Ultrasound-Assisted Extraction of Phenolic Compounds and Flavonoids from Banana Inflorescence and Characterization of Its Fibrous Residue
Abstract
1. Introduction
2. Materials and Methods
2.1. Raw Material Preparation
2.2. Ultrasound-Assisted Extraction
2.3. Orbital Shaking Extraction
2.4. Total Phenolic Content and Total Flavonoid Content
2.5. Characterization of Extracts Obtained Under Maximized Conditions
2.5.1. Antioxidant Activity
2.5.2. Phytochemical Identification
2.6. Characterization of Residue
2.7. Statistical Analysis
3. Results and Discussion
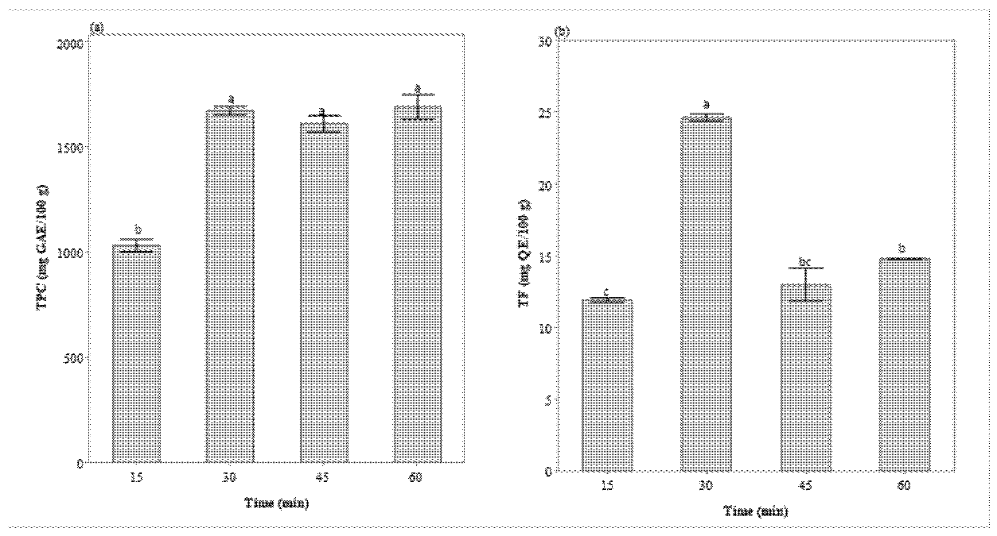
3.1. Conditions of Maximum Extraction of TPC and TFC by UAE
3.2. Characterization of Extracts Obtained by UAE and OSE
3.3. Characterization of Residue of UAE and Untreated Sample
4. Conclusions
Supplementary Materials
Author Contributions
Funding
Data Availability Statement
Acknowledgments
Conflicts of Interest
References
- IBGE—Instituto Brasileiro de Geografia e Estatística. Produção de Banana No Brasil. 2023. Available online: https://www.ibge.gov.br/explica/producao-agropecuaria/banana/br (accessed on 26 February 2025).
- Mathew, N.S.; Negi, P.S. Traditional uses, phytochemistry and pharmacology of wild banana (Musa acuminata Colla): A review. J. Ethnopharmacol. 2017, 196, 124–140. [Google Scholar] [CrossRef] [PubMed]
- Padam, B.S.; Tin, H.S.; Chye, F.Y.; Abdullah, M.I. Banana by-products: An under-utilized renewable food biomass with great potential. J. Food Sci. Technol. 2012, 51, 3527–3545. [Google Scholar] [CrossRef]
- Lau, B.F.; Kong, K.W.; Leong, K.H.; Sun, J.; He, X.; Wang, Z.; Mustafa, M.R.; Ling, T.C.; Ismail, A. Banana inflorescence: Its bio-prospects as an ingredient for functional foods. Trends Food Sci. Technol. 2020, 97, 14–28. [Google Scholar] [CrossRef]
- Kraithong, S.; Issara, U. A strategic review on plant by-product from banana harvesting: A potentially bio-based ingredient for approaching novel food and agro-industry sustainability. J. Saudi Soc. Agric. Sci. 2021, 20, 530–543. [Google Scholar] [CrossRef]
- Thagunna, B.; Kandel, K.; Lamichhane, B. Banana blossom: Nutritional value, health benefits, and its utilization. Rev. Food Agric. 2023, 4, 66. [Google Scholar] [CrossRef]
- Gayathry, K.S.; John, J.A. Phenolic profile, antioxidant, and hypoglycaemic potential of pseudostem and inflorescence extracts of three banana cultivars. Biomass-Convers. Biorefin. 2023, 15, 2387–2395. [Google Scholar] [CrossRef]
- Sheng, Z.W.; Ma, W.H.; Gao, J.H.; Bi, Y.; Zhang, W.M.; Dou, H.T.; Jin, Z.Q. Antioxidant properties of banana flower of two cultivars in China using 2,2-diphenyl-1-picrylhydrazyl (DPPH) reducing power, 2,2′-azinobis-(3-ethylbenzthiazoline-6-sulphonate (ABTS), and inhibition of lipid peroxidation assays. Afr. J. Biotechnol. 2011, 10, 4470–4477. [Google Scholar]
- Qamar, S.; Shaikh, A. Therapeutic potentials and compositional changes of valuable compounds from banana—A review. Trends Food Sci. Technol. 2018, 79, 1–9. [Google Scholar] [CrossRef]
- Bhaskar, J.J.; Mahadevamma, S.; Chilkunda, N.D.; Salimath, P.V. Banana (Musa sp. var. elakki bale) Flower and Pseudostem: Dietary Fiber and Associated Antioxidant Capacity. J. Agric. Food Chem. 2012, 60, 427–432. [Google Scholar] [CrossRef]
- Bai, G.; Bee, J.S.; Biddlecombe, J.G.; Chen, Q.; Leach, W.T. Computational fluid dynamics (CFD) insights into agitation stress methods in biopharmaceutical development. Int. J. Pharm. X 2012, 423, 264–280. [Google Scholar] [CrossRef]
- Espada-Bellido, E.; Ferreiro-González, M.; Carrera, C.; Palma, M.; Barroso, C.G.; Barbero, G.F. Optimization of the ultrasound-assisted extraction of anthocyanins and total phenolic compounds in mulberry (Morus nigra) pulp. Food Chem. 2017, 219, 23–32. [Google Scholar] [CrossRef] [PubMed]
- Chemat, F.; Rombaut, N.; Sicaire, A.-G.; Meullemiestre, A.; Fabiano-Tixier, A.-S.; Abert-Vian, M. Ultrasound-assisted extraction of food and natural products. Mechanisms, techniques, combinations, protocols and applications. A review. Ultrason. Sonochem. 2017, 34, 540–560. [Google Scholar] [CrossRef]
- Rusli, R.; Mahata, M.; Yuniza, A.; Zurmiati, Z.; Reski, S.; Hidayat, C.; Hilmi, M.; Mutia, R. Optimization of solvent and extraction time on secondary metabolite content of mangosteen leaf (Garcinia mangostana L.) as a feed additive candidate on poultry. J. Adv. Veter-Anim. Res. 2024, 11, 139. [Google Scholar] [CrossRef]
- Strižincová, P.; Šurina, I.; Jablonský, M.; Majová, V.; Ház, A.; Hroboňová, K.; Špačková, A. Analyzing the effect of extraction parameters on phenolic composition and selected compounds in clove buds using choline chloride and lactic acid as extraction agents. Processes 2024, 12, 653. [Google Scholar] [CrossRef]
- Schmidt, M.M.; Prestes, R.C.; Kubota, E.H.; Scapin, G.; Mazutti, M.A. Evaluation of antioxidant activity of extracts of banana inflorescences (Musa cavendishii). CyTA—J. Food 2015, 13, 498–505. [Google Scholar] [CrossRef]
- Caldas, T.W.; Mazza, K.E.L.; Teles, A.S.C.; Mattos, G.N.; Brígida, A.I.S.; Conte-Junior, C.A.; Borguini, R.G.; Godoy, R.L.O.; Cabral, L.M.C.; Tonon, R.V. Phenolic compounds recovery from grape skin using conventional and non-conventional extraction methods. Ind. Crop Prod. 2018, 111, 86–91. [Google Scholar] [CrossRef]
- Singleton, V.L.; Orthofer, R.; Lamuela-Raventós, R.M. Analysis of total phenols and other oxidation substrates and antioxidants by means of folin-ciocalteu reagent. Methods Enzymol. 1999, 299, 152–178. [Google Scholar]
- Boateng, J.; Verghese, M.; Walker, L.; Ogutu, S. Effect of processing on antioxidant contents in selected dry beans (Phaseolus spp. L.). LWT-Food Sci. Technol. 2008, 41, 1541–1547. [Google Scholar] [CrossRef]
- Thaipong, K.; Boonprakob, U.; Crosby, K.; Cisneros-Zevallos, L.; Hawkins Byrne, D. Comparison of ABTS, DPPH, FRAP, and ORAC assays for estimating antioxidant activity from guava fruit extracts. J. Food Compos. Anal. 2006, 19, 669–675. [Google Scholar] [CrossRef]
- Stevanato, N.; Hoscheid, J.; Peron, A.P.; Coelho, É.M.P.; da Silva, C.; da Silva, E.A. Green extraction of valuable compounds from the byproduct of oil extraction from forage radish seed. Ind. Crops Prod. 2025, 224, 120257. [Google Scholar] [CrossRef]
- AOAC (Association of Official Analytical Chemists). Official Methods of Analysis, 22nd ed.; AOAC International: Rockville, MD, USA, 2023. [Google Scholar]
- Seibel, N.F.; Beléia, A. The chemical characteristics and technological functionality of soybean-based ingredients [Glycine max (L.) Merrill]: Carbohydrates and proteins. Braz. J. Food Technol. 2009, 12, 113–122. [Google Scholar] [CrossRef]
- Irakli, M.; Chatzopoulou, P.; Ekateriniadou, L. Optimization of ultrasound-assisted extraction of phenolic compounds: Oleuropein, phenolic acids, phenolic alcohols and flavonoids from olive leaves and evaluation of its antioxidant activities. Ind. Crop Prod. 2018, 124, 382–388. [Google Scholar] [CrossRef]
- Beaufils, N.; Boucher, J.; Peydecastaing, J.; Rigal, L.; Vilarem, G.; Villette, M.-J.; Candy, L.; Pontalier, P.-Y. The effect of time and temperature on the extraction of xylose and total phenolic compounds with pressurized hot water from hardwood species used for pulp and paper production in the South of France. Bioresour. Technol. Rep. 2021, 16, 100832. [Google Scholar] [CrossRef]
- Neves, M.I.L.; Strieder, M.M.; Vardanega, R.; Silva, E.K.; Meireles, M.A.A. Biorefinery of turmeric (Curcuma longa L.) using non-thermal and clean emerging technologies: An update on the curcumin recovery step. RSC Adv. 2020, 10, 112–121. [Google Scholar] [CrossRef]
- Girotto, L.M.; Herrig, S.P.; Nunes, M.G.I.; Sakai, O.A.; Barros, B.C. Extraction of phenolic compounds from Pfaffia glomerata leaves and evaluation of composition, antioxidant and antibacterial properties. An. Acad. Bras. Ciências 2025, 97, e20240317. [Google Scholar] [CrossRef] [PubMed]
- Basumatary, S.; Nath, N. Assessment of chemical compositions and in vitro antioxidant properties of Musa balbisiana Colla inflorescence. Int. J. Pharm. Res. 2018, 10, 80–95. [Google Scholar]
- Al-Dhabi, N.; Karuppiah, P.; Maran, P. Development and Validation of Ultrasound-Assisted Solid-Liquid Extraction of Phenolic Compounds from Waste Spent Coffee Grounds. Ultrason. Sonochem. 2016, 34, 206–213. [Google Scholar] [CrossRef]
- Zampar, G.G.; Zampar, I.C.; Beserra da Silva de Souza, S.; da Silva, C.; Barros, B.C.B. Effect of solvent mixtures on the ultrasound-assisted extraction of compounds from pineapple by-product. Food Biosci. 2022, 50, 102098. [Google Scholar] [CrossRef]
- Şahin, S.; Şamlı, R. Optimization of olive leaf extract obtained by ultrasound-assisted extraction with response surface methodology. Ultrason. Sonochem. 2013, 20, 595–602. [Google Scholar] [CrossRef]
- Wen, C.; Zhang, J.; Zhang, H.; Dzah, C.S.; Zandile, M.; Duan, Y.; Ma, H.; Luo, X. Advances in ultrasound assisted extraction of bioactive compounds from cash crops—A review. Ultrason. Sonochem. 2018, 48, 538–549. [Google Scholar] [CrossRef]
- Yang, S.; Liu, B.; Tang, M.; Yang, J.; Kuang, Y.; Zhang, M.; Zhang, C.; Wang, C.; Qin, J.; Guo, L.; et al. Extraction of flavonoids from Cyclocarya paliurus (Juglandaceae) leaves using ethanol/salt aqueous two-phase system coupled with ultrasonic. J. Food Process. Preserv. 2020, 44, e14469. [Google Scholar] [CrossRef]
- Donadone, D.B.d.S.; Giombelli, C.; Silva, D.L.G.; Stevanato, N.; Silva, C.; Barros, B.C.B. Ultrasound-assisted extraction of phenolic compounds and soluble sugars from the stem portion of peach palm. J. Food Process. Preserv. 2020, 44, e14636. [Google Scholar]
- Nipornram, S.; Tochampa, W.; Rattanatraiwong, P.; Singanusong, R. Optimization of low power ultrasound-assisted extraction of phenolic compounds from mandarin (Citrus reticulata Blanco cv. Sainampueng) peel. Food Chem. 2018, 241, 338–345. [Google Scholar] [CrossRef]
- Shen, L.; Pang, S.; Zhong, M.; Sun, Y.; Qayum, A.; Liu, Y.; Rashid, A.; Xu, B.; Liang, Q.; Ma, H.; et al. A comprehensive review of ultrasonic assisted extraction (UAE) for bioactive components: Principles, advantages, equipment, and combined technologies. Ultrason. Sonochem. 2023, 101, 106646. [Google Scholar] [CrossRef]
- Nisha, P.; Mini, S. Flavanoid-rich ethyl acetate fraction of Musa paradisiaca inflorescence down-regulates the streptozotocin-induced oxidative stress, hyperglycaemia and mRNA levels of selected inflammatory genes in rats. J. Funct. Foods 2013, 5, 1838–1847. [Google Scholar] [CrossRef]
- Gayathry, K.S.; John, J.A. Physical, functional and bioactive properties of microencapsulated powders from banana pseudostem and inflorescence extracts. Food Prod. Process. Nutr. 2024, 6, 74. [Google Scholar] [CrossRef]
- Ramu, R.; Shirahatti, P.; Anilakumar, K.; Nayakavadi, S.; Zameer, F.; Dhananjaya, B.; Prasad, M.N. Assessment of nutritional quality and global antioxidant response of banana (Musa sp. CV. Nanjangud Rasa Bale) pseudostem and flower. Pharmacogn. Res. 2017, 9 (Suppl. S1), S74. [Google Scholar]
- Sheng, Z.W.; Ma, W.H.; Jin, Z.Q.; Bi, Y.; Sun, Z.G.; Dou, H.T.; Li, J.Y.; Han, L.N. Investigation of dietary fiber, protein, vitamin E, and other nutritional compounds of the banana flower of two cultivars grown in China. Afr. J. Biotechnol. 2010, 9, 3888–3895. [Google Scholar]
- Krishnan, S.A.; Sinija, V.R. Proximate composition and antioxidant activity of banana blossom of two cultivars in India. Int. J. Agric. Food Sci. Technol. 2016, 7, 13–22. [Google Scholar]
- Marikkar, J.M.N.; Tan, S.J.; Salleh, A.; Azrina, A.; Shukri, M.A. Evaluation of banana (Musa sp.) flowers of selected varieties for their antioxidative and antihyperglycemic potentials. Int. Food Res. J. 2016, 23, 1988–1995. [Google Scholar]
- Benali, T.; Bakrim, S.; Ghchime, R.; Benkhaira, N.; El Omari, N.; Balahbib, A.; Taha, D.; Zengin, G.; Hasan, M.M.; Bibi, S.; et al. Pharmacological insights into the multifaceted biological properties of quinic acid. Biotechnol. Genet. Eng. Rev. 2024, 40, 3408–3437. [Google Scholar] [CrossRef] [PubMed]
- Kaur, G.; Shivanandappa, T.B.; Kumar, M.; Kushwah, A.S. Fumaric acid protect the cadmium-induced hepatotoxicity in rats: Owing to its antioxidant, anti-inflammatory action and aid in recast the liver function. Naunyn-Schmiedeberg’s Arch. Pharmacol. 2020, 393, 1911–1920. [Google Scholar] [CrossRef] [PubMed]
- Sadowska-Bartosz, I.; Bartosz, G. Evaluation of The Antioxidant Capacity of Food Products: Methods, Applications and Limitations. Processes 2022, 10, 2031. [Google Scholar] [CrossRef]
- Rumpf, J.; Burger, R.; Schulze, M. Statistical evaluation of DPPH, ABTS, FRAP, and Folin-Ciocalteu assays to assess the antioxidant capacity of lignins. Int. J. Biol. Macromol. 2023, 233, 123470. [Google Scholar] [CrossRef]
- Akhlaghi, M. The role of dietary fibers in regulating appetite, an overview of mechanisms and weight consequences. Crit. Rev. Food Sci. Nutr. 2024, 64, 3139–3150. [Google Scholar] [CrossRef]
- Felli, R.; Yang, T.A.; Abdullah, W.N.W.; Zzaman, W. Effects of incorporation of jackfruit rind powder on chemical and functional properties of bread. Trop. Life Sci. Res. 2018, 29, 113. [Google Scholar] [CrossRef] [PubMed]
- Lima, L.E.d.M.; Maciel, B.L.L.; Passos, T.S. Oil frying processes and alternative flour coatings: Physicochemical, nutritional, and sensory parameters of meat products. Foods 2024, 13, 512. [Google Scholar] [CrossRef]
- Kunyanee, K.; Ngo, T.; Kasumawardani, S.; Luangsakul, N. Enhancing banana flour quality through physical modifications and its application in gluten-free chips product. Foods 2024, 13, 593. [Google Scholar] [CrossRef]
- Bakar, S.K.S.A.; Ahmad, N.; Jailani, F. Chemical and functional properties of local banana peel flour. J. Food Nutr. Res. 2018, 6, 492–496. [Google Scholar]
- Jha, P.; Meghwal, M.; Prabhakar, P.K.; Singh, A. Exploring effects of different pretreatments on drying kinetics, moisture diffusion, physico-functional, and flow properties of banana flower powder. J. Food Process. Preserv. 2021, 45, e15356. [Google Scholar] [CrossRef]
- Asouzu, I.; Oly-Alawuba, N.M.; Umerah, N.N. Functional Properties and Chemical Composition of Composite Flour Made from Cooking Banana (Musa paradisiaca) and Yellow Maize (Zea mays). Res. J. Food Nutri. 2020, 4, 6–12. [Google Scholar] [CrossRef]
- Deb, S.; Kumar, Y.; Saxena, D. Functional, thermal and structural properties of fractionated protein from waste banana peel. Food Chem. X 2022, 13, 100205. [Google Scholar] [CrossRef] [PubMed]
- Shafiei, M.; Kazemzadeh, Y.; Martyushev, D.A.; Dai, Z.; Riazi, M. Effect of chemicals on the phase and viscosity behavior of water in oil emulsions. Sci. Rep. 2023, 13, 4100. [Google Scholar] [CrossRef] [PubMed]
- Popovska, O. Determination of some flour characteristics. Eur. J. Agric. Food Sci. 2023, 5, 8–12. [Google Scholar] [CrossRef]
- Vu, H.T.; Scarlett, C.J.; Vuong, Q.V. Effects of drying conditions on physicochemical and antioxidant properties of banana (Musa cavendish) peels. Dry. Technol. 2017, 35, 1141–1151. [Google Scholar] [CrossRef]


| Encoded (Decoded) Independent Variables | Dependent Variables | ||||
|---|---|---|---|---|---|
| Assay | Power (W) | Temperature (°C) | S/S Ratio (g/mL) | TPC (mg GAE/100 g, d.b.) | TFC (mg QE/100 g, d.b.) |
| 1 | −1 (200) | −1 (25) | 0 (1:20) | 871.27 f ± 15.11 | 14.55 g ± 0.39 |
| 2 | 1 (500) | −1 (25) | 0 (1:20) | 966.39 ef ± 34.19 | 16.14 fg ± 0.35 |
| 3 | −1 (200) | 1 (55) | 0 (1:20) | 1447.37 b ± 84.36 | 17.81 def ± 0.61 |
| 4 | 1 (500) | 1 (55) | 0 (1:20) | 1604.74 a ± 80.31 | 19.28 cd ± 1.45 |
| 5 | −1 (200) | 0 (40) | −1 (1:10) | 885.46 f ± 17.21 | 14.39 g ± 0.61 |
| 6 | 1 (500) | 0 (40) | −1 (1:10) | 902.03 f ± 22.67 | 10.49 h ± 0.21 |
| 7 | −1 (200) | 0 (40) | 1 (1:30) | 1273.11 c ± 68.8 | 20.60 bc ± 0.22 |
| 8 | 1 (500) | 0 (40) | 1 (1:30) | 1348.63 bc ± 33.9 | 21.57 ab ± 0.39 |
| 9 | 0 (350) | −1 (25) | −1 (1:10) | 591.77 g ± 21.49 | 11.35 h ± 0.43 |
| 10 | 0 (350) | 1 (55) | −1 (1:10) | 1231.29 cd ± 67.07 | 14.64 g ± 0.52 |
| 11 | 0 (350) | −1 (25) | 1 (1:30) | 1096.20 de ± 35.71 | 18.11 de ± 0.33 |
| 12 | 0 (350) | 1 (55) | 1 (1:30) | 1637.12 a ± 62.66 | 22.97 a ± 0.05 |
| 13 | 0 (350) | 0 (40) | 0 (1:20) | 1227.81 cd ± 34.94 | 18.13 de ± 0.81 |
| 14 | 0 (350) | 0 (40) | 0 (1:20) | 1233.63 cd ± 33.40 | 17.03 ef ± 1.32 |
| 15 | 0 (350) | 0 (40) | 0 (1:20) | 1281.68 c ± 22.50 | 18.21 de ± 0.25 |
| Variable | TPC | TFC | ||||
|---|---|---|---|---|---|---|
| Effect | p-Value | Coefficient | Effect | p-Value | Coefficient | |
| (X1) | 86.15 | 0.05 | 43.07 | 0.03 | 0.96 | 0.02 |
| (X12) | 31.03 | 0.18 | 15.51 | 0.42 | 0.34 | 0.21 |
| (X2) | 598.72 | <0.01 | 299.36 | 3.64 | 0.05 | 1.82 |
| (X22) | −5.72 | 0.74 | −2.88 | 0.42 | 0.35 | 0.21 |
| (X3) | 436.13 | <0.01 | 218.06 | 8.10 | 0.03 | 4.05 |
| (X32) | 112.57 | 0.02 | −112.57 | 0.60 | 0.22 | 0.30 |
| X1X2 | 31.12 | 0.40 | 15.56 | −0.06 | 0.94 | −0.03 |
| X1X3 | 29.47 | 0.42 | 14.74 | 2.43 | 0.07 | 1.22 |
| X2X3 | −49.30 | 0.24 | −24.65 | 0.78 | 0.36 | 0.39 |
| Compound | UAE (mg/100 g) | OSE (mg/100 g) |
|---|---|---|
| Naringin | <0.01 | <0.01 |
| Rutin | 1.31 a ± 0.13 | 0.54 b ± 0.07 |
| Catechin | 0.11 ± 0.01 | n.d. |
| Epicatechin | 0.13 ± 0.01 | n.d. |
| Isovanillin | 0.40 a ± 0.02 | 0.90 b ± 0.03 |
| Hydroxybenzaldehyde | 0.80 a ± 0.05 | 0.40 b ± 0.00 |
| Chlorogenic acid | 0.09 ± 0.02 | n.d. |
| Caffeine | 0.11 a ± 0.00 | 0.06 b ± 0.00 |
| Nicotinic acid | 0.98 a ± 0.02 | 0.38 b ± 0.02 |
| Gallic acid | 0.14 a ± 0.01 | 0.12 a ± 0.00 |
| Syringic acid | 0.22 a ± 0.00 | 0.09 b ± 0.00 |
| Protocatechuic acid | 1.48 a ± 0.00 | 0.53 b ± 0.02 |
| Vanillic acid | 0.29 a ± 0.03 | 0.17 b ± 0.01 |
| Vanillin | 1.10 a ± 0.03 | 0.44 b ± 0.03 |
| Ferulic acid | 0.32 a ± 0.03 | 0.11 b ± 0.01 |
| p-hydroxybenzoic acid | 1.80 a ± 0.04 | 0.57 b ± 0.03 |
| p-coumaric acid | 0.56 a ± 0.03 | 0.14 b ± 0.00 |
| Caffeic acid | 0.08 ± 0.00 | n.d. |
| Sinapaldehyde | 0.03 ± 0.01 | <0.01 |
| Malic acid | 19.24 a ± 0.93 | 7.81 b ± 0.54 |
| Fumaric acid | 29.18 a ± 0.27 | 10.82 b ± 0.25 |
| Quinic acid | 40.51 a ± 0.47 | 24.16 b ± 0.52 |
| Method | UAE 1 | OSE 2 |
|---|---|---|
| DPPH (µmol TE/g) | 53.21 ± 0.15 a | 3.52 ± <0.01 b |
| ABTS (µmol TE/g) | 194.32 ± 0.37 a | 106.45 ± 2.11 b |
| FRAP (µmol TE/g) | 368.11 ± 4.30 a | 98.46 ± 0.29 b |
| Treatment | ||
|---|---|---|
| Residue of BI Extraction (1) | Untreated BI | |
| Composition | ||
| Ashes (g/100 g, d.b.) | 10.47 a ± 0.49 | 11.52 a ± 0.59 |
| Proteins (g/100 g, d.b.) | 15.35 b ± 0.14 | 16.35 a ± 0.41 |
| Total dietary fiber (g/100 g, d.b.) | 71.91 a ± 3.92 | 63.02 b ± 1.91 |
| Insoluble fiber (g/100 g, d.b.) | 68.43 a ± 3.16 | 59.75 b ± 1.27 |
| Soluble fiber (g/100 g, d.b.) | 3.48 a ± 0.76 | 3.45 a ± 0.64 |
| Functional properties | ||
| Oil absorption index (g/g) | 5.78 a ± 0.05 | 3.62 b ± 0.27 |
| Water absorption index (g/g) | 10.67 a ± 0.15 | 11.19 a ± 0.96 |
| Water solubility index (%) | 22.29 a ± 0.84 | 23.43 a ± 2.80 |
| Emulsifying activity (%) | 41.99 a ± 1.44 | 44.96 a ± 1.66 |
| Emulsifying stability (%) | 41.85 a ± 2.9 | 44.60 a ± 2.13 |
| Color coordinates | ||
| L* (lightness) | 47.20 a ± 1.30 | 47.48 a ± 0.38 |
| a* (red/green coordinate) | 1.75 a ± 0.20 | 1.78 a ± 0.06 |
| b* (yellow/blue coordinate) | 7.37 a ± 0.58 | 6.81 a ± 0.26 |
Disclaimer/Publisher’s Note: The statements, opinions and data contained in all publications are solely those of the individual author(s) and contributor(s) and not of MDPI and/or the editor(s). MDPI and/or the editor(s) disclaim responsibility for any injury to people or property resulting from any ideas, methods, instructions or products referred to in the content. |
© 2025 by the authors. Licensee MDPI, Basel, Switzerland. This article is an open access article distributed under the terms and conditions of the Creative Commons Attribution (CC BY) license (https://creativecommons.org/licenses/by/4.0/).
Share and Cite
Dias Bertoco Júnior, F.; Marusa Pergo Coelho, É.; Feiten, M.C.; Bolanho Barros, B.C. Ultrasound-Assisted Extraction of Phenolic Compounds and Flavonoids from Banana Inflorescence and Characterization of Its Fibrous Residue. Separations 2025, 12, 109. https://doi.org/10.3390/separations12050109
Dias Bertoco Júnior F, Marusa Pergo Coelho É, Feiten MC, Bolanho Barros BC. Ultrasound-Assisted Extraction of Phenolic Compounds and Flavonoids from Banana Inflorescence and Characterization of Its Fibrous Residue. Separations. 2025; 12(5):109. https://doi.org/10.3390/separations12050109
Chicago/Turabian StyleDias Bertoco Júnior, Fábio, Érica Marusa Pergo Coelho, Mirian Cristina Feiten, and Beatriz Cervejeira Bolanho Barros. 2025. "Ultrasound-Assisted Extraction of Phenolic Compounds and Flavonoids from Banana Inflorescence and Characterization of Its Fibrous Residue" Separations 12, no. 5: 109. https://doi.org/10.3390/separations12050109
APA StyleDias Bertoco Júnior, F., Marusa Pergo Coelho, É., Feiten, M. C., & Bolanho Barros, B. C. (2025). Ultrasound-Assisted Extraction of Phenolic Compounds and Flavonoids from Banana Inflorescence and Characterization of Its Fibrous Residue. Separations, 12(5), 109. https://doi.org/10.3390/separations12050109

