Next Article in Journal
Adsorption of Cr(III) by IRA-900 Resin in Sodium Phosphite and Sulfuric Acid System
Next Article in Special Issue
Artemisia frigida Willd.: Advances in Traditional Uses, Phytochemical Constituents, Extraction and Separation Methods, and Pharmacological Activities
Previous Article in Journal
Variations in Quantitative Composition of Phenolic Compounds in Flowers, Leaves, and Fruits of Mespilus germanica L. During Harvesting Period
 
 
Font Type:
Arial Georgia Verdana
Font Size:
Aa Aa Aa
Line Spacing:
Column Width:
Background:
Article

Ultrasound-Assisted Deep Eutectic Solvent Extraction of Flavonoids from Cercis chinensis Seeds: Optimization, Kinetics and Antioxidant Activity

1
Food and Pharmacy College, Xuchang University, Xuchang 461000, China
2
Collaborative Innovation Center of Functional Food by Green Manufacturing, Xuchang 461000, China
3
School of Life Sciences, Henan University, Kaifeng 475004, China
4
College of Chemical and Materials Engineering, Xuchang University, Xuchang 461000, China
5
Yanling Zhonglin Garden Engineering Co., Ltd., Xuchang 461000, China
*
Authors to whom correspondence should be addressed.
These authors contributed equally to this work and share first authorship.
Separations 2025, 12(10), 269; https://doi.org/10.3390/separations12100269
Submission received: 5 September 2025 / Revised: 29 September 2025 / Accepted: 30 September 2025 / Published: 2 October 2025

Abstract

This study establishes an efficient and eco-friendly ultrasound-assisted extraction (UAE) method for total flavonoids present in Cercis chinensis seeds using natural deep eutectic solvents (NADES). Among nine NADES formulations screened, choline chloride–levulinic acid (ChCl–Lev, 1:2) demonstrated optimal performance, yielding 112.1 mg/g total flavonoids. Through Response Surface Methodology (RSM), the ultrasound-assisted extraction (UAE) parameters were explored. Under the optimized conditions (water content of 30%, time of 28 min, temperature of 60 °C, and solvent-to-solid ratio of 1:25 g/mL), the total flavonoid yield reached 128.5 mg/g, representing a 195% improvement compared to conventional ethanol extraction. The recyclability of NADES was successfully achieved via AB-8 macroporous resin, retaining 80.89% efficiency after three cycles. Extraction kinetics, modeled using Fick’s second law, confirmed that the rate constant (k) increased with temperature, highlighting temperature-dependent diffusivity as a key driver of efficiency. The extracted flavonoids exhibited potent antioxidant activity, with IC50 values of 0.86 mg/mL (ABTS•+) and 0.69 mg/mL (PTIO•). This work presents a sustainable NADES-UAE platform for flavonoid recovery and offers comprehensive mechanistic and practical insights for green extraction of plant bioactives.

1. Introduction

Flavonoids, vital plant secondary metabolites, exhibit significant bioactivities such as neuroprotection [1], anti-vasospasm [2], and anti-tumor [3] effects, underpinning their value in functional foods and disease prevention [4,5]. Conventional extraction of flavonoids predominantly employs liquid–liquid or solid–liquid techniques, including established methods like maceration and water infusion [6,7]. These processes typically utilize organic solvents such as ethanol, methanol, and acetone, although water is also sometimes employed [8,9,10]. However, such methods suffer from significant drawbacks, including high solvent consumption, relatively low extraction yields, and prolonged extraction times. Furthermore, when heat is applied during extraction, thermal degradation can compromise the structural integrity of flavonoids, leading to diminished bioactivity [11].
Cercis chinensis fruits constitute an underutilized resource rich in bioactive flavonoids, such as kaempferol, afzelin, astragalin, and quercitrin [12]. Prior studies on C. chinensis fruit flavonoids employed ethanol–water extraction, achieving a maximum yield of 2.91% under optimized conditions (1.5:60 g/mL, 80 °C, 2.5 h) [13,14,15,16]. While these extracts demonstrated potent hydroxyl radical scavenging activity exceeding BHT, the methods suffer from intrinsic limitations: prolonged thermal exposure risks compound degradation, solvent systems lack environmental sustainability, and bioactivity assessments remain confined to basic antioxidant assays. This underscores the need for innovative, green extraction strategies coupled with comprehensive biofunctional evaluation. In addition, prior work focused on fruit, whereas seeds remain unexplored.
Natural deep eutectic solvents (NADES), a class of green solvents, exhibit significant promise for natural product extraction owing to their straightforward synthesis, low cost, environmental compatibility, and highly tunable properties [17,18]. Typically formed by hydrogen-bond acceptors (e.g., choline derivatives) and donors (e.g., organic acids or sugars) [19], NADES possess unique physicochemical characteristics—including low volatility, adjustable polarity, and exceptional solvation capacity—that enhance target compound recovery [20]. Process intensification can be achieved by coupling NADES with ultrasound-assisted extraction (UAE). UAE leverages ultrasonically induced cavitation, generating localized high pressure, temperature, shockwaves, and micro-jets to disrupt cell matrices and accelerate mass transfer [21]. This synergistic NADES–UAE approach reduces extraction time, increases efficiency, and preserves the sustainability profile of the extraction process [22,23].
To address these gaps, this study establishes a green, efficient NADES–UAE process for extracting total flavonoids from C. chinensis seeds. We systematically optimized extraction parameters, elucidated kinetic mechanisms, and rigorously evaluated antioxidant activities—including cellular-level assays—to demonstrate the viability and superiority of this sustainable approach in terms of extraction efficiency (yield, kinetics), bioactive preservation (structural integrity), and enhanced multifaceted bioactivity.

2. Materials and Methods

C. chinensis seeds were collected from the plantation base of Yanling Zhonglin Landscape Engineering Co., Ltd. (Xuchang, China) in November 2023. After mechanical grinding by a Ririhong universal high-speed crusher at 28,000 rpm (RRH-200, China), the processed materials underwent particle size classification using 60-mesh standardized sieving equipment. All chemicals (analytical grade) for deep eutectic solvent (NADES) preparation—including choline chloride, levulinic acid, citric acid, L-malic acid, glycerol, glucose, ethylene glycol, lactic acid, sucrose, urea, sorbitol, L-proline, and betaine (purity ≥ 98%)—along with the reference standard rutin (≥98%), were procured from Nanjing Angel Biochemical Technology Co., Ltd. (Nanjing, China).
All experimental equipment—including RV8 rotary evaporator (IKA, Staufen, Germany), RT-15 magnetic stirrer (IKA, Staufen, Germany), MS7-H550-Pro magnetic stirrer (Beijing Dalong, Beijing, China), DHG-9140A electric thermostatic blast drying oven (Shanghai Yiheng, Shanghai, China), WS28 LCQ electric thermostatic water bath (Shanghai Yiheng, Shanghai, China), FA1004 electronic analytical balance (Shanghai Youke, Shanghai, China), Bruker AVANCE III HD 400 nuclear magnetic resonance (NMR) spectrometer (Bruker, Billerica, MA, USA), GENESYS 50 UV-Vis spectrophotometer (Thermo Fisher, Waltham, MA, USA), Nova NanoSEM450 scanning electron microscope (Fei, Hillsboro, OR, USA), and Heraeus Pico 17 centrifuge (Thermo Fisher, Waltham, MA, USA)—were operated according to manufacturers’ protocols.

2.1. Preparation and Characterization of NADES

2.1.1. Preparation of Deep Eutectic Solvents (NADES)

Based on preliminary literature research, 9 NADES formulations demonstrating excellent performance in flavonoid extraction were systematically selected. Hydrogen bond acceptors (HBAs) and hydrogen bond donors (HBDs) were uniformly mixed at predetermined molar ratios (Table 1, Figure 1) in a borosilicate glass beaker. To minimize polyol volatilization, the mixture was stirred at 500 rpm under controlled heating (70 ± 1 °C) for 1–3 h until a transparent homogeneous eutectic phase formed. The resulting NADES was equilibrated at 30 °C for 12 h to stabilize its hydrogen-bond network and stored for subsequent use [24]. The synthesized NADES were structurally characterized by infrared spectroscopy (IR) and nuclear magnetic resonance (NMR).

2.1.2. Physical and Chemical Characterization

Polarity measurement: A 10 μL portion of Nile red stock solution (1 mM in anhydrous DMSO, stored at −20 °C in the dark) was added to 2.4 mL NADES. UV-Vis spectra were recorded using a GENESYS 50 spectrophotometer (Thermo Fisher, Waltham, MA, USA) over the wavelength range of 400–800 nm to determine the maximum absorption wavelength (λmax) [25]. The empirical polarity parameter (ENR) was calculated using the equation below:
ENR = h·c·NA/λmax
where h = Planck’s constant, c = speed of light in vacuum, and NA = Avogadro’s number.
Conductivity analysis: A calibrated MS7-H550-Pro conductivity meter (Beijing Dalong, Beijing, China) was used, standardized with a 0.1 M KCl reference solution (12.85 mS·cm−1 at 25 °C). Measurements were performed in a WS28 LCQ thermostatic water bath (Shanghai Yiheng, Shanghai, China) maintained at 25.0 ± 0.1 °C. Triplicate readings were taken with 60 s intervals to ensure thermal equilibrium.
The viscosity of the NADES was measured using a rotational viscometer. An appropriate rotor and rotational speed were selected based on the sample’s expected viscosity range. Immerse the rotor of the viscometer completely in the NADES sample, ensuring no bubbles adhere to the rotor and it is fully submerged. Turn on the viscometer and record the viscosity value when the reading stabilizes. Each sample is measured three times, and the average value is calculated to enhance data reliability.
pH Measurement: A RH-3010 pH meter (Shaoxing Subo, Shaoxing, China) was used. After calibrating with pH 4.01, 7.00, and 10.01 standard buffers, NADES solutions were diluted 10-fold, equilibrated at 25.0 ± 0.5 °C for 10 min, and analyzed using an InLab® Expert Pro-ISM glass electrode. Triplicate measurements were performed after rinsing the electrode with ultrapure water and blotting residual liquid with lint-free filter paper.

2.2. Extraction and Process Optimization of Total Flavonoids

C. chinensis seeds were dried to constant weight (water content < 5%) at 50 °C in an DHG-9140A electric thermostatic blast drying oven (Shanghai Yiheng, Shanghai, China). The dried seeds were pulverized using a universal grinder and sieved through a 200-mesh sieve (particle size ≤ 75 μm). Precisely 0.1250 ± 0.0005 g of pulverized C. chinensis seed powder was homogenized with 3.00 mL of a deep eutectic solvent (NADES) containing 20% (v/v) aqueous component. Ultrasonic-assisted extraction was conducted at 60 ± 0.5 °C for 20 min using a 250 W ultrasonic system (YL1622, Yunyi, Shenzhen, China) integrated with a thermostatic water bath. The extract was centrifuged at 5000 rpm for 5 min (Thermo Fisher Heraeus Pico 17), and the supernatant was filtered through a 0.22 μm nylon membrane for subsequent analysis.

2.3. Analytical Methods

2.3.1. Establishment of Rutin Standard Curve

A rutin standard solution (1.0 mg/mL in 60% ethanol, Sigma-Aldrich, St. Louis, MI, USA) was diluted to concentrations of 0–0.7 mg/mL in 25 mL amber volumetric flasks (Brand, Wertheim, Germany) [26]. Each flask was sequentially spiked with 30 μL of 20% sodium nitrite (NaNO2), 40 μL of 40% aluminum nitrate (Al(NO3)3), and 100 μL of 20% sodium hydroxide (NaOH). After the addition of each reagent, the solution was vortex-mixed and then incubated in the dark for 3, 3, and 10 min, respectively, to allow for complete reaction. Absorbance at 510 nm was measured using a Thermo Scientific GENESYS 50 UV-Vis spectrophotometer (slit width: 2 nm, scan speed: medium), with the blank group (no standard added) as the reference. Five concentration points (0.02, 0.04, 0.06, 0.08, and 0.14 mg/mL) were selected to establish a linear regression model using OriginPro 2021.

2.3.2. Determination of Total Flavonoid Extraction Yield

The supernatant (1.0 mL) was filtered through a 0.22 μm nylon membrane and diluted 10-fold with 60% ethanol. A 0.1 mL aliquot of the diluted solution was mixed with 30 μL of 20% NaNO2, 40 μL of 40% Al(NO3)3, and 100 μL of 40% NaOH. After vortex mixing, the mixture was incubated in the dark for 10 min in a WS28 LCQ thermostatic water bath (25 ± 0.5 °C) and diluted to 1.0 mL with 60% ethanol. Absorbance at 510 nm was measured using the GENESYS 50 spectrophotometer, and the total flavonoid concentration was calculated based on the standard curve. The extraction yield was determined using the formula:
Yield (mg/g) = C × V × N/M
where C represents the concentration of flavonoids in the extract (mg/mL), determined from the standard curve; V denotes the volume of the initial extract (mL); N is the cumulative dilution factor accounting for both sample preparation and chromogenic reaction steps; and M corresponds to the mass of the dried C. chinensis seed powder (g). All parameters were derived from triplicate measurements under controlled experimental conditions to ensure reproducibility.

2.4. Process Development and Parameter Optimization

2.4.1. Screening of Deep Eutectic Solvents

In this study, the extraction efficiencies of nine deep eutectic solvents (NADES) were compared. The yield of C. chinensis flavonoids was measured according to the experimental methods in Section 2.2 and Section 2.3, and the optimal extraction system was identified. After optimizing the molar ratios of the best-performing NADES, the optimal ratio was determined.

2.4.2. Single-Factor Experiments

Single-factor experiments were used to evaluate five key parameters affecting the extraction efficiency of total flavonoids. These parameters were liquid–solid ratio (5–30 mL/g), ultrasonic extraction temperature (30–70 °C), extraction time (15–40 min), NADES water content (0–60% v/v), and ultrasonic power (150–400 W) [27]. All experiments were performed in a constant-temperature water bath (WS28 LCQ, ±0.5 °C) and ultrasonic extraction system (MS7-H550-Pro).

2.4.3. Response Surface Methodology Optimization

To further optimize the extraction process, a three-factor, three-level Box–Behnken design (BBD) was used. The independent variables were extraction temperature (X1: 50, 60, 70 °C), extraction time (X2: 15, 20, 25 min), and NADES water content (X3: 10, 20, 30% v/v) (Table 2). The dependent variable was the total flavonoid yield (Y, mg/g). The experimental design included 17 runs, covering factorial, axial, and central points. Data was analyzed using Design-Expert 13.0 software to create a quadratic polynomial model:
Y = β0 + ∑3i = 1 βiXi + ∑3i = 1 βiiXi2 + ∑3i < j βijXiXj
where β0 is the model intercept; βi is the linear coefficient; βii is the quadratic coefficient; βij is the interaction coefficient.

2.5. Scanning Electron Microscopy (SEM) Analysis

In this study, scanning electron microscopy (Nova NanoSEM 450, FEI, Hillsboro, OR, USA) was employed to investigate the morphological changes in C. chinensis seed powder before and after extraction, aiming to analyze the impact of different extraction methods on cell wall disruption. The experimental procedure is as follows: First, prepare the samples by taking appropriate amounts of untreated C. chinensis seed powder, powder extracted with 60% ethanol solution, and powder extracted using the optimized deep eutectic solvent (NADES) system, and place them uniformly on SEM sample holders. Next, sputter-coat the samples with gold to enhance conductivity and ensure clear and stable imaging. Then, operate the SEM device by setting the acceleration voltage between 10 and 20 kV and adjusting the magnification according to the morphological characteristics of the samples to obtain clear microstructural images. Finally, scan and observe each sample from multiple angles and positions, record the features such as surface morphology, cell wall integrity, and microstructural density, and save the images for subsequent analysis. Through these steps, this study successfully utilized SEM technology to analyze the effects of different extraction methods on the microstructure of C. chinensis seed powder, revealing the differences in cell wall disruption during the extraction process and providing intuitive morphological evidence for understanding the differences in extraction efficiency.

2.6. NADES and Total Flavonoid Recovery

The AB-8 macroporous resin column was pretreated and activated by soaking in 95% ethanol for 24 h to eliminate impurities, followed by rinsing with ultrapure water to neutrality. It was then packed into a glass column. Twenty-five milliliters of the optimal NADES extract supernatant, with a determined total flavonoid concentration via the standard curve method, was slowly loaded into the resin column, keeping the liquid level aligned with the upper resin layer. During adsorption, the column valve was opened to maintain synchronization between the liquid level and the descent of the resin layer. After 30 min of adsorption, 250 mL of ultrapure water was added in portions to elute the resin column. The collected eluate was concentrated and analyzed by UV spectrophotometry under conditions identical to those used for the standard curve to determine the residual flavonoid concentration (C1). Subsequently, 250 mL of pure ethanol was added in portions to the column for desorption. The desorbed solution was collected, concentrated, and analyzed to measure the desorbed flavonoid concentration (C2).
The adsorption and desorption rates were calculated using the following formulas:
Adsorption rate (%) = (C0 − C1)/C0 × 100
Desorption rate (%) = C2 × V2/((C0 − C1) × V1) × 100
Here, C0 represents the initial flavonoid concentration (mg/mL), C1 and C2 are the flavonoid concentrations after adsorption and desorption (mg/mL), respectively, and V1, V2 are the volumes of the adsorption and desorption solutions (mL). This method effectively separated the NADES from flavonoids. The recovered NADES was reused after rotary evaporation, while the flavonoid product was preserved via freeze-drying.

2.7. Extraction Kinetics of Total Flavonoids from C. chinensis Seeds

Extraction kinetics, a key branch of chemical kinetics, focuses on the rate and mechanism of solute transfer between different phases, aiming to reveal the time-dependent concentration changes in solutes during extraction and their influencing factors. Traditional extraction process optimization often relies on multi-factor experimental design, adjusting parameters like temperature and solvent ratio for empirical optimization. Yet, this method has drawbacks such as long experiment cycles, high resource consumption, and insufficient understanding of mass transfer mechanisms, limiting the process’s predictability and controllability.
To address these issues, this study innovatively applies diffusion-kinetics theory to extraction process modeling. By building a quantitative model relating solute concentration to operational parameters, precise control of process parameters is achieved. Based on Guo’s study [28], this study uses non-steady-state mass transfer theory and Fick’s second law to develop an extraction kinetics equation for spherical particles.
ln C C     C = kt + ln C π 2 6 C c = π 2 Dst R 2 + ln C π 2 6 C c
Ds = k r 2 π 2
Y = C C C = b   exp ( kt )  
k = A · exp E a RT
Experiments systematically investigated the effects of temperature (30–70 °C), liquid-to-solid ratio (15–35 mL/g), and extraction time (2–112 min) on the total flavonoid dissolution curve of C. chinensis seeds. The study delved into key kinetic parameters like the diffusion coefficient and activation energy and explored the intrinsic links among extraction temperature, time, and total flavonoid concentration.
Dried, crushed, and sieved C. chinensis seed powder with uniform particle size (≤250 μm) was accurately weighed in 1 g portions and placed in dry three-necked flasks. NADES (choline chloride–levulinic acid at a 1:3 ratio) volumes of 15, 25, and 35 mL were added to achieve liquid-to-solid ratios of 15, 25, and 35 mL/g, with 30% water content in the solvent. Ultrasound-assisted extraction was carried out at 250 W under set temperatures of 30, 40, 50, 60, and 70 °C for 112 min with continuous stirring. During extraction, 0.1 mL samples were taken every 10 min, and the total flavonoid content was measured using method described in Section 2.3.2.

2.8. Antioxidant Activity Assays

2.8.1. ABTS Radical Scavenging Activity Assay

The ABTS radical working solution was prepared by mixing 0.2 mL of 7.4 mmol/L ABTS diammonium salt with 0.2 mL of 2.6 mmol/L potassium persulfate, followed by a 12–16 h reaction in the dark. The mixture was then diluted 45-fold with methanol to achieve an absorbance of 0.70 ± 0.02 at 745 nm, thus obtaining the ABTS radical working solution. The mixture was then diluted 45-fold with methanol to achieve an absorbance of 0.7 ± 0.02, resulting in the ABTS radical working solution. This solution was stored in the dark to prevent a decrease in absorbance over time [29].
For the assay, 10 μL of sample solution and 190 μL of ABTS solution were added to a 96-well microplate to form the sample group. The positive control group was prepared by adding 10 μL of L-ascorbic acid solution and 190 μL of ABTS solution. The negative control group was prepared by adding 10 μL of methanol, 10 μL of deionized water, and 190 μL of ABTS solution. The microplate was incubated at 37 °C in the dark for 15 min, after which absorbance was measured at 745 nm using a microplate reader (Multiskan FC microplate reader, Thermo Fisher). Each sample concentration was tested in triplicate. The ABTS radical scavenging activity was calculated using the following formula:
ABTS radical scavenging activity (%) = (1 − (As/An)) × 100
where As is the absorbance of the sample group, and An is the absorbance of the negative control group. Sample groups 1–7 were prepared by stepwise dilution of a 1 mg/mL sample solution, while the positive control group was prepared by stepwise dilution of a 1 mg/mL quercetin solution.

2.8.2. PTIO Radical Scavenging Activity Assay

Solution preparation: The PTIO radical working solution was prepared by dissolving 3 mg of PTIO solid in 18–20 mL of methanol, with the absorbance adjusted to 0.2–0.3 to obtain a deep blue PTIO radical working solution. This solution was also stored in the dark to prevent a decrease in absorbance over time [30].
Activity assessment: For the assay, 40 μL of sample solution and 160 μL of PTIO solution were added to a 96-well microplate to form the sample group. The positive control group was prepared by adding 40 μL of L-ascorbic acid solution and 160 μL of PTIO solution. The negative control group was prepared by adding 40 μL of methanol, 40 μL of deionized water, and 160 μL of PTIO solution. The microplate was incubated at 37 °C in the dark for 30 min, after which absorbance was measured at 585 nm using a Multiskan FC microplate reader. Each sample concentration was tested in triplicate. The PTIO radical scavenging activity was calculated using the same formula as for the ABTS assay.

2.9. Statistical Analysis

All experiments were conducted in triplicate, and the results are presented as the mean ± standard deviation. The extraction process parameters were optimized using Design Expert 13. Image processing was performed using Origin 2021 software.

3. Results and Discussions

3.1. Rutin Standard Curve and Quantitative Method Validation

The rutin standard curve was established using ultraviolet spectrophotometry, as shown in Figure 2. The linear regression equation was A = 9.28561C + 0.04328, with a coefficient of determination (R2) of 0.99212, indicating an excellent linear relationship over the concentration range of 0.02 to 0.14 mg/mL.

3.2. Deep Eutectic Solvent (NADES) System Screening

Based on the results shown in Figure 3, the choline chloride–levulinic acid system (NADES-1, molar ratio 1:2) containing 20% water yielded the highest total flavonoid extraction rate (112.1 mg/g), significantly outperforming other combinations. As a quaternary ammonium salt hydrogen bond acceptor (HBA), choline chloride typically exhibits strong synergy with carboxylic acid-based hydrogen bond donors (HBDs), such as levulinic acid. The NADES-1 system demonstrated moderate polarity and robust hydrogen bonding capacity, facilitating efficient flavonoid release. Its extraction efficiency was 171% higher than the choline chloride–citric acid system (4.13%) and 7.6-fold greater than the choline chloride–lactic acid system (1.47%). The L-proline system achieved a modest yield (5.39%) but showed limited efficacy for polyhydric compounds (e.g., sorbitol). Betaine-based NADES performed poorly (<3% yield) regardless of HBD pairing, likely due to reduced hydrogen-bond network stability from its zwitterionic nature. Short-chain carboxylic acids (e.g., levulinic acid) proved superior to long-chain or polyhydroxy HBDs, owing to their low viscosity and strong hydrogen-bond donation capacity.
The NADES-1 achieved a 112.1 mg/g extraction yield—a 157% increase over conventional 60% ethanol-heated reflux (43.5 mg/g)—while reducing extraction time by 83%. This enhancement arises from three key mechanisms: (1) Hydrogen-bond synergy: Cl ions form a robust network with levulinic acid’s carboxyl groups, disrupting cellulose–lignin matrices in cell walls and liberating flavonoids; (2) reduced viscosity: Water-adjusted NADES viscosity (<500 cP) significantly improved flavonoid diffusivity and mass transfer; (3) ultrasonic cavitation: Microjets generated by cavitation physically disrupted seed coats, enhancing solvent accessibility [31]. Collectively, these properties render the NADES–ultrasonic approach markedly more efficient than traditional methods.

3.3. The IR and NMR Spectra of NADES-1

IR analysis of NADES-1 (ChCl–Lev 1:2) was performed. As shown in Figure 4a, the ChCl spectrum exhibited a characteristic OH stretching vibration at 3236.27 cm−1. The Lev spectrum displayed an OH stretch at 2919.08 cm−1 and a C=O stretch at 1699.57 cm−1. In the ChCl–Lev 1:2 spectrum, a broadened OH peak at 3384.09 cm−1 indicated intermolecular hydrogen bonding between the components. The shifted C=O stretching vibration (1702.65 cm−1), along with the emergence of new peaks at 1397.78 cm−1 and 1363.90 cm−1, further confirmed this interaction and demonstrated altered chemical environments upon NADES formation. These characteristic changes clearly signify the successful synthesis of NADES-1.
In the 1H-NMR spectra (Figure 4b), ChCl exhibited multiple resonances between 3.0 and 4.0 ppm, primarily corresponding to protons adjacent to the quaternary ammonium nitrogen. Lev displayed characteristic peaks between 2.0 and 3.0 ppm, assigned to its methyl and methylene protons. The NADES-1 spectrum featured merged peaks spanning 2.0–4.0 ppm, consistent with both components, confirming the retention of their core chemical structures. However, observable shifts in peak position and intensity relative to the individual spectra confirmed intermolecular interactions between ChCl and Lev, altering their chemical environments during NADES formation.
Analysis of the 13C-NMR spectra (Figure 4c) revealed characteristic peaks for ChCl between 50 and 70 ppm (methylene carbons). Lev showed signals between 25 and 220 ppm, corresponding to its carbonyl, methyl, and methylene carbons. The NADES-1 spectrum combined the characteristic peaks of both precursors, with discernible shifts and peak splitting. These alterations provide strong evidence for NADES-1 formation, reflecting interactions between the components and perturbation of their electronic environments.
Collectively, the IR and NMR analyses confirm intermolecular interactions (particularly hydrogen bonding) and distinct alterations in the chemical and electronic environments of ChCl and Lev during NADES-1 formation, unequivocally demonstrating its successful synthesis.

3.4. Characterization of Deep Eutectic Solvents (NADES)

As indicated in Table 3, solvent polarity significantly influences flavonoid extraction efficiency. High-polarity NADES (e.g., NADES-1; 31.35 kcal/mol) effectively dissolves polar flavonoids, facilitating their release from plant matrices and yielding 112.1 mg/g. Conversely, low-polarity NADES (e.g., NADES-4; 26.33 kcal/mol) exhibits weak flavonoid interactions, resulting in substantially lower yields (31.9 mg/g). Excessively acidic conditions (e.g., NADES-2) may degrade flavonoid structures, reducing the yield to 41.3 mg/g.
Electrical conductivity reflects free ion abundance, which may enhance interactions with charged flavonoids. NADES-1 demonstrated high conductivity (710 S/m), correlating with its superior performance. However, excessively high conductivity (e.g., NADES-3, NADES-5) can promote non-specific adsorption, compromising selectivity.
Viscosity critically affects solvent penetration: Low-viscosity NADES (e.g., NADES-1; 553 mPa·s) readily diffuses into plant cells, enhancing extraction. While NADES-3 exhibited even lower viscosity (250 mPa·s), its suboptimal yield (39.5 mg/g) underscores the necessity of balanced physicochemical properties.
In summary, optimal flavonoid extraction requires NADES with moderate-to-low polarity, conductivity, and viscosity, coupled with effective hydrogen-bonding capacity and a mildly acidic environment. The hydrogen-bond acceptor (HBA) type critically governs both pH and viscosity. For practical application, comprehensive optimization of these interdependent properties is essential to maximize efficiency and minimize energy consumption. Rational HBA–HBD selection enables precise tuning of NADES characteristics for targeted extraction performance.

3.5. Single-Factor Experimental Results

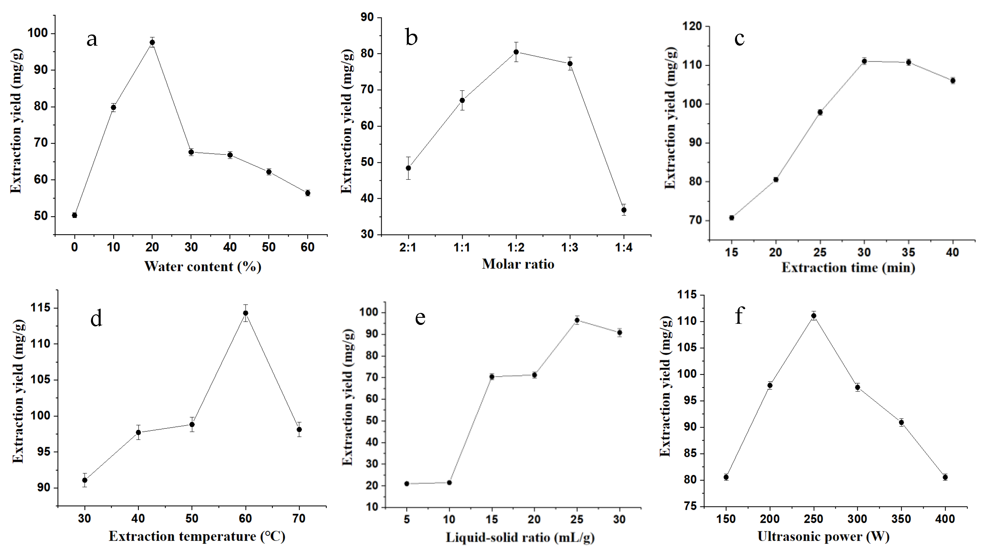
Appropriate water content reduces NADES viscosity, enhancing solute diffusivity and flavonoid solubility. As shown in Figure 5a, total flavonoid yield from C. chinensis seeds increased with water content up to 20%, reaching its maximum. Beyond this threshold, yield declined significantly, likely due to disruption of the NADES hydrogen-bond network, reducing solvation capacity for flavonoids.
Choline chloride: levulinic acid NADES with molar ratios of 1:1–1:4 was evaluated (Figure 5b). The 1:2 ratio achieved the highest yield (76.6 mg/g), attributed to an optimized hydrogen-bonding network that balanced solvent polarity and viscosity. This facilitated effective solute–solvent interaction and plant matrix penetration.
Yield peaked at 30 min, sufficient for complete flavonoid dissolution. Prolonged exposure (>30 min) caused degradation, likely due to cavitation-induced fragmentation of thermolabile compounds (Figure 5c) [32]. Maximum yield occurred at 60 °C, where reduced viscosity enhanced mass transfer. Higher temperatures (>60 °C) promoted thermal degradation and solvent evaporation (Figure 5d).
Optimal extraction occurred at 250 W, where cavitation effectively disrupted cell structures. Excessive power (>250 W) generated localized overheating, degrading flavonoids through radical-mediated oxidation (Figure 5e). A ratio of 25 mL/g maximized yield by ensuring adequate solvent contact. Higher ratios diluted the extract and co-dissolved impurities, reducing efficiency (Figure 5f).

3.6. Response Surface Optimization Results and Factor Interactions

Based on single-factor experiments, we fixed the liquid-to-solid ratio at 25 mL/g and selected ultrasound temperature (A), ultrasound time (B), and water content (C) as key factors. Using a Box–Behnken design with three levels for each factor and total flavonoid extraction yield as the response, we conducted response surface methodology experiments. The experimental levels and factors are detailed in Table 4.
Through multiple regression analysis using Design Expert 13 software, we derived the calculation equation for total extraction yield:
Y = −1.09319 + 0.028213A + 0.020254B + 0.004150C − 0.000023AB + 0.000014AC − 0.000061BC − 0.000228A2 − 0.000290B2 − 0.000049C2
Variance analysis revealed that the model’s p-value was less than 0.0001, indicating highly significant differences. The lack-of-fit p-value was 0.5349, which is not significant, suggesting a good fit for the model. Table 5 shows that the quadratic interaction term BC had a highly significant effect on total flavonoid content, AC had a significant effect, and AB had no significant effect. The order of influence of the quadratic interaction terms on total flavonoid content was BC > AC > AB. The model’s coefficient of determination R2 was 0.9845, indicating high significance. The adjusted coefficient of determination R2Adj was 0.9647, accounting for 96.47% of the experimental response variations. The predictive correlation coefficient R2Pre was 0.8292, with a difference of less than 0.2 from R2Adj, demonstrating the model’s strong predictive capability.
The variance analysis for the fitted quadratic polynomial model is shown in Table 5. The model was highly significant (p < 0.0001), suitable for predicting response values. The nonsignificant lack-of-fit term indicated good fitting of the regression equation across the regression space. Correlation analysis (Figure 6) demonstrated a strong correlation between experimental and predicted values, with all points close to the regression line, further confirming the model’s reliability. Analysis of F-values revealed the order of influence of the factors on total flavonoid extraction yield from C. chinensis seeds was: water content (C) > ultrasound temperature (A) > ultrasound time (B).
Response surface plots (Figure 7), based on the regression equation, visually illustrate the impacts of the factors and their interactions on total flavonoid extraction yield. The response surface plots indicate that the interaction between water content (C) and ultrasound temperature (A) significantly influenced the extraction yield, while the interaction between ultrasound time (B) and water content (C) had a relatively smaller effect. Response surface simulation analysis determined the optimal extraction conditions for total flavonoids from C. chinensis seeds: 60 °C temperature, 28 min extraction time, 30% water content, a liquid-to-solid ratio of 25 mL/g, and a molar ratio of choline chloride to levulinic acid in the deep eutectic solvent of 1:3. Under these conditions, the measured extraction yield of total flavonoids from C. chinensis seeds was 128.5 mg/g, close to the model-predicted value of 135 mg/g, validating the accuracy and reliability of the optimal extraction conditions derived from response surface methodology. These findings highlight the method’s practical application value.

3.7. SEM Analysis

The extraction process fundamentally involves solvent-induced disruption of the plant cell’s ultrastructure to release intracellular components. The untreated sample exhibited a structurally intact and dense surface morphology. Clear cell boundaries were visible, featuring smooth, continuous cell walls with only sparse natural pores present (Figure 8a). This integrated physical barrier severely restricts solvent penetration and component dissolution, accounting for the lowest observed flavonoid extraction yield.
Significant morphological alterations were evident following 60% ethanol extraction. The surface displayed localized erosion and micro-cracking. Partial cell wall delamination was observable in specific regions (Figure 8b). These modifications create enhanced diffusion pathways for the solvent, enabling the moderately polar ethanol to partially penetrate the matrix. Consequently, the extraction yield surpassed that of the untreated sample.
The most pronounced structural degradation occurred in the sample treated with the deep eutectic solvent (NADES). Extensive cell wall collapse, fragmentation, and the formation of a honeycombed, porous network were dominant features (Figure 8c). This profound deconstruction stems from the potent hydrogen-bonding capacity of NADES, which efficiently dissolves cellulose/hemicellulose and disrupts lignin cross-linking. The resulting loose, highly porous architecture dramatically increases the solvent–matrix interfacial area, facilitating the rapid release and diffusion of flavonoids. This explains the highest extraction yield achieved with NADES.

3.8. Recovery of NADES and Total Flavonoids from C. chinensis Seeds

This study achieved efficient recovery of deep eutectic solvent (NADES) and total flavonoids from C. chinensis seeds using the adsorption and desorption properties of AB-8 macroporous resin. The process involved passing the NADES through an AB-8 resin column for adsorption, followed by elution with deionized water to separate NADES and total flavonoids, enabling their recycling. Experimental data showed that the recovery rate of total flavonoids from C. chinensis seeds reached 84% after adsorption and desorption. The recovered NADES could be reused for extracting total flavonoids from C. chinensis seeds, demonstrating good potential for reuse.

3.9. Reusability Experiments of NADES

Reusability studies (Figure 9) demonstrated that the regenerated NADES retained 80.89% of its initial extraction efficiency for total flavonoids from C. chinensis seeds after three cycles. This confirms that NADES recovery via AB-8 resin effectively preserves solvent integrity and stability, enabling at least three reuses without significant efficiency loss. These findings reduce extraction costs, enhance solvent utilization efficiency, and offer an economically viable approach for industrial-scale flavonoid extraction from C. chinensis seeds.

3.10. Extraction Kinetics of Flavonoids

3.10.1. Rate Constant

Temperature significantly impacts the extraction rate of flavonoids from C. chinensis seeds. As shown in Table 6, when the liquid–solid ratio is fixed at 25 mL/g, the extraction rate constant k increases from 0.00529 min−1 to 0.01328 min−1 as the temperature rises from 30 °C to 70 °C. This indicates that increased temperature intensifies molecular movement, enabling the solvent to more easily penetrate the solid phase and accelerate flavonoid dissolution. Additionally, changes in the liquid–solid ratio affect the extraction rate (Figure 10). For instance, at 50 °C, increasing the ratio from 15 mL/g to 35 mL/g raises the k value from 0.00218 min−1 to 0.00965 min−1. This may be due to the increased relative amount of solvent, which better covers solid particles and allows more thorough contact between the solvent and flavonoids in the solid phase, thereby enhancing the extraction rate. In summary, temperature and liquid–solid ratio are crucial factors affecting extraction efficiency, with the extraction rate of C. chinensis seed flavonoids markedly increasing under higher temperatures and appropriate liquid–solid ratios.

3.10.2. Relative Residual Rate

The relative residual rate Y = [C∞/(C∞ − C)] is a key indicator of the proportion of flavonoids not yet dissolved. It follows an exponential decay pattern Y = Ae −kt, where A is the initial relative residual rate, reflecting the retention of flavonoids in the solid phase at the start of extraction. As can be seen from Table 7, with the rise in temperature and the increase in liquid–solid ratio, the relative residual rate Y of flavonoids in C. chinensis seeds shows different trends over time t. Under different temperatures and liquid–solid ratios, the relative residual rate Y exhibits a good exponential decay relationship, indicating that the extraction process follows a first-order kinetic model (Figure 11).
At the same temperature, as the liquid–solid ratio increases, the decay constant k of the relative residual rate Y increases, indicating that the higher the liquid–solid ratio, the faster the extraction rate of flavonoids. For example, at 30 °C, when the liquid–solid ratio increases from 15 mL/g to 25 mL/g, the decay constant k rises from 0.00136 min−1 to 0.00519 min−1. The increase in liquid–solid ratio means a relative increase in solvent usage, allowing the solvent to better contact solid particles and enhancing its penetration, thereby increasing the dissolution rate of flavonoids.
Under the same liquid–solid ratio, the decay constant k of the relative residual rate Y also increases with rising temperature, showing that the higher the temperature, the faster the extraction rate of flavonoids. Take a liquid–solid ratio of 25 mL/g for example: when the temperature rises from 30 °C to 70 °C, the decay constant k increases from 0.00519 min−1 to 0.01301 min−1. The temperature rise boosts solvent molecular motion, accelerating solvent diffusion into solid particles, promoting flavonoid–solvent contact and reaction, and thus enhancing the extraction rate.

3.10.3. The Surface Diffusion Coefficient

The surface diffusion coefficient Ds   =   k r 2 π 2 , where k is the rate constant and r is the radius of the C. chinensis seed particles. The experimental k values combined with r allow calculation of the surface diffusion coefficient Ds during flavonoids extraction. Temperature significantly influences the internal diffusion coefficient (Ds). As temperature rises, Ds increases for different liquid–solid ratios. At a liquid–solid ratio of 15 mL/g, Ds grows from 0.05517 × 10−4 mm2/min at 30 °C to 0.13347 × 10−4 mm2/min at 70 °C (Table 8). This shows that increased temperature enhances molecular thermal motion, enabling solvent molecules to diffuse faster within solid particles and boost internal diffusion efficiency, which is consistent with the physical chemistry principle of increased molecular kinetic energy at higher temperatures.
The liquid–solid ratio also impacts Ds. At the same temperature, Ds increases with a higher liquid–solid ratio (Figure 12). At 30 °C, when the ratio rises from 15 mL/g to 35 mL/g, Ds correspondingly increases from 0.05517 × 10−4 mm2/min to 0.27831 × 10−4 mm2/min. The increased ratio means more solvent is used for extracting the same mass of solid material, facilitating solvent penetration into solid particles and improving internal diffusion efficiency.
Linear regression analysis of the relationship between Ds and temperature at different liquid–solid ratios has yielded equations with R2 values above 0.9846. For a liquid–solid ratio of 15 mL/g, the regression equation is 104Ds = 0.000085e0.02147T, with R2 = 0.9977, indicating a very good fit of the model to the experimental data (Table 9). This provides a reliable mathematical tool for predicting Ds at different temperatures.
In summary, temperature and liquid–solid ratio are key factors affecting the internal diffusion coefficient during the extraction of flavonoids from C. chinensis seeds.

3.10.4. The Activation Energy

According to chemical reaction kinetics, the rate constant k for the extraction of C. chinensis seed flavonoids is linked to temperature and can be expressed by the Arrhenius equation: k   =   A · exp E a RT . Taking the natural logarithm of both sides’ yields: ln k = E a RT ln A . Here, k is the extraction rate constant (s−1), Ea the activation energy (J·mol−1), R the gas constant (8.314 J·mol−1·K−1), T the extraction temperature (K), and A the pre-exponential factor. The activation energy for apparent diffusion (Ea) reflects the degree to which temperature affects the extraction rate. As shown in Table 10, Ea varies with different liquid–solid ratios. When the liquid–solid ratio is 15 mL/g, Ea is 19.04754 kJ·mol−1. It increases to 19.84792 kJ·mol−1 when the ratio is 25 mL/g, and then decreases to 17.95483 kJ·mol−1 at a ratio of 35 mL/g. This indicates that the liquid–solid ratio significantly influences the activation energy of the extraction process. A lower liquid–solid ratio means less solvent is used, which may increase the frequency of solute molecule collisions in the solution, thereby reducing the activation energy. However, as the liquid–solid ratio increases, the excessive solvent may lengthen the diffusion path of solute molecules, increasing the extraction difficulty and causing the activation energy to rise [33]. Nevertheless, when the liquid–solid ratio reaches a certain level, excessive solvent can dilute the solute and reduce solution viscosity, which in turn lowers the activation energy.
The linear regression analysis shows that the regression equations for different liquid–solid ratios all have high goodness-of-fit (R2) values (Figure 13). Specifically, when the liquid–solid ratio is 15 mL/g or 25 mL/g, R2 reaches 0.9996 and 0.9963, respectively, indicating a significant linear relationship between −lnk and 1000/T. Even at a liquid–solid ratio of 35 mL/g, R2 remains at 0.9729. This demonstrates that the Arrhenius equation can effectively describe the kinetic behavior of the flavonoid extraction process from C. chinensis seeds. These findings provide a reliable theoretical basis for using temperature adjustments to control extraction rates.
Given the range of Ea values (17.95–19.85 kJ·mol−1), it can be inferred that diffusion is the primary control mechanism for the extraction of flavonoids from C. chinensis seeds. Typically, diffusion-controlled processes have lower activation energies, usually below 20 kJ·mol−1. This suggests that within the studied liquid–solid ratio range, the extraction rate is mainly influenced by the diffusion rate of the solvent within the solid particles. This conclusion aligns with previous analyses of the internal diffusion coefficient (Ds), which also indicated that the extraction process is diffusion-dominated and that the liquid–solid ratio and temperature significantly impact the diffusion process.

3.10.5. Kinetic Equation Fitting and Establishment

This study explores the kinetics of flavonoid extraction from C. chinensis seeds using the Arrhenius equation: k   =   A · exp E a RT . Taking the natural logarithm of both sides gives: ln k = E a RT ln A . From the regression equation derived from Table 10: −lnK = 2.38729/T − 6.32076, the activation energy for flavonoid extraction is calculated as Ea = 19.84792 kJ/mol, with the pre-exponential factor A = 500.23.
The inner diffusion coefficient Ds follows the Arrhenius relationship with temperature:   Ds   =   As · exp E as RT . Given that internal diffusion is the rate-controlling step, Ea equals the inner diffusion activation energy Eas. Using the extraction kinetics model, the apparent diffusion rate constant k is proportional to Ds, leading to the equation:
k   =   π 2 As r 2 exp ( E as RT ) =   π 2 Ds r 2   =   A · exp ( E a RT )
π 2 As = A r 2 = 500.23   ×   200   ×   200 = 20,009,200   μ m 2 / s ,   k = 20,009,200 r 2 exp ( 1984.792 RT )
This equation shows the quantitative relationship between k, particle radius r, and temperature T. The developed kinetics equation for flavonoid extraction is:
ln C C C   =   20,009,200 r 2 exp ( 1984.792 RT ) t   +   ln π 2 6
This indicates that concentration changes during extraction are significantly influenced by k, which in turn depends on r and T.

3.11. Antioxidant Activity

In the ABTS assay, the total flavonoids from C. chinensis seeds exhibited concentration-dependent antioxidant activity (Figure 14a). The scavenging rate reached 55.07% at 1 mg/mL. Even at the lowest concentration tested (0.015625 mg/mL), a measurable scavenging effect (25.22%) was observed. The half-maximal inhibitory concentration (IC50) was 0.86 mg/mL. Compared to the quercetin control (IC50 = 0.97 mg/mL), the total flavonoids demonstrated superior ABTS radical scavenging efficiency (lower IC50). However, their activity was considerably weaker than that of ascorbic acid (Vc; IC50 = 0.15 mg/mL), indicating potential for further enhancement of the active components through extraction optimization or enrichment.
The total flavonoids also displayed concentration-dependent PTIO radical scavenging activity (Figure 14b), with an IC50 of 0.69 mg/mL. This represented stronger scavenging capacity than quercetin (IC50 = 0.99 mg/mL), further confirming their antioxidant potential across different radical systems. Nevertheless, activity remained lower than Vc (IC50 = 0.23 mg/mL), likely attributable to Vc’s high reactivity. Notably, the flavonoids exhibited greater potency in PTIO scavenging than in the ABTS assay (IC50 = 0.69 vs. 0.86 mg/mL), suggesting differential affinity/reactivity toward distinct radicals. The antioxidant mechanism likely involves hydrogen donation by phenolic hydroxyl groups. Future studies should elucidate specific active structures to develop efficient natural antioxidants.

4. Conclusions

This study successfully established an efficient and environmentally friendly process for extracting total flavonoids from C. chinensis seeds using ultrasound-assisted natural deep eutectic solvents (NADES). Screening nine NADES formulations identified choline chloride–levulinic acid (ChCl–Lev, 1:2) as the superior solvent, achieving an initial yield of 112.1 mg/g. Subsequent optimization via response surface methodology (RSM) significantly enhanced the extraction efficiency, yielding 128.5 mg/g total flavonoids. This optimized yield represents a substantial improvement over conventional ethanol extraction. Successful NADES synthesis was confirmed through comprehensive characterization using infrared spectroscopy (IR) and nuclear magnetic resonance (NMR). Kinetic analysis established a robust model for flavonoid extraction, revealing that the extraction rate constant k increased with temperature, underscoring the critical influence of temperature on the process efficiency. Furthermore, the extracted flavonoids demonstrated significant antioxidant potential. Overall, this research establishes a green and highly effective NADES-UAE method for C. chinensis flavonoid extraction, providing valuable theoretical insights and practical methodologies for plant flavonoid recovery. The findings demonstrate significant potential for application in nutraceutical and pharmaceutical development.

Supplementary Materials

The following supporting information can be downloaded at: https://www.mdpi.com/article/10.3390/separations12100269/s1. The IR, 1H-NMR and 13C-NMR spectra of NADES-1~NADES-9.

Author Contributions

Conceptualization, P.S. and J.H. (Jihong Huang); methodology, S.F., S.L. and Y.M.; investigation, S.F., S.L., Y.M., N.W., S.G., H.Y., D.H. and X.F.; validation, S.C., J.H. (Jiaqi He), T.G. and W.Z.; formal analysis, N.W., H.Y., D.H., X.F., S.C., J.H. (Jiaqi He) and X.W.; resources, P.S., L.Z., S.G. and J.H. (Jihong Huang); writing—original draft preparation, S.F., S.L., Y.M. and T.G.; writing—review and editing, P.S., S.G., L.Z. and J.H. (Jihong Huang); visualization, N.W., T.G., W.Z. and X.W.; project administration, P.S., X.W. and J.H. (Jihong Huang); funding acquisition, P.S. All authors have read and agreed to the published version of the manuscript.

Funding

This work was supported by the National Natural Science Foundation of China (21702178), Project of Science and Technology Department of Henan Province (242102310503), Key Scientific Research Program in Universities of Henan Province (25B360001), Collaborative Innovation Center of Functional Food by Green Manufacturing of Henan Province (2024XTKF023), Undergraduate Training Program for Innovation and Entrepreneurship (202510480021), Research and Practice Project of Teaching Reform of Higher Education in Henan Province (2023SJGLX294Y, 2024SJGLX0453), Research Feedback Teaching Project of Xuchang University (2025FB017), Postgraduate Education Reform and Quality Improvement Project of Henan Province (YJS2026YBGZZ44).

Data Availability Statement

Data are contained within the article or Supplementary Materials.

Conflicts of Interest

Author Lin Zhang was employed by the company Yanling Zhonglin Garden Engineering Co., Ltd. The remaining authors declare that the research was conducted in the absence of any commercial or financial relationships that could be construed as a potential conflict of interest.

References

  1. de Lima-Vasconcellos, T.H.; Bovi Dos Santos, G.; Móvio, M.I.; Donnici, G.K.; Badin, G.M.; de Araujo, D.R.; Kihara, A.H. Neuroprotection provided by polyphenols and flavonoids in photoreceptor degenerative diseases. Neural Regen. Res. 2026, 21, 908–922. [Google Scholar] [CrossRef]
  2. Zhang, Y.; Maejima, S.; Matsuzaki, K.; Kishi, H. Potential of functional flavonoids in targeting vasospasm through modulation of oxidative stress and SPC-induced signaling pathways. Front. Pharmacol. 2025, 16, 1594060. [Google Scholar] [CrossRef]
  3. Yan, C.; Wang, G. Advances in research on flavonoids in tumor immunotherapy (Review). Mol. Med. Rep. 2025, 31, 150. [Google Scholar] [CrossRef]
  4. Huang, Y.; Xu, B. Critical review on the intervention effects of flavonoids from cereal grains and food legumes on lipid metabolism. Food Chem. 2025, 464, 141790. [Google Scholar] [CrossRef]
  5. Zhao, B.; Liu, K.; Liu, X.; Li, Q.; Li, Z.; Xi, J.; Xie, F.; Li, X. Plant-derived flavonoids are a potential source of drugs for the treatment of liver fibrosis. Phytother. Res. 2024, 38, 3122–3145. [Google Scholar] [CrossRef]
  6. Pereira, S.V.; Reis, R.A.S.P.; Garbuio, D.C.; Freitas, L.A.P.d. Dynamic maceration of Matricaria chamomilla inflorescences: Optimal conditions for flavonoids and antioxidant activity. Rev. Bras. Farmacogn. 2018, 28, 111–117. [Google Scholar] [CrossRef]
  7. Ćujić, N.; Šavikin, K.; Janković, T.; Pljevljakušić, D.; Zdunić, G.; Ibrić, S. Optimization of polyphenols extraction from dried chokeberry using maceration as traditional technique. Food Chem. 2016, 194, 135–142. [Google Scholar] [CrossRef]
  8. Sharma, V.; Janmeda, P. Extraction, isolation and identification of flavonoid from Euphorbia neriifolia leaves. Arab. J. Chem. 2017, 10, 509–514. [Google Scholar] [CrossRef]
  9. Agustin-Salazar, S.; Medina-Juárez, L.A.; Soto-Valdez, H.; Manzanares-López, F.; Gámez-Meza, N. Influence of the solvent system on the composition of phenolic substances and antioxidant capacity of extracts of grape (Vitis vinifera L.) marc. Aust. J. Grape Wine Res. 2014, 20, 208–213. [Google Scholar] [CrossRef]
  10. Albuquerque, B.R.; Prieto, M.A.; Vazquez, J.A.; Barreiro, M.F.; Barros, L.; Ferreira, I.C.F.R. Recovery of bioactive compounds from Arbutus unedo L. fruits: Comparative optimization study of maceration/microwave/ultrasound extraction techniques. Food Res. Int. 2018, 109, 455–471. [Google Scholar] [CrossRef]
  11. Farzaneh, V.; Carvalho, I.S. Modelling of microwave assisted extraction (MAE) of anthocyanins (TMA). J. Appl. Res. Med. Aromat. Plants 2017, 6, 92–100. [Google Scholar] [CrossRef]
  12. Meng, Y.; Zang, S.; Wang, X.; Wang, H.Y.; Deng, J.H.; Wu, M.J.; Zhang, P.P. Phytochemistry and pharmacology of genus Cercis: A review. Rec. Nat. Prod. 2024, 18, 380–392. [Google Scholar] [CrossRef]
  13. Chen, Y. Flavonoids extracted from Cercis chinensis Bunge fruit with an orthogonal test and its antioxidant. J. Shandong Agri. Uni. 2016, 47, 43–46. [Google Scholar]
  14. Sun, X. Study on Scavenging Free Radical of Total Flavonoids of Cercis chinensis Bunge. Food Res. Dev. 2015, 36, 70–74. [Google Scholar]
  15. Li, H.; Dong, F. Orthogonal design optimization for extraction process of total flavonoids in Cercis chinensis. Soybean Sci. 2014, 33, 735–737+741. [Google Scholar]
  16. You, X. Study on extraction of flavonoids and scavenging effect on hydroxyl radicals from Cercis chinensis bunge. Cereals Oils 2014, 27, 54–57. [Google Scholar]
  17. Perna, F.M.; Vitale, P.; Capriati, V. Deep eutectic solvents and their applications as green solvents. Curr. Opin. Green Sustain. Chem. 2020, 21, 27–33. [Google Scholar] [CrossRef]
  18. Weerasinghe, U.A.; Wu, T.T.; Chee, P.L.; Yew, P.Y.M.; Lee, H.K.; Loh, X.J.; Dan, K. Deep eutectic solvents towards green polymeric materials. Green Chem. 2024, 26, 8497–8527. [Google Scholar] [CrossRef]
  19. Zhao, D.N.; Zhou, X.M.; Gong, X.J.; Quan, W.X.; Gao, G.S.; Zhao, C. Optimization of ultrasound-assisted extraction of flavonoids from Emilia prenanthoidea DC. using response surface methodology and exploration of the ecological factors on total flavonoid and antioxidant activity. Food Med. Homol. 2024, 1, 9420017. [Google Scholar] [CrossRef]
  20. Yu, D.K.; Jiang, D.P.; Xue, Z.M.; Mu, T.C. Deep eutectic solvents as green solvents for materials preparation. Green Chem. 2024, 26, 7478–7507. [Google Scholar] [CrossRef]
  21. Wen, C.T.; Zhang, J.X.; Zhang, H.H.; Dzah, C.S.; Zandile, M.; Duan, Y.Q.; Ma, H.L.; Luo, X.P. Advances in ultrasound assisted extraction of bioactive compounds from cash crops—A review. Ultrason. Sonochem. 2018, 48, 538–549. [Google Scholar] [CrossRef]
  22. Pereira, T.C.; Souza, V.P.; Padilha, A.P.F.; Duarte, F.A.; Flores, E.M.M. Trends and perspectives on the ultrasound-assisted extraction of bioactive compounds using natural deep eutectic solvents. Curr. Opin. Chem. Eng. 2025, 47, 101088. [Google Scholar] [CrossRef]
  23. Siddiqui, S.A.; Redha, A.A.; Salauddin, M.; Harahap, I.A.; Rupasinghe, H.P.V. Factors affecting the extraction of (poly)phenols from natural resources using deep eutectic solvents combined with ultrasound-assisted extraction. Crit. Rev. Anal. Chem. 2025, 55, 139–160. [Google Scholar] [CrossRef]
  24. Liu, C.; Gong, F.Y.; Xiong, Z.W.; Wang, C.; Ran, X.H.; Ran, J.H.; Li, R.Z.; Ou, Y.J.; Xia, Q.Q.; Wei, P.; et al. An extraction process based on the collaborative extraction of Coptis chinensis Franch. Phytoconstituents using a deep eutectic solvent and an organic solvent. Separations 2024, 11, 249. [Google Scholar] [CrossRef]
  25. Zuo, J.L.; Ma, P.R.; Geng, S.Q.; Kong, Y.Z.; Li, X.; Fan, Z.S.; Zhang, Y.L.; Dong, A.; Zhou, Q. Optimization of the extraction process of flavonoids from Trollius ledebouri with natural deep eutectic solvents. J. Sep. Sci. 2022, 45, 717–727. [Google Scholar] [CrossRef] [PubMed]
  26. Lim, Y.P.; Pang, S.F.; Yusoff, M.M.; Mudalip, S.K.A.; Gimbun, J. Correlation between the extraction yield of mangiferin to the antioxidant activity, total phenolic and total flavonoid content of Phaleria macrocarpa fruits. J. Appl. Res. Med. Aromat. Plants 2019, 14, 100224. [Google Scholar] [CrossRef]
  27. Hang, N.T.; Ha, D.T.T.; Nga, N.H.; Van Phuong, N. Deep eutectic solvent combined with soybean as an efficient approach to enhance the content of apigenin in the Chrysanthemum indicum L. extract. Food Chem. 2024, 445, 138793. [Google Scholar] [CrossRef]
  28. Guo, Y.; Li, Y.; Li, Z.; Yan, W.; Chen, P.; Yao, S. Extraction assisted by far infrared radiation and hot air circulation with deep eutectic solvent for bioactive polysaccharides from Poria cocos (Schw.) wolf. Green Chem. 2021, 23, 7170–7192. [Google Scholar] [CrossRef]
  29. Payet, B.; Shum Cheong Sing, A.; Smadja, J. Assessment of antioxidant activity of cane brown sugars by ABTS and DPPH radical scavenging assays: Determination of their polyphenolic and volatile constituents. J. Agric. Food Chem. 2005, 53, 10074–10079. [Google Scholar] [CrossRef] [PubMed]
  30. Xiong, S.; Li, R.; Ye, S.; Ni, P.; Shan, J.; Yuan, T.; Liang, J.; Fan, Y.; Zhang, X. Vanillin enhances the antibacterial and antioxidant properties of polyvinyl alcohol-chitosan hydrogel dressings. Int. J. Biol. Macromol. 2022, 220, 109–116. [Google Scholar] [CrossRef]
  31. Manoharan, D.; Radhakrishnan, M.; Tiwari, B.K. Cavitation technologies for extraction of high value ingredients from renewable biomass. TrAC Trends Anal. Chem. 2024, 174, 117682. [Google Scholar] [CrossRef]
  32. Urango, A.C.M.; Strieder, M.M.; Silva, E.K.; Meireles, M.A.A. Thermosonication process design for recovering bioactive compounds from fennel: A comparative study with conventional extraction techniques. Appl. Sci. 2021, 11, 12104. [Google Scholar] [CrossRef]
  33. Shu, P.; Wang, N.; Meng, Y.; Fan, S.; Liu, S.; Fan, X.; Huang, J. Ultrasound-assisted deep eutectic solvent extraction of polysaccharides from Cercis chinensis bark: Optimization, kinetics and antioxidant activities. Ultrason. Sonochem. 2025, 121, 107535. [Google Scholar] [CrossRef] [PubMed]
Figure 1. Structural formulas of NADES components.
Figure 1. Structural formulas of NADES components.
Separations 12 00269 g001
Figure 2. Standard curve of rutin.
Figure 2. Standard curve of rutin.
Separations 12 00269 g002
Figure 3. Extraction yield of flavonoid by different NADES.
Figure 3. Extraction yield of flavonoid by different NADES.
Separations 12 00269 g003
Figure 4. The IR (a), 1H NMR (b), and 13C NMR (c) spectra of NADES-1.
Figure 4. The IR (a), 1H NMR (b), and 13C NMR (c) spectra of NADES-1.
Separations 12 00269 g004
Figure 5. The effects of water content (a), molar ratio (b), extraction time (c), extraction temperature (d), solid–liquid ratio (e), and ultrasonic power (f) on flavonoid yield.
Figure 5. The effects of water content (a), molar ratio (b), extraction time (c), extraction temperature (d), solid–liquid ratio (e), and ultrasonic power (f) on flavonoid yield.
Separations 12 00269 g005
Figure 6. Correlation analysis of actual and predicted values.
Figure 6. Correlation analysis of actual and predicted values.
Separations 12 00269 g006
Figure 7. Three-dimensional response surface plots ((a) extraction time and temperature; (b) water content and extraction temperature; (c) water content and extraction time).
Figure 7. Three-dimensional response surface plots ((a) extraction time and temperature; (b) water content and extraction temperature; (c) water content and extraction time).
Separations 12 00269 g007
Figure 8. The microstructure of C. chinensis seeds powder treated by different methods ((a) Raw powder; (b) 60% Ethanol–UAE; (c) NADES–UAE).
Figure 8. The microstructure of C. chinensis seeds powder treated by different methods ((a) Raw powder; (b) 60% Ethanol–UAE; (c) NADES–UAE).
Separations 12 00269 g008
Figure 9. Reusability of NADES.
Figure 9. Reusability of NADES.
Separations 12 00269 g009
Figure 10. The relationship between ln [C∞/(C∞ − C)] and t at different temperatures and liquid–solid ratios ((a) 15 mL/g; (b) 25 mL/g; (c) 35 mL/g).
Figure 10. The relationship between ln [C∞/(C∞ − C)] and t at different temperatures and liquid–solid ratios ((a) 15 mL/g; (b) 25 mL/g; (c) 35 mL/g).
Separations 12 00269 g010
Figure 11. Plots of Y vs. t at different temperatures and liquid–solid ratios ((a) 15 mL/g; (b) 25 mL/g; (c) 35 mL/g)).
Figure 11. Plots of Y vs. t at different temperatures and liquid–solid ratios ((a) 15 mL/g; (b) 25 mL/g; (c) 35 mL/g)).
Separations 12 00269 g011
Figure 12. Plots of 104Ds vs. conditions at different temperatures and liquid–solid ratios ((a) 15 mL/g; (b) 25 mL/g; (c) 35 mL/g).
Figure 12. Plots of 104Ds vs. conditions at different temperatures and liquid–solid ratios ((a) 15 mL/g; (b) 25 mL/g; (c) 35 mL/g).
Separations 12 00269 g012
Figure 13. The relationship between -lnk and 1000/T ((a) 15 mL/g; (b) 25 mL/g; (c) 35 mL/g).
Figure 13. The relationship between -lnk and 1000/T ((a) 15 mL/g; (b) 25 mL/g; (c) 35 mL/g).
Separations 12 00269 g013
Figure 14. Scavenging effects of flavonoid on ABTS (a) and PTIO (b) radicals.
Figure 14. Scavenging effects of flavonoid on ABTS (a) and PTIO (b) radicals.
Separations 12 00269 g014
Table 1. The detailed information for the prepared NADES.
Table 1. The detailed information for the prepared NADES.
No.HBAHBDMolar RatioAbbreviations
NADES-1Choline chlorideLevulinic acid1:2ChCl–Lev
NADES-2Choline chlorideCitric acid1:1ChCl–Cit
NADES-3Choline chlorideL-Malic acid1:2ChCl–Mal
NADES-4Choline chlorideGlycerol1:2ChCl–Gly
NADES-5L-ProlineL-Malic acid1:2Pro–Mal
NADES-6L-ProlineSorbitol1:2Pro–Sor
NADES-7L-ProlineCitric acid1:2Pro–Cit
NADES-8L-ProlineLactic acid1:1Pro–Laa
NADES-9BetaineCitric acid1:2Bet–Cit
Table 2. Response surface methodology factor design level.
Table 2. Response surface methodology factor design level.
LevelFactor
X1: Extraction Temperature (°C)X2: Extraction Time (min)X3: Water Content (%)
−1502510
0603020
1703530
Table 3. Polarity, pH, conductivity, and viscosity parameters of NADES.
Table 3. Polarity, pH, conductivity, and viscosity parameters of NADES.
GroupPolarity (kcal/mol)pHConductivity (S/m)Viscosity (mPa·s)
NADES-131.351.05710553
NADES-231.350.047.91300
NADES-329.0801695250
NADES-426.330.91618332
NADES-529.082.122.1689
NADES-631.355.6529.5162
NADES-730.281.8614081850
NADES-830.873.57145.62306
NADES-926.696.66131.645
Table 4. Response surface optimization experimental design and results.
Table 4. Response surface optimization experimental design and results.
StdRunFactor 1Factor 2Factor 3Response 1
A: Extraction Temperature (°C)B: Extraction Time (min)C: Moisture Content (%)Y: Extraction Yield (mg/g)
12−1−1094.3
241−10102.1
36−11097.2
413110100.4
53−10−183
6110−193.6
716−101105.4
87101121.5
9150−1−199.7
10901−1110.4
1180−11128.5
1214011127
1310000129.9
1417000127.3
1512000131.2
1611000129
175000125.2
Table 5. Regression analysis of extraction model and regression coefficients.
Table 5. Regression analysis of extraction model and regression coefficients.
Source of VarianceSun of SquaresdfMean SquareF Valuep ValueSignificance
Model0.004190.000549.52<0.0001**
A0.000210.000219.540.0031*
B0.000010.00001.490.2622-
C0.001110.0011125.92<0.0001**
AB5.290 × 10−615.290 × 10−60.58190.4705-
AC7.562 × 10−617.562 × 10−60.83180.3921-
BC0.000010.00004.090.0828-
A20.002210.0022240.17<0.0001**
B20.000210.000224.330.0017**
C20.000110.000111.000.0128-
Residual0.000179.091 × 10−6 -
Lack of Fit0.000030.00002.550.1935ns
Pure Error0.000045.457 × 10−6 -
sum0.004116 -
R2 = 0.9845, R2Adj = 0.9547, R2Pre = 0.8292
* Indicates significant difference (p < 0.05); ** indicates highly significant difference (p < 0.01); ns indicates no significant difference.
Table 6. Rate constant k of C. chinensis seed flavonoid under different temperatures and liquid–solid ratios.
Table 6. Rate constant k of C. chinensis seed flavonoid under different temperatures and liquid–solid ratios.
Liquid–Solid Ratio/(mL/g)Temperature/°CFitted Linear EquationR2k/min−1
1530ln [C∞/(C∞ − C)] = 0.00136t + 0.005480.97950.00136
40ln [C∞/(C∞ − C)] = 0.00176t + 0.007430.97450.00176
50ln [C∞/(C∞ − C)] = 0.00218t + 0.011260.98020.00218
60ln [C∞/(C∞ − C)] = 0.00272t + 0.014970.95520.00272
70ln [C∞/(C∞ − C)] = 0.00329t + 0.022330.96040.00329
2530ln [C∞/(C∞ − C)] = 0.00529t + 0.025560.96860.00529
40ln [C∞/(C∞ − C)] = 0.00665t + 0.031130.93660.00665
50ln [C∞/(C∞ − C)] = 0.00817t + 0.041690.97590.00817
60ln [C∞/(C∞ − C)] = 0.01053t + 0.043350.9724 0.01053
70ln [C∞/(C∞ − C)] = 0.01328t + 0.054690.98210.01328
3530ln [C∞/(C∞ − C)] = 0.00683t + 0.074140.98120.00686
40ln [C∞/(C∞ − C)] = 0.00784t + 0.102000.98250.00787
50ln [C∞/(C∞ − C)] = 0.00959t + 0.146070.95380.00965
60ln [C∞/(C∞ − C)] = 0.01179t + 0.222170.97920.01185
70ln [C∞/(C∞ − C)] = 0.01576t + 0.228890.96950.01589
Table 7. Relationship between Y and t under different temperatures and liquid–solid ratios.
Table 7. Relationship between Y and t under different temperatures and liquid–solid ratios.
Liquid–Solid Ratio/(mL/g)Temperature/°CFitted Exponential EquationR2
1530Y = 0.99448e(−0.00136t)0.9799
40Y = 0.99244e(−0.00176t)0.9752
50Y = 0.98837e(−0.00217t)0.9808
60Y = 0.98444e(−0.00269t)0.9581
70Y = 0.97772e(−0.00327t)0.9614
2530Y = 0.9723e(−0.00519t)0.9660
40Y = 0.96568e(−0.00648t)0.9391
50Y = 0.95918e(−0.00817t)0.9766
60Y = 0.95272e(−0.0103t)0.9755
70Y = 0.94103e(−0.01301t)0.9840
3530Y = 0.93286e(−0.00705t)0.9834
40Y = 0.9055e(−0.00797t)0.9838
50Y = 0.86466e(−0.00964t)0.9582
60Y = 0.79863e(−0.01172t)0.9818
70Y = 0.7853e(−0.01528t)0.9722
Table 8. Ds under different temperatures and liquid–solid ratios.
Table 8. Ds under different temperatures and liquid–solid ratios.
Liquid–Solid Ratio/(mL/g)Ds/(10−4 mm2·min−1)
30 °C40 °C50 °C60 °C70 °C
150.055170.071400.088440.110350.13347
250.214610.269790.331450.427200.53876
350.278310.319280.391500.480750.64465
Table 9. Linear regression equations of Ds under different temperatures and liquid–solid ratios.
Table 9. Linear regression equations of Ds under different temperatures and liquid–solid ratios.
Liquid–Solid Ratio/(mL/g)Fitted Linear EquationR2
15104Ds = 0.000085e(0.02147T)0.9977
25104Ds = 0.000184e(0.02325T)0.9992
35104Ds = 0.000298e(0.0223T)0.9846
Table 10. The relationship between −lnk and 1000/T.
Table 10. The relationship between −lnk and 1000/T.
Liquid–Solid Ratio/(mL/g)Fitted Linear EquationR2Ea/(kJ·mol−1)
15−lnK = 2.29102/T − 4.670560.999619.04754
25−lnK = 2.38729/T − 6.320760.996319.84792
35−lnK = 2.15959/T − 5.79290.972917.95483
Disclaimer/Publisher’s Note: The statements, opinions and data contained in all publications are solely those of the individual author(s) and contributor(s) and not of MDPI and/or the editor(s). MDPI and/or the editor(s) disclaim responsibility for any injury to people or property resulting from any ideas, methods, instructions or products referred to in the content.

Share and Cite

MDPI and ACS Style

Shu, P.; Fan, S.; Liu, S.; Meng, Y.; Wang, N.; Guo, S.; Yin, H.; Hu, D.; Fan, X.; Chen, S.; et al. Ultrasound-Assisted Deep Eutectic Solvent Extraction of Flavonoids from Cercis chinensis Seeds: Optimization, Kinetics and Antioxidant Activity. Separations 2025, 12, 269. https://doi.org/10.3390/separations12100269

AMA Style

Shu P, Fan S, Liu S, Meng Y, Wang N, Guo S, Yin H, Hu D, Fan X, Chen S, et al. Ultrasound-Assisted Deep Eutectic Solvent Extraction of Flavonoids from Cercis chinensis Seeds: Optimization, Kinetics and Antioxidant Activity. Separations. 2025; 12(10):269. https://doi.org/10.3390/separations12100269

Chicago/Turabian Style

Shu, Penghua, Shuxian Fan, Simin Liu, Yu Meng, Na Wang, Shoujie Guo, Hao Yin, Di Hu, Xinfeng Fan, Si Chen, and et al. 2025. "Ultrasound-Assisted Deep Eutectic Solvent Extraction of Flavonoids from Cercis chinensis Seeds: Optimization, Kinetics and Antioxidant Activity" Separations 12, no. 10: 269. https://doi.org/10.3390/separations12100269

APA Style

Shu, P., Fan, S., Liu, S., Meng, Y., Wang, N., Guo, S., Yin, H., Hu, D., Fan, X., Chen, S., He, J., Guo, T., Zou, W., Zhang, L., Wei, X., & Huang, J. (2025). Ultrasound-Assisted Deep Eutectic Solvent Extraction of Flavonoids from Cercis chinensis Seeds: Optimization, Kinetics and Antioxidant Activity. Separations, 12(10), 269. https://doi.org/10.3390/separations12100269

Note that from the first issue of 2016, this journal uses article numbers instead of page numbers. See further details here.

Article Metrics

Back to TopTop