 50 mM KH2PO4/CH3CN (9:16). Detection was undertaken using an applied potential of +0.40 V. The calibration curve was linear in the range of 10 ng/mL to 100 ng/mL. The lower limit of quantification was 0.5 ng/mL (S/N = 3). The relative within-runs and between-runs standard deviations for the assay were less than 4.7%. Table 1 gives a summary of the LC ED approaches reported for the determination of cannabinoid compounds.
Table 1.
Liquid chromatography electrochemical determination of cannabinoids.
3.2. Ethanol
The determination of the degree of alcohol consumption is an important parameter commonly studied in forensic investigations. In post-mortem investigations, the presence of ethanol can be a result of either consumption prior to death, or due to fermentation as part of the decomposition process. To be able to differentiate between the two possibilities, a common approach is to monitor the biological metabolites for ethanol generated before death, such as ethyl glucuronide (VII) (EtG). However, alkyl-glucuronides such as EtG only adsorb at low UV wavelengths, and hence have little analytical utility. In light of this a method for the determination of EtG has been recently developed [44] using reversed-phase liquid chromatography coupled with pulsed electrochemical detection (PED) [45]. EtG was quantified using methyl glucuronide as an internal standard, and was separated using a mobile phase consisting of 1% acetic acid/acetonitrile (98/2, v/v). Post-column addition of NaOH (600 mM) at 0.5 mL/min allowed for the detection of all glucuronides using PED at a gold working electrode vs. Ag/AgCl. A limit of detection of 0.03 µg/mL for a 50 µL injection volume was reported with a coefficient of variation of 1.7% at the limit of quantitation. Sample clean-up and isolation was achieved via SPE using an aminopropyl phase cartridge, gaining a recovery of approximately 50% ± 2%. Investigation of 29 post-mortem urine specimens were undertaken, and results were found to agreed strongly with certified determinations.
3.3. Alkaloids
Previously, Tagliaro et al. [9] have reviewed the LC ED applications for the determination of morphine. Schwartz and David [46] have explored the liquid chromatography electrochemical determination of morphine (VIII), heroin (IX), codeine (X), thebaine (XI), narcotine (XII), papaverine (XIII) and cocaine (XIV). Compounds were determined by reverse phase chromatography using an acetonitrile phosphate or acetate buffer based mobile phase with amperometric detection undertaken at +1.2 V. The mechanism for electrochemical oxidation of amines is known to involve the lone pair of electrons on the nitrogen atom [47,48,49,50,51] the pH consequently should be high enough to maintain these compounds in their basic form. In aqueous solutions this would require a pH 10 or above. However, under the chromatographic conditions employed the authors were able to gain good sensitivity using lower pH values in the 6–8 range. The authors concluded that in the presence of the mobile phase organic modifier the tertiary nitrogen atom remains in its basic un-protonated form at pH values lower than that when strictly aqueous media are used. This enhancement of basicity was concluded to result from the organic solvent present in the mobile phase. Limits of detection were determined to be 0.3 ng for morphine, 1 ng for heroin, and 2 ng for cocaine.
Sawyer et al. [52] have developed a method for the determination of, morphine (VIII), heroin (IX) and hydromorphone (XV) from post-mortem tissues. Post-mortem samples of whole blood, urine, or vitreous humour were assayed without pre-treatment. It was reported necessary to preserved samples with buffered sodium fluoride/sodium azide to prevent changes in the levels of heroin (IX) and morphine (VIII). One-hundred µL sample aliquots were taken and the internal standard, nalorphine, and ammonium chloride/ammonium hydroxide buffer added. These were then extracted with 5 mL of dichloromethane:isopropanol (96:4 v/v). Following centrifugation the organic phase was extracted with pH 3 phosphate-citrate buffer and the solvent discarded. The resulting aqueous layer was then extracted with pH 8.50 buffer and dichloromethane:isopropanol (96:4 v/v). The organic was then taken and evaporated to dryness under nitrogen and reconstituted in mobile phase and examined by LC ED. A single-step extraction procedure was also developed using a 99.5:0.5 dichloromethane isopropanol solution. However, due to interferences from endogenous metabolites in urine or other commonly encountered drugs was not recommended.
Hydrodynamic voltammetry was employed to explore the electrochemical behaviour of the three target analytes under reverse phase chromatographic conditions using a mobile phase of 32% methanol, 68% 148 mM pH 7.30 phosphate buffer at a flow rate of 1.0 mL/min. An applied potential of +0.5 V was reported to be the optimum applied potential for use with a Bioanalytical Systems, Inc. (BAS, West Lafayette, IN, USA) LC-3 single cell amperometric detector. Linear responses were recorded from 10 to 500 ng/mL morphine (VIII), 62 to 1000 ng/mL hydromorphone (XV), and 250 to 2000 ng/mL for heroin (IX). Limits of detection for extracted sample were 0.5 ng/mL morphine (VIII), 3.1 ng/mL hydromorphone (XV), and 12.5 ng/mL heroin (IX). Average extraction recovery percentages were 70% morphine (VIII), 57% hydromorphone (XV), 55% heroin (IX), and 78% nalorphine (XVI). Forty-five other drugs were investigated as possible interferences. Out of theses only acetaminophen, aminopyrine, cyanide, disopyramide, ketamine and nalorphine were found to give chromatographic peaks, but were reported not to interfere. Material from six human post-mortem cases of suspected heroin related death were examined and the concentrations of heroin (IX) and morphine (VIII) determined in both blood and urine showed good agreement with those obtained by radioimmunoassay.
Zaromb et al. [53] have investigated the determination of airborne cocaine (XIV) and heroin (IX) using high-throughput liquid adsorption pre-concentration. Air was sampled at a rate over the range 550–700 L/min with a preferred ranged of 620–680 L/min. Detection limits of ca. 1:1013 (v/v) of the drugs were achieved. LC ED was undertaken using a mobile phase of potassium phosphate buffer (pH 7–7.4, 0.02 M)-acetonitrile (40:60, v/v) at a flow rate of 1.0 mL/min, at C18 stationary phase. Amperometric detection was undertaken at a glassy carbon electrode at an applied potential of +1.0 V (vs. Ag/AgCl).
Buprenorphine (XVII), naloxone (XVIII) (Suboxone®) and methadone (XIX) are commonly used for the treatment of opioid addiction. Somaini et al. [54] have reported a LC ED coulometric based method for their determination in human blood plasma utilising levosulpiride as an internal standard. Chromatographic separation was achieved using a mobile phase of 40:60, v/v acetonitrile-2.5 mM pH 6.4 phosphate buffer at a flow rate of 0.6 mL/min with a cyano 250 mm × 3.0 mm, 5 µm column. Dual electrode detection was undertaken with the conditioning cell set at +0.05 V; the upstream screening cell set at −0.20 V and the detector electrode at +0.60 V. A rapid clean-up procedure of the biological samples using a microextraction by packed sorbent technique was also reported, employing C8 sorbent inserted into a syringe needle. Calibration curves were reported to be linear over a range of 0.25–20.0 ng/mL for buprenorphine (XVII) and norbuprenorphine (XX), 3.0–1000.0 ng/mL for methadone (XIX) and 0.13–10.0 ng/mL for naloxone with detection limits of 0.08 ng/mL for both buprenorphine (XVII) and norbuprenorphine (XX), 0.9 ng/mL for methadone (XIX) and 0.04 ng/mL for naloxone (XVIII). The method was successfully applied to plasma samples obtained from former heroin addicts treated with opioid replacement therapy.
Dental cottons and cigarette filters are often used to filter dissolved or “cooked” drug solutions. The solution is drawn into the syringe through the improvised filter prior to injection. Since drug filtering with these cottons is prevalent and part of the drug paraphernalia used by intravenous drug users (IDUs) in their injection ritual, they represent an ideal source for obtaining samples for analysis. Huettl et al. have reported a high performance liquid chromatography electrochemical array detection (HPLC-EA) [55] method for the determination of heroin (IX), morphine (VIII), codeine (X) and cocaine (XIV) contained in these drug cottons. Two different extraction methods were investigated, using either water or ethyl acetate to extract the drugs from the cotton filters. Following a 10 min incubated at room temperature with the selected solvent, the samples were centrifuged and the supernatant taken and either blown down to dryness in the case of ethyl acetate or in the case of water, diluted in mobile phase and filtered before examination by HPLC-EA. Due to the heterogeneous nature of the drug cotton samples standard addition was employed to verify the retention time of the target analytes heroin (IX), morphine (VIII), codeine (X) and cocaine (XIV). Separation and analysis of the extracts were carried out using a CoulArray gradient HPLC coupled to a twelve coulometric electrochemical array detector arranged in series after the analytical column. The potentials of each of the electrodes in the array was set at increasing potentials of (1) 300 mV; (2) 350 mV; (3) 400 mV; (4) 450 mV; (5) 500 mV; (6) 550 mV; (7) 600 mV; (8) 650 mV; (9) 700 mV; (10) 750 mV; (11) 850 mV and (12) 950 mV. Sample separation was accomplished using an end-capped cyano (100 mm × 4.6 mm, 5 µm, CPS-2 Hypersil) column (Thermo Scientific, Waltham, MA, USA) with gradient elution. Initial conditions of 95% (A) 30 mM dibasic sodium phosphate, pH 2.95, 5% (B) 30 mM dibasic sodium phosphate, 30% ethanol, pH 2.95 at a flow rate of 1 mL/min for 5 min. The concentration of component (B) was then ramped to 80% over a period of 30 min. Detection limits of the HPLC-EA system were reported as: 4 pg/µL for morphine (VIII), 24 pg/µL for codeine (X), 444 pg/µL, heroin (IX) and 576 pg/µL for cocaine (XIV). The authors reported that it would be possible by using a slightly modified method to determine lysergic acid diethylamide (XXI) (LSD) and the THC metabolites: 11-hydroxy-Δ9-tetrahydrocannabinol (11-OH-Δ9-THC) and 11-nor-Δ9-tetrahydrocannabinol-9-carboxylic acid (11-nor-Δ9-THC-9-COOH). Investigations were also made into the possibility to associate a particular chromatographic profile with different cuts of injectable drugs. Drug cottons were obtained from different areas of Denver, USA to investigate this possibility using the output of channel 12 (950 mV) of the HPLC-EA. The possibility of developing a database based on these results was reported.
Using liquid chromatography dual electrode detection (LC-DED) in conjunction with UV detection Ary and Róna [56] have reported on the determination of morphine (VIII) (7,8-didehydro-4,5-epoxy-17-methylmorphinan-3,6-diol) and its glucuronides; morphine-3-glucuronide, morphine-6-glucuronide. Morphine (VIII) and its glucuronides were extracted from human plasma using Bond-Elut C18 (1 mL) SPE cartridges. Average extraction efficiencies of morphine (VIII), morphine-3-glucronitide and morphine-6-glucronitide were 95.4%, 96.1% and 96.8%, respectively. Separations were achieved using a Supelcosi LC-8DB reverse phase column (Sigma-Aldrich, St. Louis, MO, USA) with a mobile phase of 0.1 M KH2PO4 (pH 2.5)-acetonitrile-methanol (94:5:1 v/v/v), containing 4 mM pentasulphonic acid as the mobile phase. The coulometric detection system was reported to give a detection limit of 0.5 ng/mL for morphine twenty times lower than that obtainable by UV at 201 nm under the same LC conditions. The limit of quantitation of morphine by LC-DED was reported to be 1 ng/mL, compared to 10 ng/mL by UV detection. However, UV detection proved to be superior for the detection of the glucuronide metabolites. The response for morphine by LC-DED was found to linear over the range 1–30 ng/mL with morphine-3-glucronitide from 50 to 2000 ng/mL and morphine-6-glucronitide 15–1000 ng/mL.
Rashid et al. [57] have developed an immuno-solid-phase extraction method followed by reverse-phase LC ED for the determination of morphine in urine. The polyclonal antibody solid-phase extraction columns were fabricated from aldehyde-activated silica modified with polyclonal antibodies raised in sheep in response to an N-succinyl-normorphine-bovine serum albumin conjugate. Urine was diluted ten times with phosphate-buffered saline, pH 7.4 (PBS), loaded onto these solid-phase immunoextraction columns and washed with PBS and before then being eluted with 40% ethanol in PBS, pH 4. The eluted fraction was then analysed by LC ED using a cyanopropyl analytical column with a mobile phase of 25% acetonitrile in phosphate buffer–sodium lauryl sulphate at pH 2.4 with a flow rate of 1 mL/min. Electrochemical detection of morphine was performed with a Coulochem ESA model 5100A set at a potential of +0.45 V. Calibration curves were reported to be linear from 100 ng/mL to 500 ng/mL in urine. The inter-assay relative standard deviation was 10% with a corresponding recovery of 98%. Minimal binding with other opiate metabolites such as codeine (X), normorphine, norcodeine, morphine-3-glucuronide and morphine-6-glucuronide was reported.
Xu et al. [58] have modified a glassy carbon electrode (GCE) with cobalt hexacyanoferrate for the liquid chromatographic amperometric determination of morphine (VIII) in rat brain microdialysates. The electrode was modified electrochemically by voltammetric cycling from 0.0 V to +1.0 V at 100 mV/s in a solution containing 0.5 mM K3Fe(CN)6 and 1.0 mM CoCl2 in 0.5 M KCl. The electrochemical properties of the cobalt hexacyanoferrate film modified GCE were investigated by cyclic voltammetry using 0.1 M phosphate buffered saline (pH 4.5) as the supporting electrolyte. At the unmodified GCE no voltammetric responses were recorded. At the cobalt hexacyanoferrate modified GCE a number of voltammetric responses were recorded, concluded to arise from the redox behaviour of Fe2+/Fe3+ couple. However, in the presence of 2.0 × 10−4 M morphine (VIII) at the cobalt hexacyanoferrate modified GCE a further large oxidation peak was observed. The voltammetric peak potential for this response was reported to have move to a more negative potentials compared to the direct oxidation of morphine at the unmodified bare GCE. This was concluded to result from the electrocatalytic behaviour of the cobalt hexacyanoferrate. LC ED investigations also showed that the peak current magnitude at the modified cobalt hexacyanoferrate GCE was larger than that recorded at the bare GCE, 66 nA compared to 15 nA for a 2.5 × 10−5 M morphine (VIII) standard. Liquid chromatographic separation was undertaken using a mobile phase of 10:90 (v/v) methanol-0.1 M phosphate-buffered saline (PBS, pH 4.5) which contained 1.0 × 10−4 M Na2EDTA at a flow rate of 1.0 mL/min with an injection volume was 25 µL. The stationary phase was a HP Hypersil column (5 mm, 200 × 4.6 mm) (Thermo Scientific, Waltham, MA, USA). Amperometric detection of morphine (VIII) was performed at a potential of +0.60 V (vs. Ag/AgCl). A linear response for morphine was reported over the concentration range 1.0 × 10−6 M to 5.0 × 10−4 M (R2 > 0.990) with a corresponding detection limit of 5.0 × 10−7 M (S/N of 3). The morphine (VIII) concentration in the brain dialysis samples collected from anesthetized male (Sprague-Dawley) rats (250–300 g) sampled at different time intervals after morphine (VIII) was administered intravenously (25 mg/kg). The relative recoveries of morphine (VIII) at the perfusion rates of 12.0, 9.0, 6.0, 3.6, 3.0, 2.4, 1.5 mL/min were investigated and a perfusion rate of 3.6 mL/min was considered optimum. Morphine (VIII) could be readily detected in brain dialysate and no interferences were recorded at or around the retention time of morphine (VIII) (4.60 min).
A number of studies have utilised LC ED for the investigation of the pharmacokinetics of morphine in dogs [59,60,61]. Most recently Aragon et al. [61] have investigated the pharmacokinetics of a human oral morphine formulations consisting of both immediate and extended release components in adult Labrador Retrievers dogs. In their randomized design, 14 dogs were administered either 1 or 2 mg/kg morphine orally. Plasma samples were collected up to 24 h after drug administration and extracted by SPE. Concentrations of morphine (VIII) were determined by reverse-phase LC ED with gradient elution. The mobile phase consisted of 95% 0.01 M acetate buffer with 0.1% triethylamine and 5% acetonitrile with the pH adjusted to 4.5 with glacial acetic acid. The mobile phase gradient elution program consisted of 100% of this mobile phase mixture for 8 min, 85% mobile phase with 15% acetonitrile for 8–11 min and 100% mobile phase for 11–14 min. Separation was achieved with a 4.6 × 150 mm and 5 µm particle size column maintained at 40 °C. Dual electrode coulometric detection was undertaken using a guard cell +750 mV; electrode 1 +300 mV; electrode 2 +450 mV, with electrode 2 used for quantification. The retention times for morphine and morpine-6-glucronide were 7.5 and 5.5 min with limits of quantification of 7.8 ng/mL and 4 ng/mL respectively. Table 2 summaries reported LC ED application for the determination of alkaloids.
Table 2.
Liquid chromatography electrochemical determination of alkaloids.
Fisher et al. [62] have compared the serum concentrations of morphine after administration of a buccal tablet (25 mg) with those obtained after intramuscular injection (10 mg). Buccal morphine was administered to eleven healthy volunteers and intramuscular morphine was given to five preoperative surgical patients. Serum morphine concentrations were assayed by LC DED in samples taken up to 8 h after drug administration. Electrochemical detection was carried out using a 5100A Coulochem detector fitted with a 5100 detector cell (ESA). The potential of electrode 1 was maintained at +0.25 V and electrode 2 at +0.40 V. The lower limit of detection was reported to be 0.8 ng/mL morphine base. Morphine (VIII) analysis was carried out using the extraction and chromatographic procedure described by Todd et al. [63]. Mean maximum morphine concentrations were eight times lower after buccal administration than after intramuscular injection and occurred at a mean of 4 h later. Individual morphine concentration-time profiles showed marked inter individual variability after administration of the buccal tablet, consistent with considerable variation in tablet persistence time on the buccal mucosa.
Jordan and Hart [64] have investigated the determination of morphine (VIII) by liquid chromatography with amperometric determination at a GCE. Using cyclic voltammetry they showed that pH 11.0 was optimum for the electrochemical determination of morphine (VIII). Further investigations showed that a mobile phase of 50 mM pH 11.0 phosphate buffer of containing 20% v/v of acetonitrile was found optimum. Hydrodynamic voltammetric investigations over the range +0.15 to +1.10 V identified three distinct waves can be seen at +0.45 V, +0.8 V and a third at +1.0 V. Using an applied potential of +0.45 V with hydromorphone (XXII) as an internal standard, a linear response was observed from 1.2 × 10−12 to 4 × 10−10 M of morphine injected. At the applied potential of +0.45 V (vs. Ag/AgCl) and for a signal-to-noise ratio of 3:1, the detection limit was found to be 1.24 × 10−13 M of morphine injected.
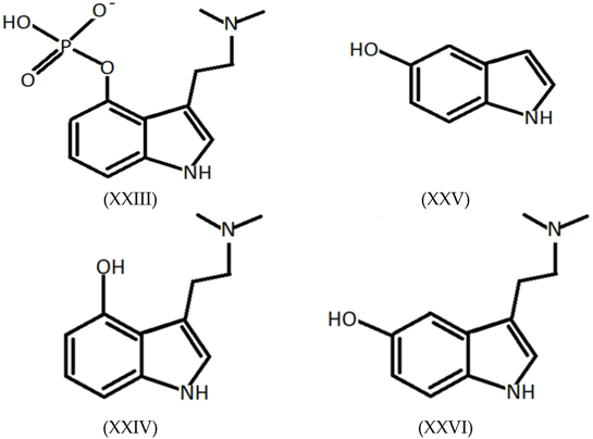
The hallucinogen psilocybin (XXIII) is one of the main psychoactive compounds found in Psilocybe mushrooms. Psilocin (XXIV) is readily transformed to the phenolic compound psilocybin in the gut as a result of dephosphorylation by alkaline phosphatase and is thus the substance responsible for the reported psychedelic effects. Both psilocybin (XXIII) and psilocin (XXIV) are listed as Class A (United Kingdom) or Schedule I (US) drugs under the United Nations 1971 Convention on Psychotropic Substances. Interestingly, more recently, psilocin (XXIV) has been shown to have some promise as a therapeutic agent in the treatment of conditions cluster headaches [3]. Lindenblatt et al. [66] have used LC ED to determine levels of psilocin (XXIV) in plasma samples obtained from both pooled human blood bank plasma and plasma obtained from seven volunteers (self-experimenting physicians) taking oral doses of 0.2 mg psilocybin per kg body weight (maximum 15 mg per person) in a placebo-controlled drug trial. Both liquid-liquid and automated SPE procedures were explored for the isolation of psilocin (XXIV). The determination of psilocin (XXIV) obtained from liquid-liquid extracted samples was undertaken using reverse phase chromatography with a 250 × 4.0 mm C18 column and a mobile phase of 0.1 M sodium acetate, 0.1 M, citric acid, 0.03 mM Na2EDTA pH 4.1–acetonitrile (83:17 v/v, 0.7 mL/min) with electrochemical detection at +0.650 V using 5-hydroxyindole (XXV) as an internal standard. SPE extracts were determined using again, reverse phase chromatography but, with a mobile phase of 150 mM pH 2.3 potassium dihydrogen phosphate buffer–acetonitrile (94.5:5.5 v/v, 0.6 mL/min) with 160 mM Na2EDTA in the buffer–acetonitrile mixture. The potential of the electrochemical detector was set at +0.675 V with quantification carry out using bufotenine (XXVI) as an internal standard. The limit of quantitation for both methods was 10 ng/mL psilocin (XXIV). However, on-line SPE showed better recoveries and selectivity and reportedly required less manual effort and smaller plasma volumes of 400 µL, compared to 2 mL for liquid-liquid extraction.
A liquid chromatographic procedure based on column-switching with electrochemical detection has been developed for the determination of psilocin (XXIV) and the metabolite 4-hydroxyindole-3-acetic acid (XXVII) (4HIAA) in human plasma [67]. Plasma was extracted from blood samples by centrifugation. Ascorbic acid was then added to protect the phenol compounds against degradation and the samples freeze-dried. The resulting residues were then re-constituted in water and the psilocin and 4HIAA (XXVII) extracted by microdialysis (mean recovery: psilocin 15.1% ± 0.85%; 4HIAA 11.0% ± 1.10%).
In order to avoid excess interfering plasma compounds such as ascorbic acid reaching the detector cell a column-switching step was employed. This was achieved by connecting the outlet of the injection valve was connected to a 5 cm Spherisorb RP-8 HPLC column allowing for pre-separation of the injected sample dialysate. The outlet of this pre-column was connected to the inlet of a second six-port Rheodyne valve; the flow of the eluate could be directed either to the waste or to the 15 cm Spherisorb RP-8 HPLC analytical column. The mobile phase consisted of 47% (v/v) water containing 0.3 M ammonium acetate buffered to pH 8.3 by addition of ammonia solution 25% and 53% (v/v) of methanol with a flow rate of 450 µL/min. Limits of quantification of 0.8 ng/mL and 5.0 ng/mL for psilocin (XXIV) and 4HIAA (XXVII) were reported respectively. The authors noted that optimised liquid chromatography UV detection of psilocin (XXIV) resulted in a limit of quantitation of approximately 10 ng/mL; allowing for measurement of only peak plasma concentrations. Similarly, GC/MS was reported to show insufficient sensitivity with the additional disadvantage of requiring a derivatising step.
3.4. Benzodiazepines
The LC ED determination of benzodiazepines has recently been review [68] and has been shown to be a highly sensitive and selective approach. A number of further investigations have been reported since this review in 2014. By using an in series-liquid chromatography dual electrode detection in the redox mode, it is possible to electrochemically reduce aromatic nitro substituted benzodiazepines to their corresponding hydroxylamine at the first “generator” electrode (Equation (1)).
Ar–NO2 + 4e− + 4H+ → Ar–NHOH + H2O
This species can then be readily measured at the subsequent downstream “detector” electrode via oxidation to the nitroso (Equation (2)).
Ar–NHOH → Ar–N=O + 2e− + 2H+
This is attractive analytically; as this latter species can be measured at potentials close to that of 0 V, away from many possible interfering compounds. This approach has been used for the determination of nitro aromatic drug, nitrazepam (XXVIII) in bovine and human serum [20].
Recently, Rohypnol (XXIX) (flunitrazepam) has been successfully determined in white “cappuccino” style coffee by LC-DED by a novel dual reductive mode approach [20]. Studies were performed to optimise the chromatographic conditions and were reported to be 50% acetonitrile, 50% 50 mM pH 2.0 phosphate buffer at a flow rate of 0.75 mL/min, employing a Hypersil C18, 5 mm, 250 mm × 4.6 mm column. Cyclic voltammetric studies were made to ascertain the redox behaviour of Rohypnol (XXIX) at a glassy carbon electrode over the pH range 2–12. Hydrodynamic voltammetry was used to optimise the applied potential at the generator and detector cells; these were identified to be −2.4 V and +0.8 V for the redox mode and −2.4 V and −0.1 V for the dual reductive mode respectively. A linear range of 0.5–100 mg/mL, with a detection limit of 20 ng/mL was obtained for the dual reductive mode. Further studies were then performed to identify the optimum conditions required for the LC-DED determination of Rohypnol (XXIX) in beverage samples. In order to demonstrate the application of the LC-DED assay to forensic “drink spiking” cases a sample of white cappuccino style coffee was fortified at a level of 9.6 µg/mL Rohypnol (XXIX). Figure 4 shows the LC-DED chromatograms for extracts of (i) coffee spiked with 9.6 µg/mL and (ii) for unspiked coffee. Clearly, when using the dual reductive mode the extracts showed well-defined signals for Rohypnol (XXIX). However, when using the redox mode the region from a retention time of 11 min onwards is totally obscured by a large off-scale unresolved peak, which completely masks the area where Rohypnol (XXIX) elutes. The dual reductive mode was hence reported to give reliable data at the concentrations investigated relevant to cases of drink spiking.
Figure 4.
Representative chromatograms of “cappuccino” style white coffee samples obtained by LC-DED in the redox mode for (i) fortified at 9.6 µg/mL (ii) LC-DED dual reductive mode, fortified at 9.6 µg/mL and (iii) unadulterated. R = Rohypnol (XXIX).
3.5. Amphetamines
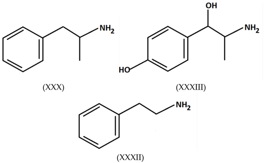
Amphetamines can be difficult to determine electrochemically requiring high positive applied potentials for their determination. To overcome this problem, a derivatization using 2,5-dihydroxybenzaldehyde (2,5-DBA) has been described by Alfredo Santagati et al. [69]. It was shown that 2,5-DBA could rapidly aminated the primary amines of amphetamine (XXX), 4-hydroxynorephedrine (XXXI) and phenylethylamine (XXXII) (PHE), using borohydride exchange resin as a chemoselective reducing agent giving electroactive secondary amines. LC ED analysis was performed using reversed phase isocratic elution on a column 5 µm Hypersil ODS RP-18, 15 cm, with a mobile phase of methanol-NaH2PO4 buffer (50 mM, pH 5.5) (30:70 v/v) containing triethylamine (0.5% v/v). The electrochemical detection of the derivatised compounds was investigated by hydrodynamic voltammetry at a porous graphite electrode and under the chromatographic conditions employed the optimum potential was reported to be +0.6 V. The linearity of response was examined for each derivatised compound and was analysed using solutions in the range 10 to 40 nM/mL. The correlation coefficients of the linear regression of the standard curves were greater than 0.99. A detection limit based on a signal/noise ratio of 3:1 (S/N = 3) was less than 50 ng/mL for each compound and the limits of quantitation were comprised in the range 0.3–0.6 µg/mL.
Kramer and Kovar [70] have determined N-ethyl-4-hydroxy-3-methoxy-amphetamine (XXXIII) (HMEA, the main metabolite of the ecstasy analogue MDE), THC and THC–COOH in plasma and urine utilising automated on-line SPE. Liquid chromatographic separation was achieved using a LiChroCart Superspher 60 RP-select B column, 5 µm, 250 × 4 mm with a LiChrospher 60 RP-select B, 5 µm, 4 × 4 mm guard column. HMEA was determined using a mobile phase consisted of 150 mM potassium dihydrogen phosphate buffer, pH 2.3–acetonitrile (94.5:5.5, v/v) with 0.16 mM Na EDTA, buffer–acetonitrile mixture with a flow rate of 0.600 mL/min. Electrochemical detection was undertaken using a potential of +920 mV. THC and THC–COOH were separated isocratically using a LiChroCart, Superspher 60 RP select B column, 5 µm, 250 mm × 4 mm. The mobile phase consisted of 5.6 mM tetrabutylammonium hydrogen sulphate, pH 2.3–acetonitrile–tetrahydrofuran (44:46:10) with 0.160 mM Na EDTA. The flow-rate in this case was reported as 0.850 mL/min with electrochemical detection again at +1.2 V. The limits of quantitation were reported to be between 5 ng/mL (THC, THC–COOH in plasma) and 20 ng/mL (HMEA in plasma).
3.6. Legal Highs: Mephedrone and 4-Methylethcathinone
Legal highs can be defined as drugs that contain one or more chemical substances which produce similar effects to illegal drugs. These are quite often made by changing functional groups on already developed drugs to give a new substance for which there is no specific legalisation. Consequently, these new compounds are not controlled under the Misuse of Drugs Act 1971 and often there is insufficient investigations undertaken on their potency, adverse effects, or interactions with other substances. This is a rapidly changing area with new drugs being created and sold over the Internet.
Zuway et al. [71] have recently investigated the possibility of determining cathinone-derived legal highs by liquid chromatography with amperometric detection for the determination of mephedrone (XXXIV) and 4-methylethcathinone (XXXV). Reverse phase chromatography was undertaken using an ACE 3 C18, 150 mm × 4.6 mm, 3 μm column with mobile phase of methanol: 10 mM ammonium acetate–100 mM potassium chloride buffer, 30%:70% v/v using a flow rate of either 0.8 mL/min or 1.0 mL/min. Four different thin-layer flow cells investigated each employing a screen-printed sensor for the amperometric detection of the two drugs at an applied potential of +1.4 V. The effect of flow rate was investigated and improvements in sensitive were found at 0.8 mL/min compared to 1.0 mL/min. Detection limits of 14.66 and 9.35 µg/mL for mephedrone (XXXIV) and 4-methylethcathinone (XXXV) were reported. Analysis of the synthetic cathinones in a selection of purchased NRG-2 legal high samples was undertaken. In samples containing caffeine UV and amperometric determination were found to be comparable in terms of their ability to quantify the levels of caffeine present. Samples containing only mephedrone (XXXIV) and 4-methylethcathinone (XXXV) showed a significant over estimation of the quantities of the synthetic cathinones present in comparison to the HPLC-UV detection. The authors concluded that this may be due to adsorption of the drugs on the electrode surface and a new screen-printed sensor was employed for each sample analysis to overcome this. The developed liquid chromatographic electrochemical method was found to be less sensitive than the liquid chromatography with UV detection.
3.7. Tryptamines, Phenethylamines and Piperazines
To restrict the sale of legal highs in April 2007 Japan introduced the Pharmaceutical Affairs Law where substances such as tryptamines, phenethylamines and piperazines became under control as ‘designated substances’ (Shitei-Yakubutsu). The relative large number of compounds required a technique which was capable of separating, identifying and quantifying such compounds in complex samples. To achieve this Min et al. [72] developed a liquid chromatographic multichannel electrochemical detection (MECD) method for the simultaneous determination of 31 different tryptamines, phenethylamines and piperazines. The compounds were separated by reverse phase chromatography using a gradient elution. A coulometric electrode array detector (Model 5600A CoulArray, ESA Inc., (Thermo Scientific, Waltham, MA, USA) equipped with 16 channel cell electrodes (model 6210, porous graphite working electrode) was used for the detection. The optimum applied potential for each substance was determined based by hydrodynamic voltammetry. The mobile phases A and B consisted of 31.4 mM potassium phosphate buffer–methanol–acetonitrile (95:4:1; pH 6.7) and 60 mM potassium phosphate buffer–methanol–acetonitrile (50:40:10; pH 6.7), respectively. Separation was performed using a reversed-phase ODS column (TSK-gel ODS-100V, 250 × 4.6 mm, 3 µm) with gradient elution of 25% B (0–20 min), 10% B (20–60 min) and 10%–70% B (60–240 min) at the flow rate of 1.0 mL/min. The applied potentials of the 16 channel electrodes were set at 0, 90, 180, 270, 360, 450, 540, 630, 720, 810, 900, 990, 1080, 1170, 1260 and 1350 mV. Detection limits (S/N = 3) ranged from 17.1 pg N-[2-(5-methoxy-1H-indol-3-yl)ethyl]-N-methylpropan-2-amine (XXXVI) (5-MeO-MIPT) to 117 ng 2,3-dihydro-1H-inden-2-amine (XXXVII) (indan-2-amine). The developed method was evaluated by the analysis of real samples. Solid samples (1 mg) were dissolved in 1.0 mL of a 50% methanol with the aid of sonication and then centrifuged. The separated supernatant was filtered and the solutions diluted 100 times with the initial mobile-phase starting solution and injected into the HPLC-MECD. The target analytes were identified by their retention times and the hydrodynamic voltammograms of authentic standards. Table 3 presents a summary of the applications discussed in this section.
Table 3.
Liquid chromatography electrochemical determination of synthetic drugs.
4. Comparisons with Other Liquid Chromatographic Detection Systems
Principally, two other classes of detector have been utilized with liquid chromatography: those based on the absorbance of light in some way, such as UV-visible and fluorescence spectrometry and those using mass spectrometry. Liquid chromatography mass spectrometry is now widely used across industry, in research and the forensic sciences. It can be extremely selective and sensitive and can be successfully used for a wide range of analytes. Confirmation of peak identity obtained through the mass spectra obtained is also highly useful. However, it is relatively expensive and needs highly trained staff. As a technique, LC/MS can suffer from issues with selectivity resulting from “isobaric” interferences, unpredictable ion yield attenuations from “ion suppression effects” [73]. Some of these issues can be overcome by the use of deuterated standards; however, these can be expensive. Table 4 gives a comparison between the detection limits reported for both LC/MS and LC ED for several drugs of abuse. For a number of compounds detection limits are comparable and in some instance notably better by LC ED; however, as a general approach LC/MS can be seen to be better across the range of analytes investigated. Liquid chromatography with UV detection (LC-UV) is both simple and reliable, but lacks the low detection limits that can be gained by both LC ED and LC/MS (Table 4). Advantages can be gained using variants such as diode array detection (DAD) where spectra can be obtained for each eluting peak and can hence aid in peak identification and questions of peak purity. LC ED offers comparable, or in some cases better detection limits and is considerably less expensive than LC/MS. However, it can be affected by fouling of the electrodes leading to loss of sensitivity. The presence of oxygen and metal ions in the mobile phase can be an issue as well, but can be overcome by degassing and the addition of a chelating agent, approaches that are both commonly employed.
Table 4.
Comparisons with Liquid Chromatography Mass Spectrometry.
5. Conclusions
The combination of liquid chromatography with electrochemical has been shown to a powerful technique for the determination of drugs of abuse capable of determining trace concentration in complex sample matrixes. The detection of morphine has seen the most interest presumably due to the low applied potential required for its oxidation and it demand for its determination in both pharmacology and forensic applications. Applications for new classes of illegal drugs are being developed. However, the methods developed for the determination of the more established drugs of abuse are generally depleted, preassembly, due to the introduction of competing techniques such as LC/MS. The majority of methods have been based on reverse phase chromatography. However, it is believed that more work will be reported on the application of techniques such as hydrophilic interaction chromatography (HILIC) [87]. Similarly, the combination of electrochemistry with mass spectrometry and LC/MS [88] will be become an increasingly important area for drug metabolism studies.
Acknowledgments
I would like to thank my fellow researchers whose work has been described in this review.
Conflicts of Interest
The author declares no conflicts of interest.
Abbreviations
The following abbreviations are used in this manuscript:
| 2,5-DBA | 2,5-dihydroxybenzaldehyde |
| 4HIAA | 4-hydroxyindole-3-acetic acid |
| 5-MeO-MIPT | N-[2-(5-methoxy-1H-indol-3-yl)ethyl]-N-methylpropan-2-amine |
| Ag/AgCl | Silver/silver chloride |
| BAS | Bioanalytical Systems, Inc. |
| EtG | Ethyl glucuronide |
| GCE | Glassy carbon electrode |
| GC/MS | Gas chromatography mass spectrometry |
| HILIC | Hydrophilic interaction chromatography |
| HMEA | N-ethyl-4-hydroxy-3-methoxy-amphetamine |
| HPLC EA | High performance liquid chromatography electrochemical array detection |
| HPLC-UV | High performance liquid chromatography-ultra violet detection |
| IDU | Intravenous drug user |
| LC-DED | Liquid chromatography dual electrode detection |
| LC ED | Liquid chromatography electrochemical detection |
| LC/MS | Liquid chromatography mass spectrometry |
| LC-UV | Liquid chromatography ultraviolet detection |
| LSD | Lysergic acid diethylamide |
| MDE | Methylenedioxyethylamphetamine |
| MECD | Multichannel electrochemical detection |
| Na2EDTA | Disodium ethylenediaminetetraacetic acid |
| NRG-2 | 4-Methylethcathinone legal high marketed alone or in mixtures with other substituted cathinones |
| PBS | Phosphate buffered saline |
| PdH2 | Palladium-hydrogen reference electrode |
| PED | Pulsed electrochemical detection |
| PIA | Pulsed integrated amperometry |
| PHE | Phenylethylamine |
| S/N | Signal-to-noise ratio |
| SPE | Solid-phase extraction |
| THC | Tetrahydrocannabinol |
| THC–COOH | 11-nor-Δ9-tetrahydrocannabinol-9-carboxylic acid |
| TLC | Thin-layer cell |
References
- Johnson, M.W.; Garcia-Romeu, A.; Cosimano, M.P.; Griffiths, R.R. Pilot study of the 5-HT2AR agonist psilocybin in the treatment of tobacco addiction. J. Psychopharmacol. 2014, 28, 1–10. [Google Scholar] [CrossRef] [PubMed]
- Frood, A. LSD helps to treat alcoholism. Retrospective analysis shows hallucinogenic drug helped problem drinkers. Nature 2012, 483. [Google Scholar] [CrossRef]
- Sewell, R.A.; Halpern, J.H.; Pope, H.G. Response of cluster headache to psilocybin and LSD. Neurology 2006, 66, 1920–1922. [Google Scholar] [CrossRef] [PubMed]
- Novotna, A.; Mares, J.; Ratcliffe, S.; Novakova, I.; Vachova, M.; Zapletalova, O.; Gasperini, C.; Pozzilli, C.; Cefaro, L.; Comi, G.; et al. A randomized, double-blind, placebo-controlled, parallel-group, enriched-design study of nabiximols (Sativex®), as add-on therapy, in subjects with refractory spasticity caused by multiple sclerosis. Eur. J. Neurol. 2011, 18, 1122–1131. [Google Scholar] [CrossRef] [PubMed]
- Lee, Y.-W. Simultaneous Screening of 177 Drugs of Abuse in Urine Using Ultra-Performance Liquid Chromatography with Tandem Mass Spectrometry in Drug-Intoxicated Patients. Clin. Psychopharmacol. Neurosci. 2013, 11, 158–164. [Google Scholar] [CrossRef] [PubMed]
- Saito, K.; Saito, R.; Kikuchi, Y.; Iwasaki, Y.; Ito, R.; Nakazawa, H. Analysis of Drugs of Abuse in Biological Specimens. J. Health Sci. 2011, 57, 472–487. [Google Scholar] [CrossRef]
- Arora, B.; Velpandian, T.; Saxena, R.; Lalwani, S.; Dogra, T.D.; Ghose, S. Development and validation of an ESI-LC-MS/MS method for simultaneous identification and quantification of 24 analytes of forensic relevance in vitreous humour, whole blood and plasma. Drug Test. Anal. 2016, 8, 86–97. [Google Scholar] [CrossRef] [PubMed]
- Xiang, P.; Shen, M.; Drummer, O.H. Review: Drug concentrations in hair and their relevance in drug facilitated crimes. J. Forensic Leg. Med. 2015, 36, 126–135. [Google Scholar] [CrossRef] [PubMed]
- Tagliaro, F.; Franchi, D.; Dorizzi, R.; Marigo, M. High-performance liquid chromatographic determination of morphine in biological samples: An overview of separation methods and detection techniques. J. Chromatogr. A 1989, 488, 215–228. [Google Scholar] [CrossRef]
- Weber, S.G.; Purdy, W.C. Electrochemical Detectors in Liquid Chromatography. A Short Review of Detector Design. Ind. Eng. Chem. Prod. Res. Dev. 1981, 20, 593–598. [Google Scholar] [CrossRef]
- Flanagan, R.J.; Perrett, D.; Whelpton, R. Electrochemical Detection in HPLC: Analysis of Drugs and Poisons; Royal Society of Chemistry: Cambridge, UK, 2005. [Google Scholar]
- Kissinger, P.T. Electrochemical Detection in Liquid Chromatography and Flow Injection Analysis. In Laboratory Techniques in Electroanalytical Chemistry; Kissinger, P.T., Heineman, W.R., Eds.; Marcel Dekker: New York, NY, USA, 1984; pp. 611–635. [Google Scholar]
- Štulík, K.; Pacáková, V. Electroanalytical Measurements in Flowing Liquids; Ellis Horwood: Chichester, UK, 1987. [Google Scholar]
- Tóth, K.; Štulík, K.; Kutner, W.; Fehér, Z.; Lindner, E. Electrochemical Detection in Liquid Flow Analytical Techniques: Characterization and Classification, (IUPAC Technical Report). Pure Appl. Chem. 2004, 76, 1119–1138. [Google Scholar] [CrossRef]
- Trojanowicza, M. Recent developments in electrochemical flow detection—A review Part I. Flow analysis and capillary electrophoresis. Anal. Chim. Acta 2009, 653, 36–58. [Google Scholar] [CrossRef] [PubMed]
- Kissinger, P.T.; Refshauge, C.; Dreiling, R.; Adams, R.N. An Electrochemical Detector for Liquid Chromatography with Picogram Sensitivity. Anal. Lett. 1973, 6, 465–477. [Google Scholar] [CrossRef]
- Fleet, E.; Little, C.J. Design and Evaluation of Electrochemical Detectors for HPLC. J. Chromatogr. Sci. 1974, 72, 747–752. [Google Scholar] [CrossRef]
- Honeychurch, K.C. Design and Application of Liquid Chromatography Dual Electrode Detection. In Electrochemistry; Royal Society of Chemistry: Cambridge, UK, 2015; Volume 13, pp. 1–20. [Google Scholar]
- Chao, M.-H.; Huang, H.-J. A Bipotentiostat Based 4-Electrode Detection System for HPLC Analysis. J. Chin. Chem. Soc. 2001, 48, 763–768. [Google Scholar] [CrossRef]
- Honeychurch, K.C.; Smith, G.C.; Hart, J.P. Voltammetric Behavior of Nitrazepam and Its Determination in Serum Using Liquid Chromatography with Redox Mode Dual-Electrode Detection. Anal. Chem. 2006, 78, 416–423. [Google Scholar] [CrossRef] [PubMed]
- Honeychurch, K.C.; Davidson, G.; Brown, E.; Hart, J.P. Novel reductive-reductive mode electrochemical detection of Rohypnol following liquid chromatography and its determination in coffee. Anal. Chim. Acta 2015, 853, 222–227. [Google Scholar] [CrossRef] [PubMed]
- Honeychurch, K.C.; Hart, J.P. Voltammetric behaviour of p-nitrophenol and its trace determination in human urine by liquid chromatography with a dual reductive mode electrochemical detection system. Electroanalysis 2007, 19, 2176–2184. [Google Scholar] [CrossRef]
- Evans, O. On-line deoxygenation in reductive (and oxidative) amperometric detection: Environmental applications in the liquid chromatography of organic peroxides. Analyst 1999, 124, 1811–1816. [Google Scholar] [CrossRef]
- LaCourse, W.R. Pulsed Electrochemical Detection in High-Performance Liquid Chromatography; John Wiley & Sons: New York, NY, USA, 1997. [Google Scholar]
- Johnson, D.C.; Dobberpuhl, D.; Roberts, R.; Vanderberg, P. Pulsed amperometric detection of carbohydrates, amines, and sulfur species in ion chromatography: The current state of research. J. Chromatogr. 1993, 640, 79–96. [Google Scholar] [CrossRef]
- Jensen, M.B.; Johnson, D.C. Fast wave forms for pulsed electrochemical detection of glucose by incorporation of reductive desorption of oxidation products. Anal. Chem. 1997, 69, 1776–1781. [Google Scholar] [CrossRef] [PubMed]
- Martens, D.A.; Frankenberger, W.T., Jr. Determination of saccharides by high performance anion-exchange chromatography with pulsed amperometric detection. Chromatographia 1990, 29, 7–12. [Google Scholar] [CrossRef]
- Acworth, I.N.; Bowers, M. An Introduction to HPLC-Based Electrochemical Detection: From Single Electrode to Multi-Electrode Arrays. In Coulometric Electrode Array Detectors for HPLC (Progress in HPLC-HPCE), 6th ed.; Acworth, I.N., Naoi, M., Parvez, S., Parvez, H., Eds.; VSP Publications: Utrecht, The Netherlands, 1997; pp. 3–50. [Google Scholar]
- Svendsen, C.N. Tutorial review—Multi-electrode array detectors in high-performance liquid chromatography: A new dimension in electrochemical analysis. Analyst 1993, 118, 123–129. [Google Scholar] [CrossRef]
- Acworth, I.N.; Gamache, P. The coulometric electrode array for use in HPLC analysis. Part 1. Theory. Am. Lab. 1996, 5, 33–38. [Google Scholar]
- Acworth, I.N.; Waraska, J.; Gamache, P. The coulometric electrode array for use in HPLC analysis. Part 2: An application overview. Am. Lab. 1997, 11, 25–32. [Google Scholar]
- Raharjo, T.J.; Verpoorte, R. Methods for the Analysis of Cannabinoids in Biological Materials: A Review. Phytochem. Anal. 2004, 15, 79–94. [Google Scholar] [CrossRef] [PubMed]
- Nakahara, Y.; Sekine, H. Studies on Confirmation of Cannabis Use. I. Determination of the Cannabinoid Contents in Marijuana Cigarette, Tar, and Ash Using High Performance Liquid Chromatography with Electrochemical Detection. J. Anal. Toxicol. 1985, 9, 121–124. [Google Scholar] [CrossRef] [PubMed]
- Harvey, D.J. Cannabinoids. In Mass Spectrometry, Clinical and Biomedical Applications; Springer: New York, NY, USA, 1992; pp. 207–257. [Google Scholar]
- Nyoni, E.C.; Sitaram, B.R.; Taylor, D.A. Determination of Δ9-tetrahydrocannabinol levels in brain tissue using high-performance liquid chromatography with electrochemical detection. J. Chromatogr. B 1996, 679, 79–84. [Google Scholar] [CrossRef]
- Bourquin, D.; Brenneisen, R. Confirmation of cannabis abuse by the determination of 11-nor-Δ9-tetrahydrocannabinol-9-carboxylic acid in urine with high performance liquid chromatography and electrochemical detection. J. Chromatogr. 1987, 414, 187–191. [Google Scholar] [CrossRef]
- ElSohly, M.A.; ElSohly, H.N.; Jones, A.B.; Dimson, P.A.; Wells, K.E. Analysis of the major metabolite of delta 9-tetrahydrocannabinol in urine II. A HPLC procedure. J. Anal. Toxicol. 1983, 7, 262–264. [Google Scholar] [CrossRef] [PubMed]
- Nakahara, Y.; Sekine, H.; Cook, C.E. Confirmation of Cannabis Use II. Determination of Tetrahydrocannabinol Metabolites in Urine and Plasma by HPLC with ECD. J. Anal. Toxicol. 1989, 13, 22–24. [Google Scholar] [CrossRef] [PubMed]
- Nakahara, Y.; Sekine, H. Automatic extraction using the minicolumn liquid chromatography method for analysis of drugs of abuse in biological fluids. Chromatographia 1984, 19, 131–136. [Google Scholar] [CrossRef]
- Baker, T.S.; Harry, J.V.; Russell, J.W.; Myers, R.L. Rapid method for the GC/MS confirmation of 11-nor-Δ9-THC-9-COOH in urine. J. Anal. Toxicol. 1984, 8, 255–259. [Google Scholar] [CrossRef] [PubMed]
- Fisher, D.H.; Broudy, M.I.; Fisher, L.M. Quantification of 9-Carboxy-11-nor-Δ9-tetrahydrocannabinol in Urine Using Brominated 9-Carboxy-11–nor-Δ9-tetrahydrocannabinol as the Internal Standard and High-Performance Liquid Chromatography with Electrochemical Detection. Biomed. Chromatogr. 1996, 10, 161–166. [Google Scholar] [CrossRef]
- Nakahara, Y.; Tanaka, K. Studies on discrimination of confiscated cannabis products by high performance liquid chromatography with electrochemical detector. Bull. Natl. Inst. Hygenic Sci. 1988, 106, 11–18. [Google Scholar]
- Kokubun, H.; Uezono, Y.; Matoba, M. Novel method of determination of Δ9-tetrahydrocannabinol (THC) in human serum by high-performance liquid chromatography with electrochemical detection. Gan Kagaku Ryoho 2014, 41, 471–473. [Google Scholar]
- Kaushik, R.; LaCourse, W.R.; Levine, B. Determination of ethyl glucuronide in urine using reversed-phase HPLC and pulsed electrochemical detection (Part II). Anal. Chim. Acta 2006, 556, 267–274. [Google Scholar] [CrossRef]
- Johnson, D.C.; LaCourse, W.R. Liquid Chromatography with Pulsed Electrochemical Detection at Gold and Platinum Electrodes. Anal. Chem. 1990, 62, 589A–597A. [Google Scholar] [CrossRef]
- Schwartz, R.S.; David, K.O. Liquid Chromatography of Opium Alkaloids, Heroin, Cocaine, and Related Compounds Using Electrochemical Detection. Anal. Chem. 1985, 57, 1362–1366. [Google Scholar] [CrossRef]
- Masui, M.; Sayo, H.; Tsuda, Y. Anodic oxidation of amines. Part I. Cyclic voltammetry of aliphatic amines at a stationary glassy-carbon electrode. J. Chem. Soc. B 1968, 9, 973–976. [Google Scholar] [CrossRef]
- Masui, M.; Sayo, H. Anodic oxidation of amines. Part II. Electrochemical dealkylation of aliphatic tertiary amines. J. Chem. Soc. B 1971, 1971. [Google Scholar] [CrossRef]
- Sayo, H.; Masui, M. Anodic-oxidation of amines part III. Cyclic voltammetry and controlled potential electrolysis of 4-dimethylaminoantipyrine (4-dimethylamino-2,3-dimethyl-1-phenyl-Δ-3-pyrazolin-5-one) in acetonitrile. J. Chem. Soc. Perkin Trans. 1973, 2, 1640–1645. [Google Scholar] [CrossRef]
- Mann, C.K. Cyclic Stationary Electrode Voltammetry of Some Aliphatic Amines. Anal. Chem. 1984, 36, 2424–2426. [Google Scholar] [CrossRef]
- Masui, M.; Ozaki, S. Anodic-oxidation of amines 5. Cyclic voltammetry and controlled potential electrolysis of ephedrine and related compounds in aqueous buffer solution. Chem. Pharm. Bull. 1978, 26, 2153–2159. [Google Scholar] [CrossRef]
- Sawyer, W.R.; Waterhouse, G.A.W.; Doedens, D.J.; Forney, R.B. Heroin, Morphine, and Hydromorphone Determination in Postmortem Material by High Performance Liquid Chromatography. J. Forensic Sci. 1988, 33, 1146–1155. [Google Scholar] [CrossRef] [PubMed]
- Zaromb, S.; Alcaraz, J.; Lawson, D.; Woo, C.S. Detection of airborne cocaine and heroin by high-throughput liquid-absorption preconcentration and liquid chromatography-electrochemical detection. J. Chromatogr. 1993, 643, 107–115. [Google Scholar] [CrossRef]
- Somaini, L.; Saracino, M.A.; Marcheselli, C.; Zanchini, S.; Gerra, G.; Raggi, M.A. Combined liquid chromatography-coulometric detection and microextraction by packed sorbent for the plasma analysis of long acting opioids in heroin addicted patients. Anal. Chim. Acta 2011, 702, 280–287. [Google Scholar] [CrossRef] [PubMed]
- Huettl, P.; Koester, S.; Hoffer, L.; Gerhardt, G.A. Separation and Identification of Drugs of Abuse in Drug Cottons by High Performance Liquid Chromatography Coupled with Electrochemical Array Detectors. Electroanalysis 1999, 11, 313–319. [Google Scholar] [CrossRef]
- Ary, K.; Róna, K. LC determination of morphine and morphine glucuronides in human plasma by coulometric and UV detection. J. Pharm. Biomed. Anal. 2001, 26, 179–187. [Google Scholar] [CrossRef]
- Rashid, B.A.; Aherne, G.W.; Katmeh, M.F.; Kwasowski, P.; Stevenson, D. Determination of morphine in urine by solid-phase immunoextraction and high-performance liquid chromatography with electrochemical detection. J. Chromatogr. A 1998, 797, 245–250. [Google Scholar] [CrossRef]
- Xu, F.; Gao, M.; Wang, L.; Zhou, T.; Jin, L.; Jin, J. Amperometric determination of morphine on cobalt hexacyanoferrate modified electrode in rat brain microdialysates. Talanta 2002, 58, 427–432. [Google Scholar] [CrossRef]
- Guedes, A.G.P.; Papich, M.G.; Rude, E.P.; Rider, M.A. Pharmacokinetics and physiological effects of two intravenous infusion rates of morphine in conscious dogs. J. Vet. Pharmacol. Ther. 2007, 30, 224–233. [Google Scholar] [CrossRef] [PubMed]
- Kukanich, B.; Lascelles, B.D.X.; Papich, M.G. Pharmacokinetics of morphine and plasma concentrations of morphine-6-glucuronide following morphine administration to dogs. J. Vet. Pharmacol. Ther. 2005, 28, 371–376. [Google Scholar] [CrossRef] [PubMed]
- Aragon, C.L.; Read, M.R.; Gaynor, J.S.; Barnhart, M.D.; Wilson, D.; Papich, M.G. Pharmacokinetics of an immediate and extended release oral morphine formulation utilizing the spheroidal oral drug absorption system in dogs. J. Vet. Pharmacol. Ther. 2008, 32, 129–136. [Google Scholar] [CrossRef] [PubMed]
- Fisher, A.P.; Fung, C.; Hanna, M. Serum morphine concentrations after buccal and intramuscular morphine administration. Br. J. Clin. Pharma. 1987, 24, 685–687. [Google Scholar] [CrossRef]
- Todd, R.D.; Muldoon, S.M.; Watson, R.L. Determination of morphine in cerebrospinal fluid and plasma by high-performance liquid chromatography with electrochemical detection. J. Chromatogr. 1982, 232, 101–110. [Google Scholar] [CrossRef]
- Jordan, P.H.; Hart, J.P. Voltammetric Behaviour of Morphine at a Glassy Carbon Electrode and Its Determination in Human Serum by Liquid Chromatography with Electrochemical Detection under Basic Conditions. Analyst 1991, 116, 991–996. [Google Scholar] [CrossRef] [PubMed]
- Oka, K.; Kantrowitz, J.D.; Spector, S. Isolation of morphine from toad skin (nonpeptide opiate/endogenous). Proc. Natl. Acad. Sci. USA 1985, 82, 1852–1854. [Google Scholar] [CrossRef] [PubMed]
- Lindenblatt, H.; Kramer, E.; Holzmann-Erens, P.; Gouzoulis-Mayfrank, E.; Kovar, K.-A. Quantitation of psilocin in human plasma by high-performance liquid chromatography and electrochemical detection: Comparison of liquid-liquid extraction with automated on-line solid-phase extraction. J. Chromatogr. B 1998, 709, 255–263. [Google Scholar] [CrossRef]
- Hasler, F.; Bourquin, D.; Brenneisen, R.; Bär, T.; Vollenweider, F.X. Determination of psilocin and 4-hydroxyindole-3-acetic acid in plasma by HPLC-ECD and pharmacokinetic profiles of oral and intravenous psilocybin in man. Pharm. Acta Helvetiae 1997, 72, 175–184. [Google Scholar] [CrossRef]
- Honeychurch, K.C.; Hart, J.P. Electrochemical detection of benzodiazepines, following liquid chromatography, for applications in pharmaceutical, biomedical and forensic investigations. Insci. J. Sens. 2014, 4, 1–18. [Google Scholar] [CrossRef]
- Santagati, N.A.; Ferrara, G.; Marrazzo, A.; Ronsisvalle, G. Simultaneous determination of amphetamine and one of its metabolites by HPLC with electrochemical detection. J. Pharm. Biomed. Anal. 2002, 30, 247–255. [Google Scholar] [CrossRef]
- Kramer, E.; Kovar, K.-A. On-line coupling of automated solid-phase extraction with highperformance liquid chromatography and electrochemical detection Quantitation of oxidizable drugs of abuse and their metabolites in plasma and urine. J. Chromatogr. B 1999, 731, 167–177. [Google Scholar] [CrossRef]
- Zuway, K.Y.; Smith, J.P.; Foster, C.W.; Kapur, N.; Banks, C.E.; Sutcliffe, O.B. Detection and quantification of new psychoactive substances (NPSs) within the evolved “legal high” product, NRG-2, using high performance liquid chromatography-amperometric detection (HPLC-AD). Analyst 2015, 140, 6283–6294. [Google Scholar] [CrossRef] [PubMed]
- Min, J.Z.; Yamashita, K.; Toyo’oka, T.; Inagaki, S.; Higashi, T.; Kikura-Hanajiri, R.; Goda, Y. Simultaneous and group determination methods for designated substances by HPLC with multi-channel electrochemical detection and their application to real samples. Biomed. Chromatogr. 2010, 24, 1287–1299. [Google Scholar] [CrossRef] [PubMed]
- Seger, C. Usage and limitations of liquid chromatography-tandem mass spectrometry (LC–MS/MS) in clinical routine laboratories. Wien. Med. Wochenschr. 2012, 162, 499–504. [Google Scholar] [CrossRef] [PubMed]
- Hudson, J.; Hutchings, J.; Wagner, R.; Harper, C.; Friel, P. Validation of a Cannabiniod Quantitation Method Using an Agilent 6430 LC/MS/MS; Agilent Technologies Inc.: Santa Clara, CA, USA, 2013; Available online: https://www.agilent.com/cs/library/applications/5991-2554EN.pdf (accessed on 3 August 2016).
- Teles de Menezes, M.M.; Fernando de Andrade, J.; Firmino de Oliveira, M.; Tristão, H.M.; Aparecida Saczk, A.; Luiz Okumura, L. Analysis of δ9-THC in cosmetics by high performance liquid chromatography with UV-Vis detection. Braz. J. Anal. Chem. 2012, 2, 341–344. [Google Scholar]
- Liu, H.-C.; Lee, H.-T.; Hsu, Y.-C.; Huang, M.-H.; Liu, R.H.; Chen, T.-J.; Lin, D.-L. Direct Injection LC-MS-MS Analysis of Opiates, Methamphetamine, Buprenorphine, Methadone and Their Metabolites in Oral Fluid from Substitution Therapy Patients. J. Anal. Toxicol. 2015, 39, 472–480. [Google Scholar] [CrossRef] [PubMed]
- Mostafavi, A.; Abedi, G.; Jamshidi, A.; Afzali, D.; Talebi, M. Development and validation of a HPLC method for the determination of buprenorphine hydrochloride, naloxone hydrochloride and noroxymorphone in a tablet formulation. Talanta 2009, 77, 1415–1419. [Google Scholar] [CrossRef] [PubMed]
- He, H.; Shay, S.D.; Caraco, Y.; Wood, M.; Wood, A.J.J. Simultaneous determination of codeine and it seven metabolites in Plasma and urine by high-performance liquid chromatography with ultraviolet and electrochemical detection. J. Chromatogr. B 1998, 708, 185–193. [Google Scholar] [CrossRef]
- Moeller, M.R.; Steinmeyer, S.; Kraemer, T. Determination of drugs of abuse in blood. J. Chromatogr. B 1998, 713, 91–109. [Google Scholar] [CrossRef]
- Roda, E.; Lonati, D.; Buscaglia, E.; Papa, P.; Rocchi, L.; Locatelli, C.A.; Coccini, T. Evaluation of Two Different Screening ELISA Assays for Synthetic Cathinones (Mephedrone/Methcathinone and MDPV) with LC-MS Method in Intoxicated Patients. J. Clin. Toxicol. 2016, 6. [Google Scholar] [CrossRef]
- Rambabu, C.; Rao, S.V.; Ramu, G.; Babu, A.B. Quantitative Analysis of Mephedrone in Bulk and Pharmaceutical Formulations by Reverse Phase High Performance Liquid Chromatography. Rasӑyan J. Chem. 2010, 3, 796–799. [Google Scholar]
- Bogusz, M.J. Liquid chromatography-mass spectrometry as a routine method in forensic sciences: A proof of maturity. J. Chromatogr. B 2000, 748, 3–19. [Google Scholar] [CrossRef]
- Gambaro, V.; Roda, G.; Visconti, G.L.; Arnoldi, S.; Casagni, E.; Dell’Acqua, L.; Farè, F.; Paladino, E.; Rusconi, C.; Arioli, S.; et al. DNA-based taxonomic identification of basidiospores in hallucinogenic mushrooms cultivated in “grow-kits” seized by the police: LC-UV quali-quantitative determination of psilocybin and psilocin. J. Pharm. Biomed. Anal. 2016, 125, 427–432. [Google Scholar] [CrossRef] [PubMed]
- Honeychurch, K.C.; Hart, J.P. Determination of Flunitrazepam and Nitrazepam in Beverage Samples by Liquid Chromatography with Dual Electrode Detection Using a Carbon Fibre Veil Electrode. J. Solid State Electr. 2008, 12, 1317–1324. [Google Scholar] [CrossRef]
- Borgesa, K.B.; Freire, E.F.; Martins, I.; Pereira Bastos de Siqueira, M.E. Simultaneous determination of multibenzodiazepines by HPLC/UV: Investigation of liquid-liquid and solid-phase extractions in human plasma. Talanta 2009, 78, 233–241. [Google Scholar] [CrossRef] [PubMed]
- Glover, S.J.; Allen, K.R. Measurement of benzodiazepines in urine by liquid chromatography-tandem mass spectrometry: Confirmation of samples screened by immunoassay. Ann. Clin. Biochem. 2010, 47, 111–117. [Google Scholar] [CrossRef] [PubMed]
- Kumar, A.; Hart, J.P.; McCalley, D.V. Determination of catecholamines in urine using hydrophilic interaction chromatography with electrochemical detection. J. Chromatogr. A 2011, 1218, 3854–3861. [Google Scholar] [CrossRef] [PubMed]
- Baumann, A.; Karst, U. Online electrochemistry/mass spectrometry in drug metabolism studies: Principles and applications. Expert Opin. Drug Metab. Toxicol. 2010, 6, 715–731. [Google Scholar] [CrossRef] [PubMed]
© 2016 by the author; licensee MDPI, Basel, Switzerland. This article is an open access article distributed under the terms and conditions of the Creative Commons Attribution (CC-BY) license (http://creativecommons.org/licenses/by/4.0/).



