Computational Study on the Separation of Pentane Isomers in Functionalized UiO-66 Metal-Organic Frameworks
Abstract
1. Introduction
2. Computational Methods
2.1. Computational Models
2.1.1. Modeling of Adsorbates (Pentane Isomers)
2.1.2. Modeling of the MOF Network (UiO-66 Variants)
2.1.3. Interaction Parameters and Mixing Rules
2.2. GCMC Simulation Details
2.3. Calculation of Isosteric Heat of Adsorption
3. Results
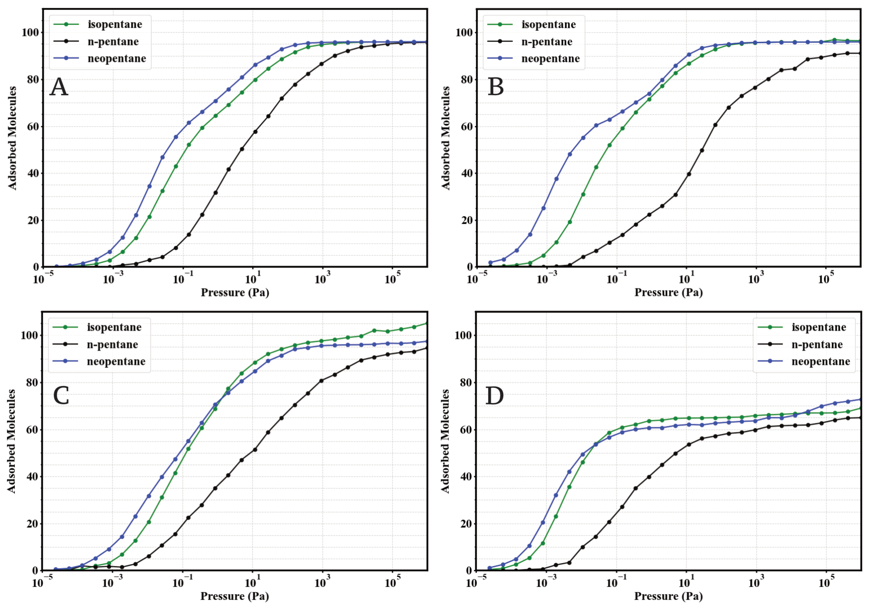
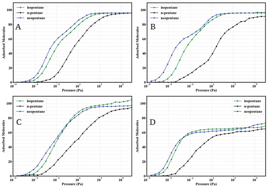
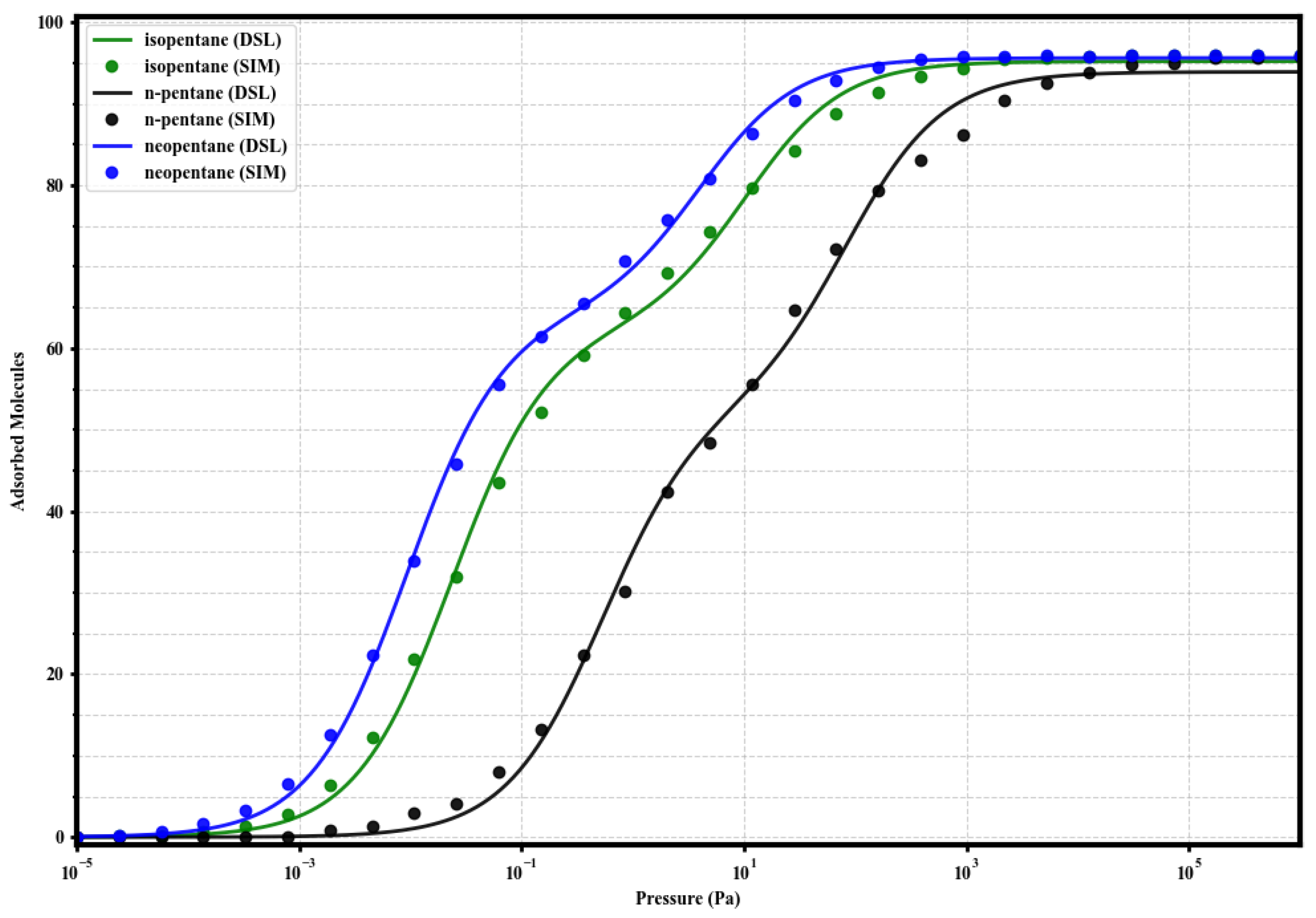
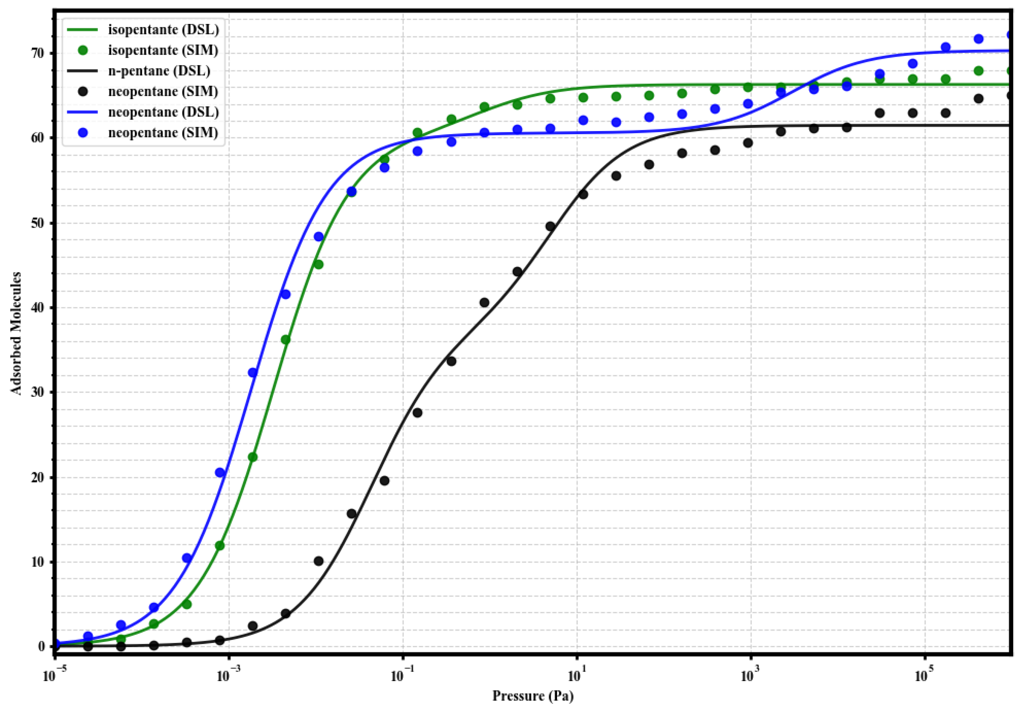
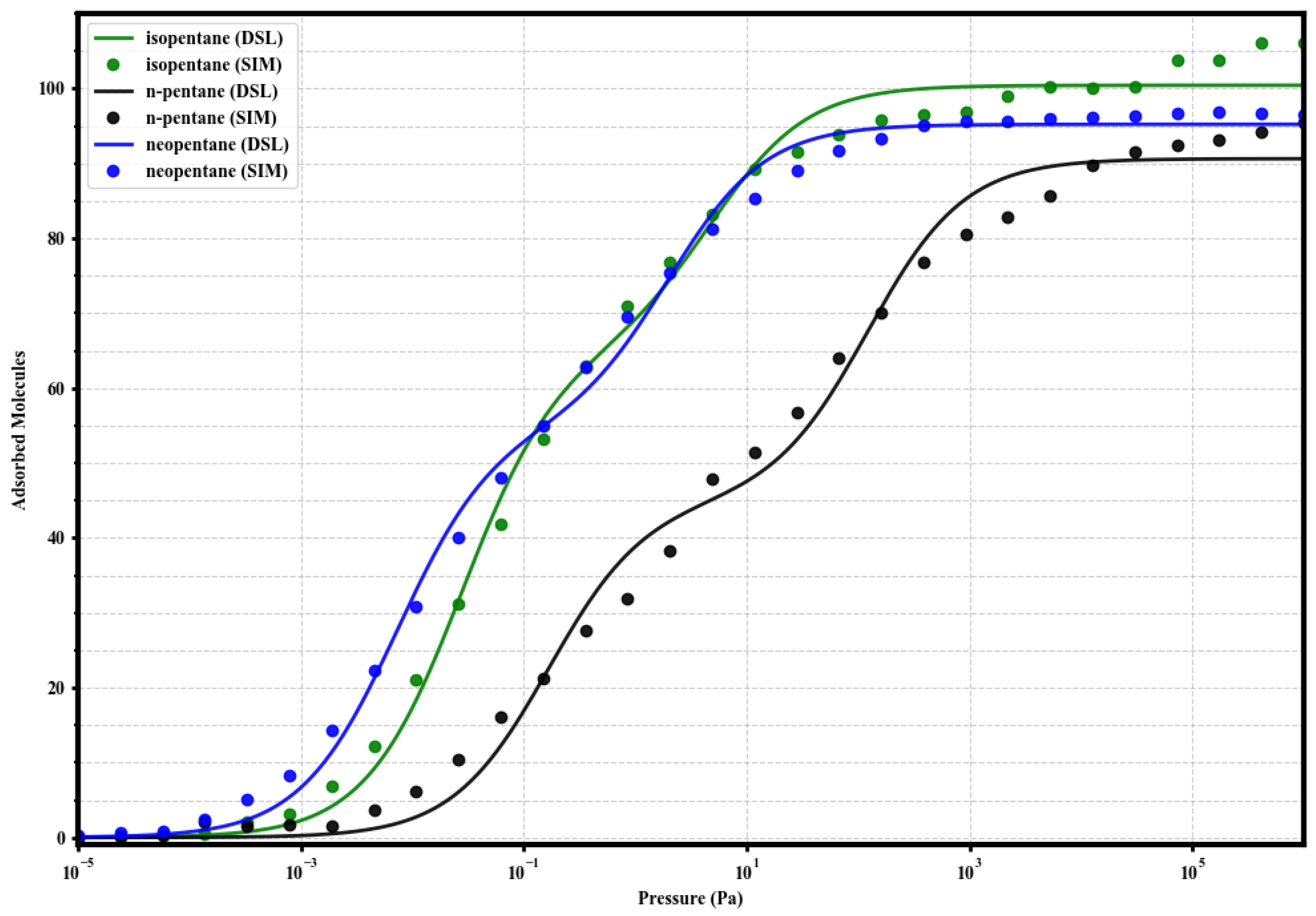
3.1. Single-Component Adsorption of Pentane Isomers
3.2. Isosteric Heats of Adsorption
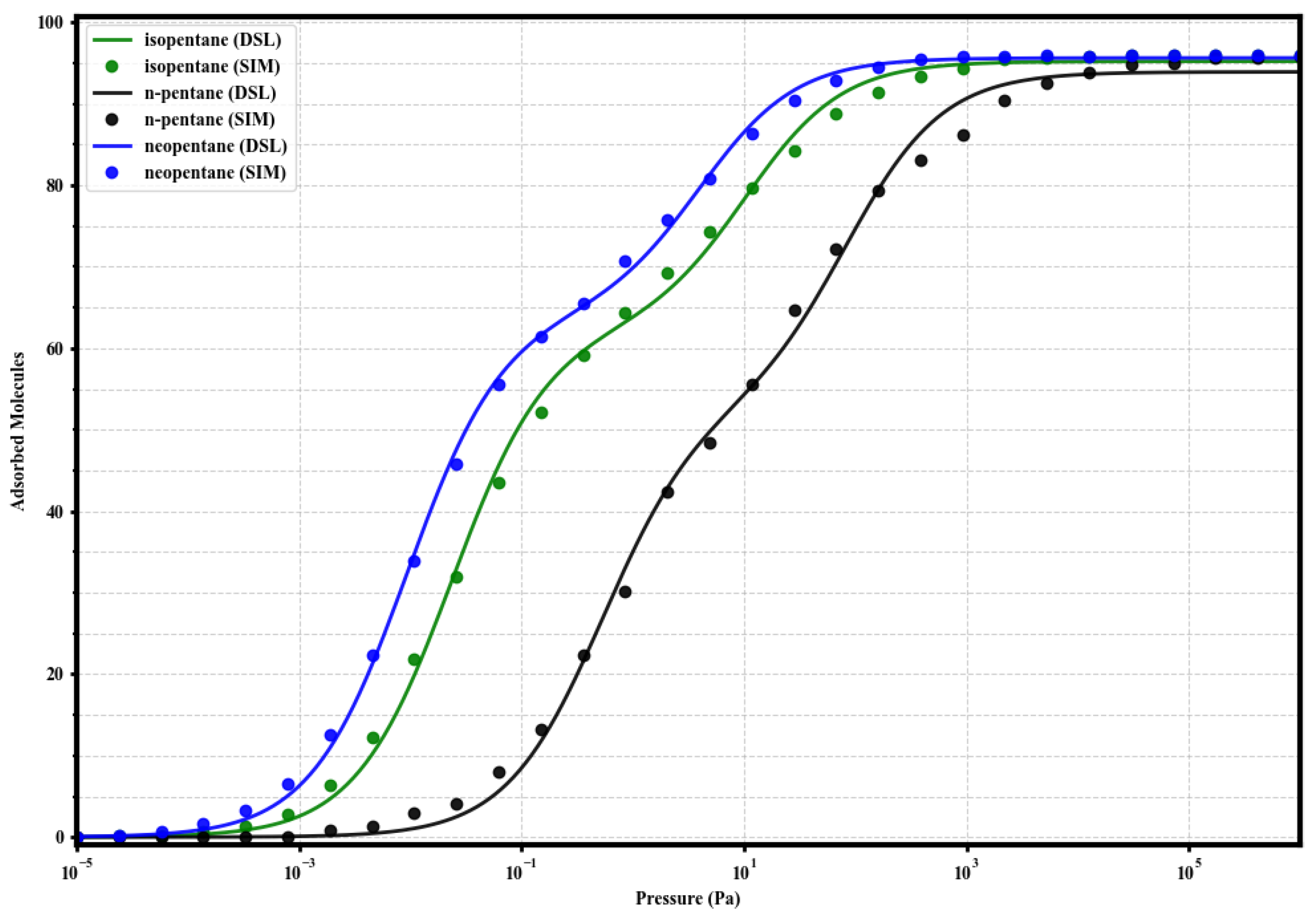
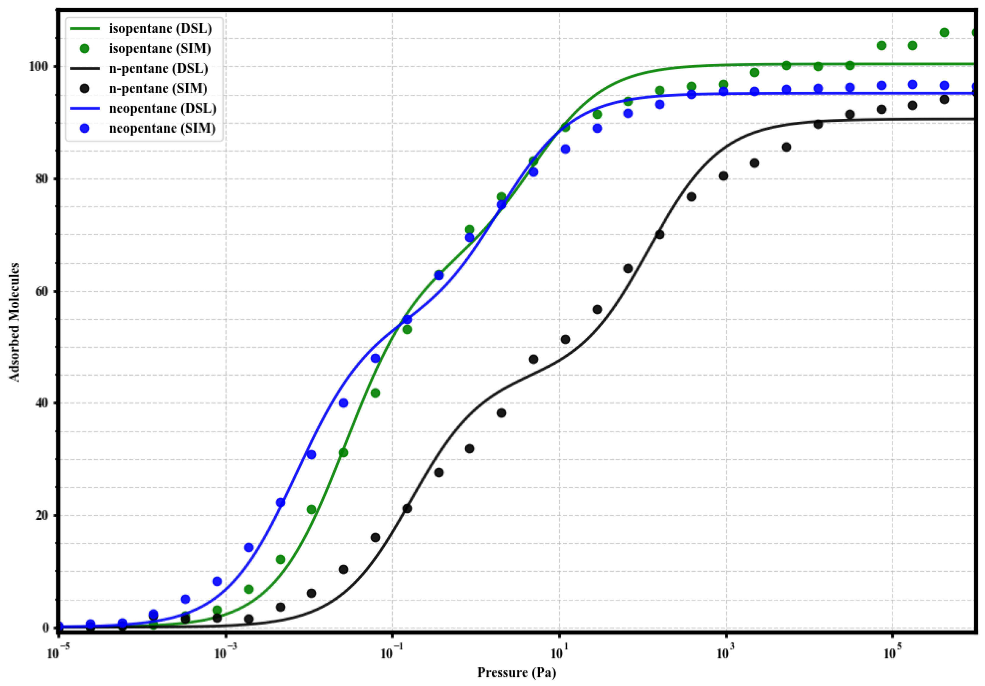
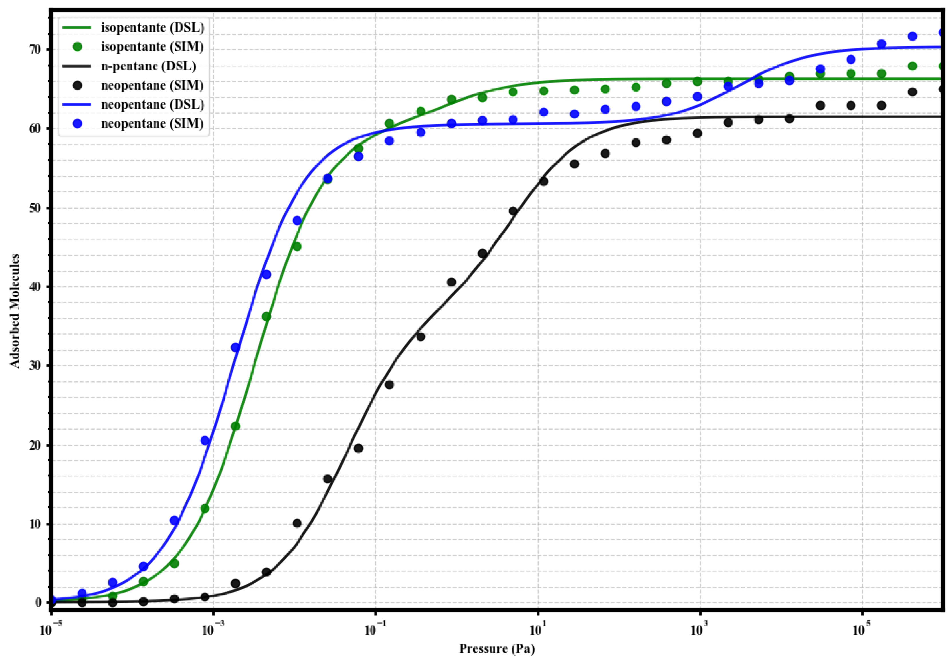
3.3. Modeling of Single-Component Isotherms with Dual-Site Langmuir
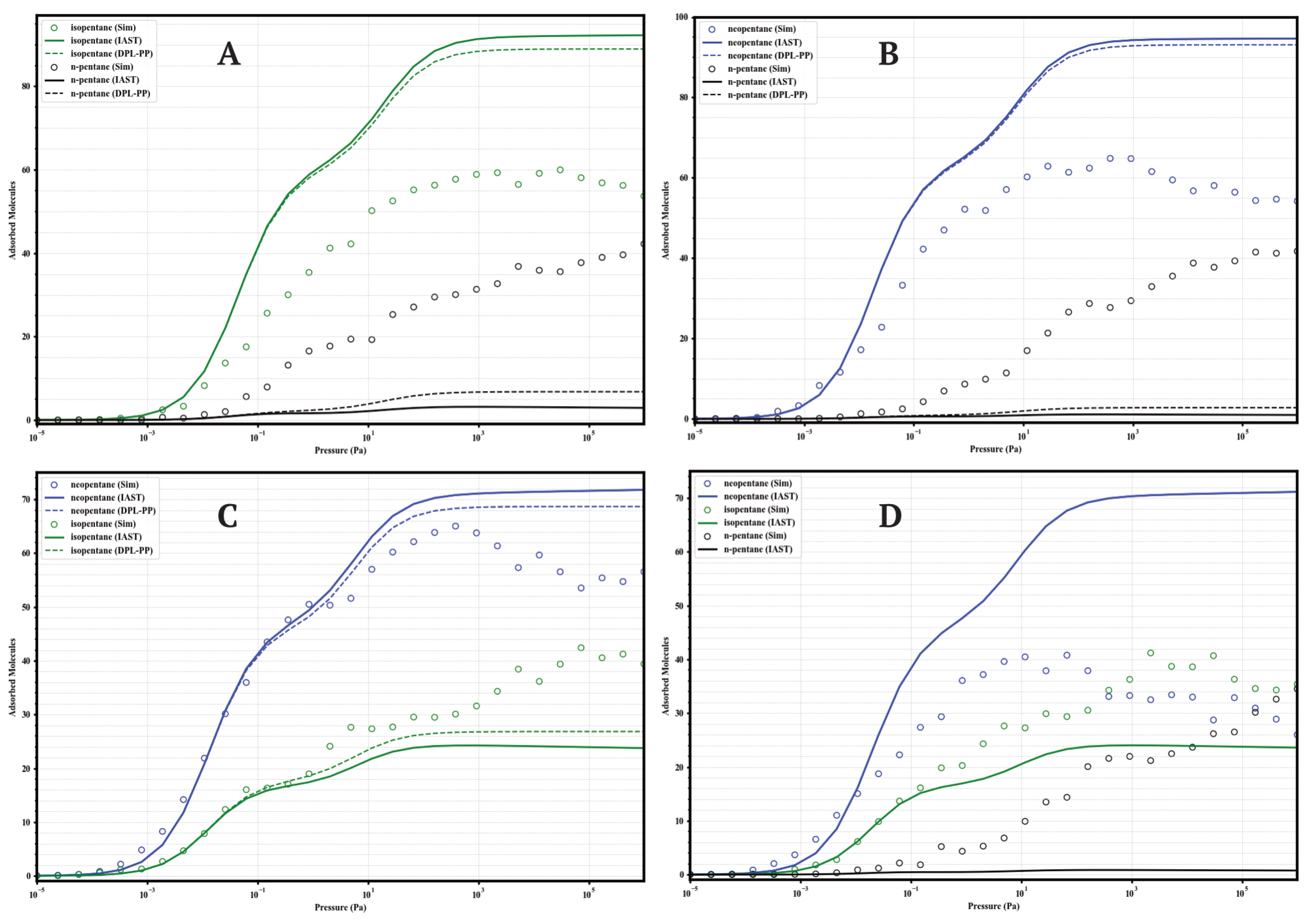
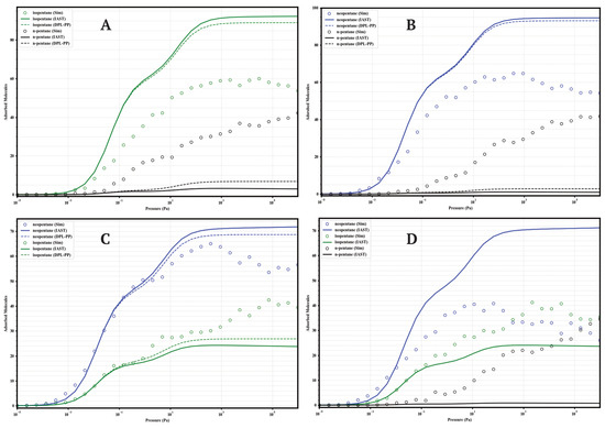
3.4. Simulation of Competitive Adsorption and Comparison with Predictive Models
4. Discussion
4.1. Performance of Individual MOFs in Mixtures
4.1.1. UiO-66-H (Parent)
4.1.2. UiO-66-CH3 (Methylated)
4.1.3. UiO-66-NH2 (Aminated)
4.1.4. UiO-66-COOH (Carboxylated)
4.2. Limitations of Predictive Models
4.3. Mechanisms of Pentane Isomer Separation in Functionalized UiO-66
4.3.1. General Preference for Branched Isomers (Shape Complementarity)
4.3.2. Impact of Linker Functionalization on LJ Interactions and Sterics
- -H (Parent) and -CH3 (Methyl) Groups: The parent MOF (UiO-66-H) establishes the baseline preference for branched isomers. Introducing the methyl group (-CH3), which has a moderate steric effect and its own LJ parameters, does not significantly alter this relative preference. Both materials show very similar affinities () and adsorption behaviors, suggesting that the impact of -CH3 on the overall LJ interactions and accessible pore geometry is minimal for discriminating between C5 isomers compared to the parent material.
- -NH2 (Amino) Group: This functionalization induces the most selective effect, strongly favoring neopentane. Within the LJ model, this is explained by the creation of a geometrically specific and energetically favorable adsorption environment in terms of LJ interactions. The shape, size, and LJ parameters of the N and H atoms of the amino group, situated at a specific position within the cavity, optimize the dispersion (vdW) interactions with the quasi-spherical neopentane molecule. Figure 13 helps visualize how this molecule might fit uniquely and efficiently into this modified “niche”, maximizing its attractive contacts with the framework in a way not accessible to isopentane or n-pentane. This is a clear example of molecular recognition based on shape and optimization of site-specific LJ interactions.
- -COOH (Carboxyl) Group: The main impact of this group is steric hindrance, reflected in the drastic reduction of saturation capacity. Although the initial values for branched isomers are high (suggesting strong initial LJ interactions, possibly with the additional oxygen atoms), the excluded volume by the -COOH group limits the number of molecules that can be adsorbed and hinders efficient packing. The complex selectivity in mixtures suggests a delicate balance between these strong initial interactions and severe steric constraints at higher loadings.
4.3.3. Conclusion on Mechanisms
5. Conclusions
Author Contributions
Funding
Institutional Review Board Statement
Informed Consent Statement
Data Availability Statement
Acknowledgments
Conflicts of Interest
Abbreviations
| BDC | 1,4-Benzenedicarboxylic acid |
| DSL | Dual-Site Langmuir |
| GCMC | Grand Canonical Monte Carlo |
| IAST | Ideal Adsorbed Solution Theory |
| iP | Isopentane |
| LJ | Lennard-Jones |
| MD | Molecular Dynamics |
| MOF | Metal-Organic Framework |
| neoP | Neopentane |
| nP | n-Pentane |
| NVT | Canonical Ensemble (Constant Number of particles, Volume, Temperature) |
| Qst | Isosteric Heat of Adsorption |
| RON | Research Octane Number |
| TraPPE-UA | Transferable Potentials for Phase Equilibria United-Atom |
| UA | United-Atom |
| UFF | Universal Force Field |
| vdW | van der Waals |
References
- Wang, H.; Li, J. Microporous metal–organic frameworks for adsorptive separation of C5–C6 alkane isomers. Acc. Chem. Res. 2019, 52, 1968–1978. [Google Scholar] [CrossRef] [PubMed]
- Chen, R.; Zhou, F.; Sheng, B.; Zhang, Z.; Yang, Q.; Yang, Y.; Ren, Q.; Bao, Z. Robust Nickel Aspartate Framework for Shape Recognition of Hexane Isomers. ACS Sustain. Chem. Eng. 2022, 10, 11330–11337. [Google Scholar] [CrossRef]
- Xie, F.; Yu, L.; Wang, H.; Li, J. Metal-Organic Frameworks for C6 Alkane Separation. Angew. Chem. Int. Ed. 2023, 62, e202300722. [Google Scholar] [CrossRef]
- Zhang, Z.; Peh, S.B.; Kang, C.; Yu, K.; Zhao, D. Efficient Splitting of Alkane Isomers by a Bismuth-Based Metal-Organic Framework with Auxetic Reentrant Pore Structures. Angew. Chem. Int. Ed. 2022, 61, e202211808. [Google Scholar] [CrossRef] [PubMed]
- Luna-Triguero, A.; Gómez-Álvarez, P.; Calero, S. Adsorptive Process Design for the Separation of Hexane Isomers Using Zeolites. Phys. Chem. Chem. Phys. 2017, 19, 5037–5042. [Google Scholar] [CrossRef]
- Wang, H.; Dong, X.; Lin, J.; Teat, S.J.; Jensen, S.; Cure, J.; Alexandrov, E.V.; Xia, Q.; Tan, K.; Wang, Q.; et al. Topologically Guided Tuning of Zr-Mof Pore Structures for Highly Selective Separation of C6 Alkane Isomers. Nat. Commun. 2018, 9, 1745. [Google Scholar] [CrossRef]
- Schenk, M.; Vidal, S.; Vlugt, T.J.H.; Smit, B.; Krishna, R. Separation of Alkane Isomers by Exploiting Entropy Effects During Adsorption on Silicalite-1: A Configurational-Bias Monte Carlo Simulation Study. Langmuir 2001, 17, 7110–7117. [Google Scholar] [CrossRef]
- Cui, W.G.; Hu, T.L.; Bu, X.H. Metal–organic framework materials for the separation and purification of light hydrocarbons. Adv. Mater. 2020, 32, 1806445. [Google Scholar] [CrossRef]
- Arcidiácono, M.; Mártire, A.P.; Allegretto, J.A.; Rafti, M.; Marmisollé, W.A.; Azzaroni, O. Nanoarchitectonics of Metal–Organic Frameworks (MOFs) for energy and sensing applications. Mater. Nanoarchitectonics 2024, 387–428. [Google Scholar] [CrossRef]
- Bobbitt, N.S.; Rosen, A.S.; Snurr, R.Q. Topological effects on separation of alkane isomers in metal- organic frameworks. Fluid Phase Equilib. 2020, 519, 112642. [Google Scholar] [CrossRef]
- Yu, L.; Dong, X.; Gong, Q.; Acharya, S.R.; Lin, Y.; Wang, H.; Han, Y.; Thonhauser, T.; Li, J. Splitting Mono- and Dibranched Alkane Isomers by a Robust Aluminum-Based Metal–Organic Framework Material with Optimal Pore Dimensions. J. Am. Chem. Soc. 2020, 142, 6925–6929. [Google Scholar] [CrossRef] [PubMed]
- Yu, L.; Ullah, S.; Wang, H.; Xia, Q.; Thonhauser, T.; Li, J. High-Capacity Splitting of Mono- and Dibranched Hexane Isomers by a Robust Zinc-Based Metal–Organic Framework. Angew. Chem. Int. Ed. 2022, 61, e202211359. [Google Scholar] [CrossRef] [PubMed]
- Dubbeldam, D.; Krishna, R.; Calero, S.; Yazaydın, A.O. Computer-Assisted Screening of Ordered Crystalline Nanoporous Adsorbents for Separation of Alkane Isomers. Angew. Chem. Int. Ed. 2012, 51, 11867–11871. [Google Scholar] [CrossRef] [PubMed]
- Cavka, J.H.; Jakobsen, S.; Olsbye, U.; Guillou, N.; Lamberti, C.; Bordiga, S.; Lillerud, K.P. A New Zirconium Inorganic Building Brick Forming Metal Organic Frameworks with Exceptional Stability. J. Am. Chem. Soc. 2008, 130, 13850–13851. [Google Scholar] [CrossRef]
- Kandiah, M.; Nilsen, M.H.; Usseglio, S.; Jakobsen, S.; Olsbye, U.; Tilset, M.; Larabi, C.; Quadrelli, E.A.; Bonino, F.; Lillerud, K.P. Synthesis and Stability of Tagged UiO-66 Zr-MOFs. Chem. Mater. 2010, 22, 6632–6640. [Google Scholar] [CrossRef]
- DeCoste, J.B.; Peterson, G.W.; Jasuja, H.; Glover, T.G.; Huang, Y.G.; Walton, K.S. Stability and Degradation Mechanisms of Metal–organic Frameworks Containing the Zr6O4(OH)4 Secondary Building Unit. J. Mater. Chem. A 2013, 1, 5642–5652. [Google Scholar] [CrossRef]
- Lü, G.; Cui, C.; Zhang, W.; Liu, Y.; Huo, F. Synthesis and Self-Assembly of Monodispersed Metal-Organic Framework Microcrystals. Chem. Asian J. 2012, 7, 2298–2301. [Google Scholar] [CrossRef]
- Rada, Z.H.; Abid, H.R.; Shang, J.; Sun, H.; He, Y.; Webley, P.A.; Liu, S.; Wang, S. Functionalized UiO-66 by Single and Binary (OH)2 and NO2 Groups for Uptake of CO2 and CH4. Ind. Eng. Chem. Res. 2016, 55, 7924–7934. [Google Scholar] [CrossRef]
- Cmarik, G.E.; Kim, M.; Cohen, S.M.; Walton, K.S. Tuning the Adsorption Properties of UiO-66 via Ligand Functionalization. Langmuir 2012, 28, 15606–15613. [Google Scholar] [CrossRef]
- Marshall, R.J.; Forgan, R.S. Postsynthetic Modification of Zirconium Metal-Organic Frameworks. Eur. J. Inorg. Chem. 2016, 2016, 4310–4331. [Google Scholar] [CrossRef]
- Smit, B.; Maesen, T.L.M. Molecular simulations of zeolites: Absorption, diffusion, and reaction. Chem. Rev. 2008, 108, 4125–4184. [Google Scholar] [CrossRef] [PubMed]
- Vaddanam, V.S.; Bootharajan, M.; Sengupta, S.; Sreenivasulu, B.; Rao, C.V.S.B.; Ammath, S. Hydrogen Adsorption Behavior of Highly Stable Assorted Functionalized UiO-66-MOFs at Low Pressures: A Combined Experimental and DFT Study. J. Phys. Chem. C 2023, 127, 14757–14768. [Google Scholar] [CrossRef]
- Hermosilla, M.E.F.; Chávez, N.A.P.; Albesa, A.G. Monte Carlo simulations of n-butane and n-octane adsorbed onto graphite and a molecular model of activated carbon. Adsorption 2019, 25, 1419–1424. [Google Scholar] [CrossRef]
- Gallaba, D.H.; Albesa, A.G.; Migone, A.D. Evidence of gate-opening on xenon adsorption on ZIF-8: An adsorption and computer simulation study. J. Phys. Chem. C 2016, 120, 16649–16657. [Google Scholar] [CrossRef]
- Plimpton, S. Fast Parallel Algorithms for Short-Range Molecular Dynamics. J. Comput. Phys. 1995, 117, 1–19. [Google Scholar] [CrossRef]
- Martin, M.G.; Siepmann, J.I. Transferable potentials for phase equilibria. 1. United-atom description of n-alkanes. J. Phys. Chem. B 1998, 102, 2569–2577. [Google Scholar] [CrossRef]
- Eggimann, B.L.; Sunnarborg, A.J.; Stern, H.D.; Bliss, A.P.; Siepmann, J.I. An Online Parameter and Property Database for the TraPPE Force Field. Mol. Simul. 2014, 40, 101–105. [Google Scholar] [CrossRef]
- Salam, A.; Deleuze, M.S. High-level theoretical study of the conformational equilibrium of n-pentane. J. Chem. Phys. 2002, 116, 1296–1302. [Google Scholar] [CrossRef]
- Yang, Q.; Guillerm, V.; Ragon, F.; Wiersum, A.D.; Llewellyn, P.L.; Zhong, C.; Devic, T.; Serre, C.; Maurin, G. CH4 Storage and CO2 Capture in Highly Porous Zirconium Oxide Based Metal–Organic Frameworks. Chem. Commun. 2012, 48, 9831–9833. [Google Scholar] [CrossRef]
- Mayo, S.L.; Olafson, B.D.; Goddard, W.A. DREIDING: A generic force field for molecular simulations. J. Phys. Chem. 1990, 94, 8897–8909. [Google Scholar] [CrossRef]
- Rappe, A.K.; Casewit, C.J.; Colwell, K.S.; Goddard, W.A., III; Skiff, W.M. UFF, a full periodic table force field for molecular mechanics and molecular dynamics simulations. J. Am. Chem. Soc. 1992, 114, 10024–10035. [Google Scholar] [CrossRef]
- Nicholson, D.; Parsonage, N.G. Computer Simulation and the Statistical Mechanics of Adsorption; Academic Press: London, UK, 1982. [Google Scholar]
- Khudozhitkov, A.E.; Plekhanov, M.S.; Arzumanov, S.S.; Kolokolov, D.I.; Stepanov, A.G. Mobility and separation of linear and branched C5 alkanes in UiO-66 (Zr) probed by 2H NMR and MD simulations. Phys. Chem. Chem. Phys. 2023, 25, 27516–27523. [Google Scholar] [CrossRef] [PubMed]















| Atom/Pseudo-Atom Type | (K) | (Å) |
|---|---|---|
| Adsorbates (TraPPE-UA) | ||
| CH3 (pseudo) | 98.0 | 3.75 |
| CH2 (pseudo) | 46.0 | 3.95 |
| CH (pseudo, isoP) | 10.0 | 4.68 |
| C (pseudo, neoP) | 0.5 | 6.40 |
| MOF Framework (DREIDING/UFF) | ||
| C (MOF) | 47.85 | 3.88 |
| H (MOF) | 7.64 | 2.80 |
| O (MOF) | 45.15 | 3.03 |
| N (MOF, -NH2) | 38.94 | 3.26 |
| Zr † (MOF) | 34.72 | 2.78 |
| System | ||||
|---|---|---|---|---|
| UiO-66-H | ||||
| Neopentane | 64.2 | 108.5 | 31.4 | 0.247 |
| n-Pentane | 52.7 | 1.89 | 41.2 | 1.16 × 10−2 |
| Isopentane | 62.4 | 43.0 | 32.8 | 0.095 |
| UiO-66-CH3 | ||||
| Neopentane | 54.6 | 139.2 | 40.6 | 0.495 |
| n-Pentane | 45.0 | 5.86 | 45.6 | 7.99 × 10−3 |
| Isopentano | 65.0 | 36.2 | 35.4 | 0.201 |
| UiO-66-COOH | ||||
| Neopentane | 60.6 | 551.7 | 9.7 | 3.28 × 10−4 |
| n-Pentane | 37.3 | 2.24 | 24.1 | 0.183 |
| Isopentane | 60.5 | 306.9 | 5.8 | 1.16 |
| UiO-66-NH2 | ||||
| Neopentane | 62.8 | 819.9 | 32.8 | 0.687 |
| n-Pentane | 30.4 | 4.51 | 58.1 | 1.10 × 10−2 |
| Isopentane | 62.2 | 85.5 | 33.3 | 0.369 |
Disclaimer/Publisher’s Note: The statements, opinions and data contained in all publications are solely those of the individual author(s) and contributor(s) and not of MDPI and/or the editor(s). MDPI and/or the editor(s) disclaim responsibility for any injury to people or property resulting from any ideas, methods, instructions or products referred to in the content. |
© 2025 by the authors. Licensee MDPI, Basel, Switzerland. This article is an open access article distributed under the terms and conditions of the Creative Commons Attribution (CC BY) license (https://creativecommons.org/licenses/by/4.0/).
Share and Cite
Pérez-Chávez, N.A.; Rafti, M.; Albesa, A.G. Computational Study on the Separation of Pentane Isomers in Functionalized UiO-66 Metal-Organic Frameworks. Separations 2025, 12, 152. https://doi.org/10.3390/separations12060152
Pérez-Chávez NA, Rafti M, Albesa AG. Computational Study on the Separation of Pentane Isomers in Functionalized UiO-66 Metal-Organic Frameworks. Separations. 2025; 12(6):152. https://doi.org/10.3390/separations12060152
Chicago/Turabian StylePérez-Chávez, Néstor Ariel, Matias Rafti, and Alberto Gustavo Albesa. 2025. "Computational Study on the Separation of Pentane Isomers in Functionalized UiO-66 Metal-Organic Frameworks" Separations 12, no. 6: 152. https://doi.org/10.3390/separations12060152
APA StylePérez-Chávez, N. A., Rafti, M., & Albesa, A. G. (2025). Computational Study on the Separation of Pentane Isomers in Functionalized UiO-66 Metal-Organic Frameworks. Separations, 12(6), 152. https://doi.org/10.3390/separations12060152

