Intelligent Pulsed Electrochemical Activation of NaClO2 for Sulfamethoxazole Removal from Wastewater Driven by Machine Learning
Abstract
1. Introduction
2. Materials and Methods
2.1. Chemicals
2.2. Synthesis and Characterization of Electrode Materials
2.2.1. Synthesis of FeCuC Composite
2.2.2. Synthesis of FeCuC-Ti4O7 Composite Electrode
2.2.3. Characterization
2.3. Electrochemical Removal Experiments
2.4. Electrochemical Test
2.5. Neural Network Model Development
2.6. Practical Application
3. Results and Discussion
3.1. Construction of the Pulsed Electrochemical System
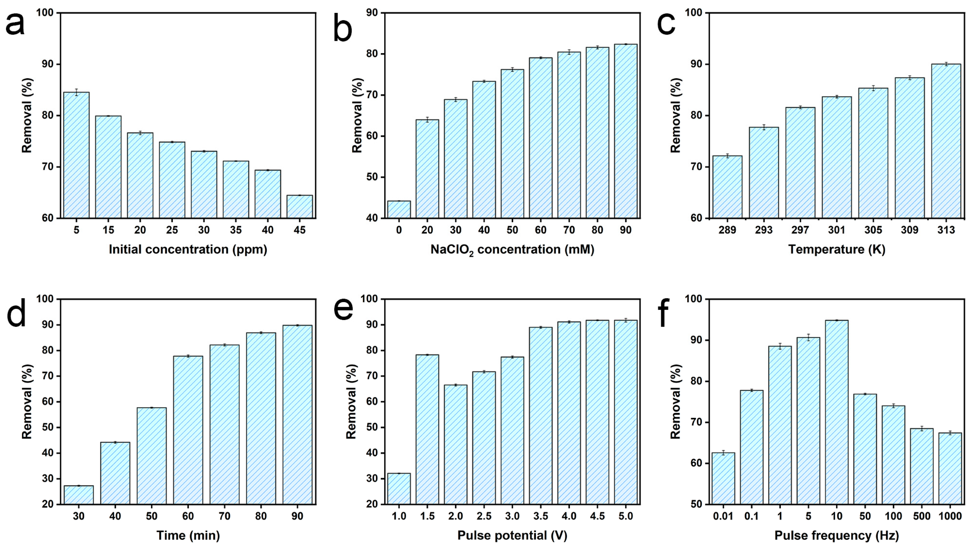
3.2. Effects of Experimental Parameters
3.3. Electrochemical Analysis
3.4. Artificial Intelligence Optimization
3.5. Practical Application Assessment
4. Conclusions
Supplementary Materials
Author Contributions
Funding
Data Availability Statement
Conflicts of Interest
References
- Grenni, P.; Patrolecco, L.; Rauseo, J.; Spataro, F.; Di Lenola, M.; Aimola, G.; Zacchini, M.; Pietrini, F.; Di Baccio, D.; Stanton, I.C.; et al. Sulfamethoxazole Persistence in a River Water Ecosystem and Its Effects on the Natural Microbial Community and Lemna minor Plant. Microchem. J. 2019, 149, 104010. [Google Scholar] [CrossRef]
- Cai, J.; Liu, J.; Man, Y.B.; Chen, J.; Li, L.; Xu, X.; Huang, C.; Xu, C.; Lv, G.; Qi, X.; et al. Point-of-Use Water Treatment: Energy-Autonomous Synergistic Solar Photothermal-Piezocatalysis on MXene/Bi2WO6 Membranes for Distributed Removal of Sulfonamide Antibiotics. Water Res. 2025, 287, 123456. [Google Scholar] [CrossRef]
- Ai, T.; Yao, S.; Yu, Y.; Peng, K.; Jin, L.; Zhu, X.; Zhou, H.; Huang, J.; Sun, J.; Zhu, L. Transformation Process and Phytotoxicity of Sulfamethoxazole and N4-Acetyl-sulfamethoxazole in Rice. Sci. Total Environ. 2024, 918, 170857. [Google Scholar] [CrossRef]
- Tang, J.; Wang, J. Iron-Copper Bimetallic Metal-Organic Frameworks for Efficient Fenton-like Degradation of Sulfamethoxazole under Mild Conditions. Chemosphere 2020, 241, 125002. [Google Scholar] [CrossRef]
- Thebo, A.L.; Drechsel, P.; Lambin, E.F.; Nelson, K.L. A Global, Spatially-Explicit Assessment of Irrigated Croplands Influenced by Urban Wastewater Flows. Environ. Res. Lett. 2017, 12, 074008. [Google Scholar] [CrossRef]
- Straub, J.O. Aquatic Environmental Risk Assessment for Human Use of the Old Antibiotic Sulfamethoxazole in Europe. Environ. Toxicol. Chem. 2016, 35, 767–779. [Google Scholar] [CrossRef]
- Camacho-Arévalo, R.; García-Delgado, C.; Mayans, B.; Antón-Herrero, R.; Cuevas, J.; Segura, M.L.; Eymar, E. Sulfonamides in Tomato from Commercial Greenhouses Irrigated with Reclaimed Wastewater: Uptake, Translocation and Food Safety. Agronomy 2021, 11, 1016. [Google Scholar] [CrossRef]
- Mu, X.; Chen, C.; Fan, Q.; Zhang, W.; Liu, F.; Guo, J.; Qi, W.; Liu, H. Removal and Ecological Impact of Sulfamethoxazole and N-Acetyl Sulfamethoxazole in Mesocosmic Wetlands Dominated by Submerged Plants: Plant Tolerance, Microbial Response, and Nitrogen Transformation. Sci. Total Environ. 2025, 958, 176820. [Google Scholar] [CrossRef] [PubMed]
- Narciso, A.; Grenni, P.; Spataro, F.; De Carolis, C.; Rauseo, J.; Patrolecco, L.; Garbini, G.L.; Rolando, L.; Iannelli, M.A.; Bustamante, M.A.; et al. Effects of Sulfamethoxazole and Copper on the Natural Microbial Community from a Fertilized Soil. Appl. Microbiol. Biotechnol. 2024, 108, 112. [Google Scholar] [CrossRef]
- Neyrot, S.; Acha, D.; Morales-Belpaire, I. The Fate of Sulfamethoxazole in Microcosms of the Macrophyte Schoenoplectus californicus and Its Impact on Microbial Communities. Environ. Pollut. 2024, 362, 124898. [Google Scholar] [CrossRef]
- De Montmollin, N.; Letavernier, E.; Fartoukh, M.; Vincent, L. Acute Sulfamethoxazole-Induced Crystal Nephropathy. Intensive Care Med. 2018, 44, 1575–1576. [Google Scholar] [CrossRef] [PubMed]
- Hai, H.; Xing, X.; Li, S.; Xia, S.; Xia, J. Electrochemical Oxidation of Sulfamethoxazole in BDD Anode System: Degradation Kinetics, Mechanisms and Toxicity Evaluation. Sci. Total Environ. 2020, 738, 139909. [Google Scholar] [CrossRef]
- Suzuki, N.; Okazaki, A.; Takagi, K.; Serizawa, I.; Hirami, Y.; Noguchi, H.; Pitchaimuthu, S.; Terashima, C.; Suzuki, T.; Ishida, N.; et al. Complete Decomposition of Sulfamethoxazole during an Advanced Oxidation Process in a Simple Water Treatment System. Chemosphere 2022, 287, 132054. [Google Scholar] [CrossRef]
- Chen, Z.; Li, C.; Su, J.; He, Z.; Xu, J.; Bian, Y.; Kim, H.; Guan, X. Enhanced Sulfamethoxazole Removal in Water and Wastewater by Ferrate(VI)/Perborate System via Borate Buffering. J. Hazard. Mater. 2025, 492, 135681. [Google Scholar] [CrossRef]
- Prasannamedha, G.; Kumar, P.S. A Review on Contamination and Removal of Sulfamethoxazole from Aqueous Solution Using Cleaner Techniques: Present and Future Perspective. J. Clean. Prod. 2020, 250, 119553. [Google Scholar] [CrossRef]
- Bagotia, N. Regeneration Strategies for Exhausted Adsorbents Used in Water Treatment—A Critical Review. J. Water Process Eng. 2025, 69, 106442. [Google Scholar] [CrossRef]
- Khurana, P.; Pulicharla, R.; Kaur Brar, S. Antibiotic-Metal Complexes in Wastewaters: Fate and Treatment Trajectory. Environ. Int. 2021, 157, 106863. [Google Scholar] [CrossRef] [PubMed]
- Li, Z.; Wang, X.; Zhang, B.; Li, B.; Du, H.; Wu, Z.; Rashid, A.; Oppong Mensah, C.; Lei, M. Transmission Mechanisms of Antibiotic Resistance Genes in Arsenic-Contaminated Soil under Sulfamethoxazole Stress. Environ. Pollut. 2023, 326, 121484. [Google Scholar] [CrossRef]
- Tang, Z.; Huang, C.; Li, W.; Li, W.; Tan, W.; Xi, B.; Tian, Y.; Zhu, L. Horizontal Transfer of Intracellular and Extracellular ARGs in Sludge Compost under Sulfamethoxazole Stress. Chem. Eng. J. 2023, 454, 140079. [Google Scholar] [CrossRef]
- Tulková, T.; Fučík, J.; Kozáková, Z.; Procházková, P.; Krčma, F.; Zlámalová Gargošová, H.; Mravcová, L.; Sovová, K. Impact of Various Oxidation Processes Used for Removal of Sulfamethoxazole on the Quality of Treated Wastewater. Emerg. Contam. 2023, 9, 100200. [Google Scholar] [CrossRef]
- Wang, J.; Wang, S. Activation of Persulfate (PS) and Peroxymonosulfate (PMS) and Application for the Degradation of Emerging Contaminants. Chem. Eng. J. 2018, 334, 1502–1517. [Google Scholar] [CrossRef]
- Niu, B.; Wang, Z.; Wu, J.; Cai, J.; An, Z.; Sun, J.; Li, Y.; Huang, S.; Lu, N.; Xie, Q.; et al. Photoelectrocatalytic Selective Removal of Group-Targeting Thiol-Containing Heterocyclic Pollutants. J. Hazard. Mater. 2023, 452, 131307. [Google Scholar] [CrossRef] [PubMed]
- Tao, N.; Tian, Y.; Wang, J.; Teng, J. Enhanced Electrochemical Removal of Sulfamethazine on Sm-Doped Ti4O7 Anode: Mechanisms and Toxicity Evaluation. J. Hazard. Mater. Adv. 2025, 17, 100522. [Google Scholar] [CrossRef]
- Misal, S.N.; Lin, M.-H.; Mehraeen, S.; Chaplin, B.P. Modeling Electrochemical Oxidation and Reduction of Sulfamethoxazole Using Electrocatalytic Reactive Electrochemical Membranes. J. Hazard. Mater. 2020, 384, 121420. [Google Scholar] [CrossRef]
- Trellu, C.; Chaplin, B.P.; Coetsier, C.; Esmilaire, R.; Cerneaux, S.; Causserand, C.; Cretin, M. Electro-Oxidation of Organic Pollutants by Reactive Electrochemical Membranes. Chemosphere 2018, 208, 159–175. [Google Scholar] [CrossRef]
- Najafinejad, M.S.; Chianese, S.; Fenti, A.; Iovino, P.; Musmarra, D. Application of Electrochemical Oxidation for Water and Wastewater Treatment: An Overview. Molecules 2023, 28, 4208. [Google Scholar] [CrossRef]
- Scaria, J.; Nidheesh, P.V. Comparison of Hydroxyl-Radical-Based Advanced Oxidation Processes with Sulfate Radical-Based Advanced Oxidation Processes. Curr. Opin. Chem. Eng. 2022, 36, 100830. [Google Scholar] [CrossRef]
- Giannakis, S.; Lin, K.-Y.A.; Ghanbari, F. A Review of the Recent Advances on the Treatment of Industrial Wastewaters by Sulfate Radical-Based Advanced Oxidation Processes (SR-AOPs). Chem. Eng. J. 2021, 406, 127083. [Google Scholar] [CrossRef]
- Hao, R.; Dong, X.; Song, Y.; Tian, Q.; Zhao, Y.; Yuan, B. Microwave-Ultraviolet Co-Catalysis of Chlorite-Oxygen Mixture for Highly Cost-Efficient Simultaneous Removal of NO and Hg0. Fuel 2022, 326, 125067. [Google Scholar] [CrossRef]
- Chiang, M.K.; Su, L.; Raman, K.; Chiang, Y.-M.; Woodford, W.H. Reversible Chlorite Anion/Chlorine Dioxide Redox Couple for Low-Cost Energy Storage. J. Phys. Chem. C 2023, 127, 3921–3927. [Google Scholar] [CrossRef]
- Willach, S.; Lutze, H.V.; Eckey, K.; Löppenberg, K.; Lüling, M.; Terhalle, J.; Wolbert, J.-B.; Jochmann, M.A.; Karst, U.; Schmidt, T.C. Degradation of Sulfamethoxazole Using Ozone and Chlorine Dioxide—Compound-Specific Stable Isotope Analysis, Transformation Product Analysis and Mechanistic Aspects. Water Res. 2017, 122, 280–289. [Google Scholar] [CrossRef]
- Bairaghi, A.S. Electrochemical Abatement of Diclofenac with Various Electrode Systems for Water Treatment Applications. Sustain. Chem. Environ. 2025, 10, 100186. [Google Scholar] [CrossRef]
- Gunther, E.; Burda, C.; Horn, J.B.; Tan, R.; Niese, S.; Gkika, E.; Agarwal, S.; Schäfer, A. Drastic Enhancement of H2O2 Electro-Generation by Pulsed Current for Ibuprofen Degradation: Strategy Based on Decoupling Study on H2O2 Decomposition Pathways. Chem. Eng. J. 2018, 338, 709–718. [Google Scholar]
- Zhou, W.; Gao, J.; Ding, Y.; Zhao, H.; Meng, X.; Wang, Y.; Kou, K.; Xu, Y.; Wu, S.; Qin, Y. Green Electrochemical Modification of RVC Foam Electrode and Improved H2O2 Electrogeneration by Applying Pulsed Current for Pollutant Removal. Environ. Sci. Pollut. Res. 2018, 25, 6015–6025. [Google Scholar] [CrossRef] [PubMed]
- Liu, F.; Zhou, R.; Zhang, C.; Wu, Z.; Ren, H.; Ng, H.Y. Critical Review on the Pulsed Electrochemical Technologies for Wastewater Treatment: Fundamentals, Current Trends, and Future Studies. Chem. Eng. J. 2024, 479, 147653. [Google Scholar] [CrossRef]
- Cai, J.; Liu, S.; Man, Y.B.; Xu, X.; Yang, Z.; Xu, C.; Wang, G.; Huang, C.; Yang, G.; Lv, G.; et al. Sequential Adsorption-Oxidation Pulses for Alternating Electrochemical Advanced Pretreatment of Wastewater Containing Tetracyclines. Chem. Eng. J. 2025, 507, 151847. [Google Scholar] [CrossRef]
- Zhang, K.; Crittenden, J.C. Increased Energy Efficiency Using Pulse-Potential Electrochemical Advanced Oxidation Processes. Chemosphere 2024, 362, 142645. [Google Scholar] [CrossRef]
- Ye, K.; Jiang, T.-W.; Jung, H.D.; Shen, P.; Jang, S.M.; Weng, Z.; Back, S.; Cai, W.-B.; Jiang, K. Molecular Level Insights on the Pulsed Electrochemical CO2 Reduction. Nat. Commun. 2024, 15, 2769. [Google Scholar] [CrossRef]
- Zeng, Y.; Zhang, S.; Yin, L.; Dai, Y. Electrocatalytic Degradation of Pesticide Micropollutants in Water by High Energy Pulse Magnetron Sputtered Pt/Ti Anode. Chin. Chem. Lett. 2022, 33, 5196–5199. [Google Scholar] [CrossRef]
- Chow, H.; Pham, A.L.-T. Mitigating Electrode Fouling in Electrocoagulation by Means of Polarity Reversal: The Effects of Electrode Type, Current Density, and Polarity Reversal Frequency. Water Res. 2021, 197, 117090. [Google Scholar] [CrossRef] [PubMed]
- Cao, C.; Xu, X.; Wang, G.; Yang, Z.; Cheng, Z.; Zhang, S.; Li, T.; Pu, Y.; Lv, G.; Xu, C.; et al. Characterization of Ionic Liquids Removing Heavy Metals from Electroplating Sludge: Influencing Factors, Optimisation Strategies and Reaction Mechanisms. Chemosphere 2023, 324, 138309. [Google Scholar] [CrossRef] [PubMed]
- Jia, S.; Deng, M.; Mu, Y.; Li, J.; Tian, X.; Xie, Q.; Zhang, J. Applying Stacked Machine Learning Models to Guide Electrochemical Oxidation of Antibiotics: Key Parameter Identification and Process Optimization Insights. J. Environ. Manag. 2025, 392, 123829. [Google Scholar] [CrossRef]
- Serna-Carrizales, J.C.; Zárate-Guzmán, A.I.; Flores-Ramírez, R.; Díaz de León-Martínez, L.; Aguilar-Aguilar, A.; Warren-Vega, W.M.; Bailón-García, E.; Ocampo-Pérez, R. Application of Artificial Intelligence for the Optimization of Advanced Oxidation Processes to Improve the Water Quality Polluted with Pharmaceutical Compounds. Chemosphere 2024, 351, 141173. [Google Scholar] [CrossRef]
- Majumder, A.; Mandal, P.; Yadav, M.K.; T, A.L.; B, L.; Majumder, A. Machine Learning-Powered Estimation of Simultaneous Removal of Sulfamethoxazole, 17-β Estradiol, and Carbamazepine via Photocatalytic Degradation with M-Al@ZnO. Environ. Res. 2025, 286, 121441. [Google Scholar] [CrossRef]
- Bai, B.; Wang, L.; Guan, F.; Cui, Y.; Bao, M.; Gong, S. Prediction Models for Bioavailability of Cu and Zn during Composting: Insights into Machine Learning. J. Hazard. Mater. 2024, 471, 134392. [Google Scholar] [CrossRef]
- Elmolla, E.S.; Chaudhuri, M.; Eltoukhy, M.M. The Use of Artificial Neural Network (ANN) for Modeling of COD Removal from Antibiotic Aqueous Solution by the Fenton Process. J. Hazard. Mater. 2010, 179, 127–134. [Google Scholar] [CrossRef]
- Guimarães, O.L.; dos Reis Chagas, M.H.; Villela Filho, D.N.; Siqueira, A.F.; Izário Filho, H.J.; de Aquino, H.O.; Silva, M.B. Discoloration Process Modeling by Neural Network. Chem. Eng. J. 2008, 140, 71–76. [Google Scholar] [CrossRef]
- Aghav, R.M.; Kumar, S.; Mukherjee, S.N. Artificial Neural Network Modeling in Competitive Adsorption of Phenol and Resorcinol from Water Environment Using Some Carbonaceous Adsorbents. J. Hazard. Mater. 2011, 188, 67–77. [Google Scholar] [CrossRef] [PubMed]
- Li, T.; Hu, A.; Li, Y.; Yang, B.; Li, K.; Chen, K.; Jiang, J.; Li, F.; Seh, Z.W.; Wang, J.; et al. Multifunctional Polyfluoride Ionogel-Encapsulated Lithium Anodes for Durable and Safe Pouch Cells under Harsh Conditions. Adv. Funct. Mater. 2025, 35, 2508008. [Google Scholar] [CrossRef]
- Joshi, N.; Sivachandiran, L. Exploring the Feasibility of Liquid Fuel Synthesis from CO2 under Cold Plasma Discharge: Role of Plasma Discharge in Binary Metal Oxide Surface Modification. RSC Adv. 2021, 11, 27757–27766. [Google Scholar] [CrossRef] [PubMed]
- Joshi, N.; Loganathan, S. In Situ Modification of CuO–Fe2O3 by Nonthermal Plasma: Insights into the CO2-to-CH3OH Hydrogenation Reaction. ACS Omega 2023, 8, 13410–13420. [Google Scholar] [CrossRef] [PubMed]







Disclaimer/Publisher’s Note: The statements, opinions and data contained in all publications are solely those of the individual author(s) and contributor(s) and not of MDPI and/or the editor(s). MDPI and/or the editor(s) disclaim responsibility for any injury to people or property resulting from any ideas, methods, instructions or products referred to in the content. |
© 2026 by the authors. Licensee MDPI, Basel, Switzerland. This article is an open access article distributed under the terms and conditions of the Creative Commons Attribution (CC BY) license.
Share and Cite
Tian, N.; Zhang, C.; Yang, W.; Shen, Y.; Wang, X.; Cai, J. Intelligent Pulsed Electrochemical Activation of NaClO2 for Sulfamethoxazole Removal from Wastewater Driven by Machine Learning. Separations 2026, 13, 31. https://doi.org/10.3390/separations13010031
Tian N, Zhang C, Yang W, Shen Y, Wang X, Cai J. Intelligent Pulsed Electrochemical Activation of NaClO2 for Sulfamethoxazole Removal from Wastewater Driven by Machine Learning. Separations. 2026; 13(1):31. https://doi.org/10.3390/separations13010031
Chicago/Turabian StyleTian, Naboxi, Congyuan Zhang, Wenxiao Yang, Yunfeng Shen, Xinrong Wang, and Junzhuo Cai. 2026. "Intelligent Pulsed Electrochemical Activation of NaClO2 for Sulfamethoxazole Removal from Wastewater Driven by Machine Learning" Separations 13, no. 1: 31. https://doi.org/10.3390/separations13010031
APA StyleTian, N., Zhang, C., Yang, W., Shen, Y., Wang, X., & Cai, J. (2026). Intelligent Pulsed Electrochemical Activation of NaClO2 for Sulfamethoxazole Removal from Wastewater Driven by Machine Learning. Separations, 13(1), 31. https://doi.org/10.3390/separations13010031
