Artemisia frigida Willd.: Advances in Traditional Uses, Phytochemical Constituents, Extraction and Separation Methods, and Pharmacological Activities
Abstract
1. Introduction
2. Traditional Ethnomedicinal Uses
3. Extraction and Separation Technologies of Active Compounds in AF
3.1. Solvent Extraction
3.2. Ultrasonic-Assisted Extraction
3.3. Supercritical Fluid Extraction
3.4. High-Performance Liquid Chromatography
3.5. Column Chromatography
3.6. Preparative High-Performance Liquid Chromatography
3.7. Macroporous Adsorption Resin
3.8. High-Performance Capillary Electrophoresis
4. Active Components in AF
4.1. Flavonoids
4.2. Sesquiterpenes
4.3. Polyphenols
5. Pharmacological Properties
5.1. Anti-Inflammatory Activity
5.2. Antitumor Effects
5.3. Antioxidant Activity
5.4. Other Biological Activities
6. Conclusions
Author Contributions
Funding
Data Availability Statement
Conflicts of Interest
References
- World Health Organization. WHO Guidelines on Safety Monitoring of Herbal Medicines in Pharmacovigilance Systems; World Health Organization: Geneva, Switzerland, 2004. [Google Scholar]
- Salihu Shinkafi, T.; Bello, L.; Wara Hassan, S.; Ali, S. An Ethnobotanical Survey of Antidiabetic Plants Used by Hausa–Fulani Tribes in Sokoto, Northwest Nigeria. J. Ethnopharmacol. 2015, 172, 91–99. [Google Scholar] [CrossRef]
- Wang, Q.H.; Ao, W.L.J.; Tai, W.Q. Simultaneous Determination of Seven Flavonoids in Aerial Parts of Artemisia frigida by HPLC. Chin. Herb. Med. 2012, 4, 252–258. [Google Scholar]
- Winslow, L.C.; Kroll, D.J. Herbs as Medicines. Arch. Intern. Med. 1998, 158, 2192–2199. [Google Scholar] [CrossRef] [PubMed]
- Saini, R.; Sharma, N.; Oladeji, O.S.; Sourirajan, A.; Dev, K.; Zengin, G.; El-Shazly, M.; Kumar, V. Traditional Uses, Bioactive Composition, Pharmacology, and Toxicology of Phyllanthus emblica Fruits. J. Ethnopharmacol. 2022, 282, 114570. [Google Scholar] [CrossRef]
- Bu Ri, E.; Alatengbuya; Bao, J.Q.; Li, J.W. A Study on the Materia Medica of the Mongolian Medicinal Herb Agui. Chin. J. Ethnomed. Ethnopharm. 1998, 6, 2. (In Chinese) [Google Scholar]
- Zhanbula; Chen, S.H.; Zhang, H.; Cao, L.X.; Burenjiya. The characteristics, ecological and geographical distribution of Artemisia frigida. J. Inn. Mong. Agric. Univ. 1999, 1, 6–12. (In Chinese) [Google Scholar]
- Hasibagen; Chen, S.; Mandula; Yinzhabu. Ethnobotanical Research on the Mongolian People’s Utilisation of Artemisia frigida Willd. J. Inn. Mong. Norm. Univ. 1994, 2, 59–65. (In Chinese) [Google Scholar]
- Wang, Q.H.; Wang, J.H.; Eerdengbagena; Na, T. Study on chemical constituents of Artemisia frigida Willd. In Proceedings of the Chinese Pharmaceutical Congress and the 10th China Pharmacist Week, Tianjin, China, 6–7 November 2010. (In Chinese). [Google Scholar]
- Li, Z.J.; Zheng, L.H.; Liu, L. Research on the Chemical Constituents of Artemisia frigida Willd. in Altay. Chin. J. Ethnomed. Ethnopharm. 2022, 31, 38–44. (In Chinese) [Google Scholar]
- Olennikov, D.N. New Flavonoids from Artemisia frigida. Chem. Nat. Compd. 2020, 56, 623–627. [Google Scholar] [CrossRef]
- Liu, D.; Shi, N.N.; Wu, Y.H.; Li, W.H.; Zhang, M.L.; Shi, Q.W. Chemical constituents from plant of Artemisia frigida. Chin. Tradit. Herb. Drugs 2017, 48, 5090–5098. (In Chinese) [Google Scholar]
- Liu, Y.H.; Si, Y.; Jiao, Y.F.; Zhang, Q.H.; Li, P.Y.; Liu, J.P.; Wang, Z. Research Advances on Constituents and Pharmacological Activities of Flavonoids in Artemisia Species. Spec. Prod. Res. 2020, 42, 80–94. (In Chinese) [Google Scholar]
- Wang, Q.H.; Ao, W.L.J.; Dai, N.Y.T. Structural Elucidation and HPLC Analysis of Six Flavone Glycosides from Artemisia frigida Willd. Chem. Res. Chin. Univ. 2013, 29, 439–444. [Google Scholar] [CrossRef]
- Wang, Q.H.; Ao, W.L.; Bao, J.H. Simultaneous Determination of Five Flavonoids in Artemisia frigida by HPCE. Chin. J. Exp. Tradit. Med. Formulae 2011, 17, 63–66. (In Chinese) [Google Scholar]
- Kunert, O.; Alperth, F.; Pabi, E.; Bucar, F. Highly Oxidized Flavones in Artemisia Species—Structure Revisions and Improved UHPLC-MS(n) Analysis. Heliyon 2023, 9, e22309. [Google Scholar] [CrossRef]
- Schepetkin, I.A.; Özek, G.; Özek, T.; Kirpotina, L.N.; Khlebnikov, A.I.; Klein, R.A.; Quinn, M.T. Neutrophil Immunomodulatory Activity of Farnesene, a Component of Artemisia dracunculus Essential Oils. Pharmaceuticals 2022, 15, 642. [Google Scholar] [CrossRef] [PubMed]
- Xue, Y.; Liu, X.Y.; Gao, H.B.; Xue, Y.Z. Study on Anti-inflammatory Effects and Its Mechanism of Water Extract from Inner Mongolia Medicine Agi. China Pharm. 2020, 31, 1425–1429. (In Chinese) [Google Scholar]
- Fu, Q.; Ma, X.; Li, S.; Shi, M.; Song, T.; Cui, J. New Insights into the Interactions between the Gut Microbiota and the Inflammatory Response to Ulcerative Colitis in a Mouse Model of Dextran Sodium Sulfate and Possible Mechanisms of Action for Treatment with PE&AFWE. Anim. Model. Exp. Med. 2024, 7, 83–97. [Google Scholar] [CrossRef]
- Zhang, L.; Bao, Y.M.; Wang, S.Y.; Huang, L.L.; Liu, Y.L. Determination of Flavonoids in the Artemisia frigida Willd of Mongolian Medicine and Study on lts Antioxidant Effect in vitro. Chin. J. Spectrosc. Lab. 2011, 28, 774–776. (In Chinese) [Google Scholar]
- Olennikov, D.N.; Kashchenko, N.I.; Chirikova, N.K.; Vasil’eva, A.G.; Gadimli, A.I.; Isaev, J.I.; Vennos, C. Caffeoylquinic Acids and Flavonoids of Artemisia frigida Willd. Antioxidants 2019, 8, 307. [Google Scholar]
- Zhigzhitzhapova, S.V.; Dylenova, E.P.; Goncharova, D.B.; Zhigzhitzhapov, B.V.; Emelyanova, E.A.; Polonova, A.V.; Tykheev, Z.A.; Bazarsadueva, S.V.; Taraskina, A.S.; Pintaeva, E.T. Functional Activity of the Antioxidant System of Artemisia Genus Plants in the Republic of Buryatia (Russia) and Its Significance in Plant Adaptation. Plants 2024, 13, 2630. [Google Scholar] [CrossRef] [PubMed]
- Tian, W.; Yang, J.; Dou, J.H.; Li, X.M.; Dai, X.F.; Wang, X.M.; Sun, Y.H.; Li, Z.Y. Interbatch Quality Control of A. frigida Extract via Spectrum–Effect. Int. J. Food Prop. 2022, 25, 541–549. [Google Scholar] [CrossRef]
- Hussain, M.; Thakur, R.K.; Khazir, J.; Ahmed, S.; Khan, M.I.; Rahi, P.; Peer, L.A.; Shanmugam, P.V.; Kaur, S.; Raina, S.N.; et al. The Genus Artemisia L.: A High-Value Medicinal Plant. Curr. Top. Med. Chem. 2024, 24, 301–342. [Google Scholar] [CrossRef]
- Liu, Y.; Wang, Z.; Zhang, B.H.; Yang, G.X.; Chen, B.R.; Xin, X.P.; Xiong, S.; Guo, Y.; Feng, J.; Huang, L. Investigation on Mongolian Medicine Plant Resources of Artemisia frigida Willd. in Inner Mongolia Region. China Agric. Sci. Bull. 2010, 38, 4077–4079. (In Chinese) [Google Scholar]
- Wang, Q.H.; Tegexibayaer; Sirigunqiqige; Wang, J.H. Study on Quality Standard of Mongolian Medicine Artemisia frigida. Chin. Tradit. Pat. Med. 2010, 32, 616–619. (In Chinese) [Google Scholar]
- Wang, Q.H.; Wurensubude; Buhebateer; Wang, J.H. Review on Changes with History and Modern Research for Artemisia frigida Willd. Chin. Mod. Appl. Pharm. 2010, 27, 897–900+915. (In Chinese) [Google Scholar]
- Cui, J.; Tang, L.; Lan, R.; Baoyindalai, B. Clinical Analysis of Cases on Curative Effect of Mongolian Medicinal Herb Agui in Treatment of Hemoptysis Caused by Bronchiectasis. J. Minzu Univ. China 2006, 15, 149–151+155. (In Chinese) [Google Scholar]
- Zhuna, Z.; Sarula, S.; Nasangsang, N. Processing Technology of Mongolian A. frigida and Pharmacological Study. Med. Plant 2017, 8, 32–34. [Google Scholar]
- Zhang, W.; Xie, K.; Lou, C.X.; Liu, Y.; Cui, J. Contents and extraction rates of inorganic elements in raw versus processed Mongolian drug Agi (Artemisia frigida) Willd. Drugs Clin. 2008, 8, 852–854. (In Chinese) [Google Scholar]
- Ao, W.L.; Bu Ri, E.; Wu, Q.S. Ethnobotanical Studies on Mongolian Medicinal Material Agi. J. Chin. Med. Mater. 2001, 6, 394–396. (In Chinese) [Google Scholar]
- Wulan; Temuqile; Yulan; Wulijibate’er; Narengaowa; Xurenqimuge. Analysis of the Efficacy of Mongolian Medicine in Treating Knee Osteoarthritis. Inn. Mong. Med. J. 2011, 43, 654–655. (In Chinese) [Google Scholar]
- Temuqile, T.; Dai, X.M.; Sarula; Yulan. Efficacy Evaluation of Mongolian Medicine in the Treatment of 132 Cases of Osteoarthritis. J. Chin. Ethn. Med. 2011, 17, 10–11. (In Chinese) [Google Scholar]
- Abedelmaksoud, T.G.; Younis, M.I.; Altemimi, A.B.; Tlay, R.H.; Ali Hassan, N. Bioactive Compounds of Plant-Based Food: Extraction, Isolation, Identification, Characteristics, and Emerging Applications. Food Sci. Nutr. 2025, 13, e70351. [Google Scholar] [CrossRef] [PubMed]
- Wang, X.; Chan, S.W.; Singaram, N.; Teoh, M.L.; Mah, S.H.; Looi, C.Y. Essential oil from Aquilaria spp. (agarwood): A comprehensive review on the impact of extraction methods on yield, chemical composition, and biological activities. J. Essent. Oil Res. 2025, 37, 110–144. [Google Scholar] [CrossRef]
- Dassoff, E.S.; Li, Y.O. Ultrasound-Assisted Supercritical CO2 Extraction. Trends Food Sci. Technol. 2019, 86, 492–501. [Google Scholar] [CrossRef]
- Marić, M.; Ninčević·Grassino, A.; Zhu, Z.; Barba, F.J.; Brnčić, M.; Rimac·Brnčić, S. An overview of the traditional and innovative approaches for pectin extraction from plant food wastes and by-products: Ultrasound-, microwaves-, and enzyme-assisted extraction. Trends Food Sci. Technol. 2018, 76, 28–37. [Google Scholar] [CrossRef]
- Manjare, S.D.; Dhingra, K. Supercritical fluids in separation and purification: A review. Mater. Sci. Energy Technol. 2019, 2, 463–484. [Google Scholar] [CrossRef]
- Lim, S.; Lee, K. Process intensification for biodiesel production from Jatropha curcas L. seeds: Supercritical reactive extraction process parameters study. Appl. Energy 2013, 103, 712–720. [Google Scholar] [CrossRef]
- Rozzi, N.L.; Singh, R.K. Supercritical Fluids and the Food Industry. Compr. Rev. Food Sci. Food Saf. 2002, 1, 33–44. [Google Scholar] [CrossRef]
- Kumar, B.R. Application of HPLC and ESI-MS techniques in the analysis of phenolic acids and flavonoids from green leafy vegetables (GLVs). J. Pharm. Anal. 2017, 7, 349–364. [Google Scholar] [CrossRef]
- Long, Y.; Zhang, W.; Wang, F. Simultaneous determination of three curcuminoids in Curcuma longa L. by high-performance liquid chromatography coupled with electrochemical detection. J. Pharm. Anal. 2014, 4, 325–330. [Google Scholar]
- Chen, Q.; Li, Y.; Chen, Z. Separation, identification and quantification of active constituents in Fructus Psoraleae by high-performance liquid chromatography with UV, ion trap mass spectrometry and electrochemical detection. J. Pharm. Anal. 2012, 2, 143–151. [Google Scholar] [CrossRef] [PubMed]
- dos Santos, F.K.F.; de Rezende, C.M.; da Veiga Júnior, V.F. Macroporous polymeric resins as a tool to obtain bioactive compounds in food and food-waste: A review. J. Food Compos. Anal. 2023, 114, 104703. [Google Scholar] [CrossRef]
- Che Zain, M.S.; Lee, S.Y.; Teo, C.Y.; Shaari, K. Adsorption/Desorption characteristics and simultaneous enrichment of orientin, isoorientin, vitexin and isovitexin from hydrolyzed oil palm leaf extract using macroporous resins. Processes 2021, 9, 659. [Google Scholar] [CrossRef]
- Feng, J.; Xiao, Y.; Guo, Z.; Yu, D.; Jin, Y.; Liang, X. 2D Prep Chromatography (Click OEG/C18) for Dalbergia odorifera. J. Sep. Sci. 2011, 34, 299–307. [Google Scholar] [CrossRef] [PubMed]
- Patil, A.; Chavan, S. Preparative HPLC and its applications: A review. Int. J. Res. Publ. Rev. 2024, 5, 1128–1132. [Google Scholar]
- Przybylska, A.; Gackowski, M.; Koba, M. Application of Capillary Electrophoresis to the Analysis of Bioactive Compounds in Herbal Raw Materials. Molecules 2021, 26, 2135. [Google Scholar] [CrossRef]
- Fang, C.; Wan, X.; Tan, H.; Jiang, C. Separation and determination of isoflavonoids in several kudzu samples by high-performance capillary electrophoresis (HPCE). Ann. Chim. 2006, 96, 117–124. [Google Scholar] [CrossRef]
- Xiao, S.; Wang, W.; Liu, Y. Research progress on extraction and separation of active components from loquat leaves. Separations 2023, 10, 126. [Google Scholar] [CrossRef]
- Dukre, T.P.; Sangale, S.S.; Shelke, A.K.; Chattar, N.M.; Narsale, D.D. A review on column chromatographic techniques as separation method. IRE J. 2023, 6, 116–120. [Google Scholar]
- Peron, G.; Ferrarese, I.; Dos Santos, N.C.; Rizzo, F.; Gargari, G.; Bertoli, N.; Gobbi, E.; Perosa, A.; Selva, M.; Dall’Acqua, S. Sustainable Extraction of Bioactive Compounds and Nutrients from Agri-Food Wastes: Potential Reutilization of Berry, Honey, and Chicory Byproducts. Appl. Sci. 2024, 14, 10785. [Google Scholar] [CrossRef]
- Liu, L.; Li, Z.J.; Li, W.L.; Tian, S.Y.; Bao, Y.L.; Sun, L.G.; Huang, Y.X.; Li, Y.X. Study on the chemical constituents of the aerial parts of Artemisia frigida. In Proceedings of the 10th National Symposium on Natural Organic Chemistry of the Chinese Chemical Society, Guangzhou, China, 21 November 2014. (In Chinese). [Google Scholar]
- Liu, Y.J.; Gao, Y.; Li, Y.J.; Ma, Y.Y.; Zhang, L.; Bao, Y.M. Determination of Quercetin in Artemisiafrigida by Catalytic Kinetic Spectrophotometry. J. Inn. Mong. Univ. Natl. 2010, 25, 266–267. (In Chinese) [Google Scholar]
- Rivera-Mondragón, A.; Broeckx, G.; Bijttebier, S.; Naessens, T.; Fransen, E.; Kiekens, F.; Caballero-George, C.; Vander Heyden, Y.; Apers, S.; Pieters, L.; et al. Ultrasound-assisted extraction optimization and validation of an HPLC-DAD method for the quantification of polyphenols in leaf extracts of Cecropia species. Sci. Rep. 2019, 9, 2028. [Google Scholar] [CrossRef]
- Rao, M.V.; Sengar, A.S.; Rawson, A. Ultrasonication—A green technology extraction technique for spices: A review. Trends Food Sci. Technol. 2021, 116, 975–991. [Google Scholar] [CrossRef]
- Marić, M.; Grassino, A.N.; Zhu, Z.; Barba, F.J.; Brnčić, M.; Rimac Brnčić, S. Pectin Extraction from Plant Wastes. Trends Food Sci. Technol. 2018, 76, 28–37. [Google Scholar] [CrossRef]
- Tang, L.; Yao, Q.Q.; Zhang, W.; Zeng, M.; Wang, D.X.; Cui, J. Studies on the Extraction of Arteisia frigida by Supercritical Fluid CO2. Liaoning J. Tradit. Chin. Med. 2007, 7, 965–966. (In Chinese) [Google Scholar]
- Tang, L.; Xie, K.; Zhang, W.; Yao, Q.Q.; Zeng, M.; Wang, D.X.; Cui, J. GC—MS Analysis of Volatile Oil in Mongolian Medicine Artemisia frigida. Acta Chin. Med. Pharmacol. 2007, 5, 36–37. (In Chinese) [Google Scholar]
- Díaz-Reinoso, B.; Moure, A.; Domínguez, H.; Parajó, J.C. Supercritical CO2: Antioxidant Compounds. J. Agric. Food Chem. 2006, 54, 2441–2469. [Google Scholar] [CrossRef]
- Gao, E.; Wang, W.; Huang, Y.; Luo, Z.; Chen, B.; Xiao, S.; Li, D. Puerariae lobatae Radix: Progress in Extraction, Separation Methods and Pharmacological Activities Research. Separations 2024, 11, 195. [Google Scholar] [CrossRef]
- Wang, Q.H.; Jin, J.M.; Dai, N.Y.T.; Han, N.R.C.K.T.; Han, J.J.; Bao, B.Y.M.Q.E. Anti-inflammatory effects, nuclear magnetic resonance identification, and high-performance liquid chromatography isolation of the total flavonoids from Artemisia frigida. J. Food Drug Anal. 2016, 24, 385–391. [Google Scholar] [CrossRef] [PubMed]
- Tu, B.X.; Wang, Q.H.; Baiyin Muker, B.; Dainaintai, D. Anti-inflammatory Effects, HPLC Isolation and NRM Identification of the Total Flavonoids from Artemisia frigida. Chin. J. Ethnomed. Ethnopharm. 2017, 26, 40–43. (In Chinese) [Google Scholar]
- Sakipova, Z.; Wong, N.S.; Bekezhanova, T.; Sadykova; Shukirbekova, A.; Boylan, F. Quantification of santonin in eight species of Artemisia from Kazakhstan by means of HPLC-UV: Method development and validation. PLoS ONE 2017, 12, e0173714. [Google Scholar] [CrossRef] [PubMed]
- Zhi, H.; Ai, D.; Yang, X.H.; Liu, J.; Siqingerile; Zhang, L.L. A comparative study on the content of chlorogenic acid in wild and cultivated Artemisia frigida Willd. J. Chin. Ethn. Med. 2020, 26, 40–43. (In Chinese) [Google Scholar]
- Queiroz, E.F.; Guillarme, D.; Wolfender, J.-L. High-Resolution Chromatography for Natural Products Isolation. Phytochem. Rev. 2024, 23, 1415–1442. [Google Scholar] [CrossRef] [PubMed]
- Borchuluun, S.; Wang, Q.; Xu, Y.; He, X.; Bao, W.; Pa, B. New Sesquiterpene from A. frigida Volatile Oil. Nat. Prod. Res. 2021, 35, 2376–2380. [Google Scholar] [CrossRef]
- Wang, Q.H.; Ao, W.L.; Wang, X.L.; Bao, X.H.; Wang, J.H. Two New Flavonoid Glycosides from Artemisia frigida Willd. J. Asian Nat. Prod. Res. 2010, 12, 950–954. [Google Scholar] [CrossRef]
- Zhang, M.; Ni, Z.; Li, C.; Wang, Y.; Dong, M.; Sauriol, F.; Huo, C.; Shi, Q.; Yamada, T.; Kiyota, H.; et al. A new germacrane sesquiterpenolide isolated from Artemisia frigida. Chem. Nat. Compd. 2013, 49, 626–628. [Google Scholar] [CrossRef]
- Zhang, M.; Zhao, J.; Dai, X.; Li, X. Extraction and Analysis of Chemical Compositions of Natural Products and Plants. Separations 2023, 10, 598. [Google Scholar] [CrossRef]
- Latif, Z.; Sarker, S.D. Prep-HPLC for Natural Products. In Natural Products Isolation; Humana Press: Totowa, NJ, USA, 2012; pp. 255–274. [Google Scholar]
- Wang, Q.H.; Wu, X.L.; Wang, J.H. Chemical constituents of Artemisia frigida (II). Chin. Tradit. Herb. Drugs 2011, 42, 1075–1078. (In Chinese) [Google Scholar]
- Zhang, Y.; Zeng, L.; Pham, C.; Xu, R. Preparative 2D LC/MS for Complex Pharmaceuticals. J. Chromatogr. A 2014, 1324, 86–95. [Google Scholar] [CrossRef]
- Jin, H.; Liu, Y.; Feng, J.; Guo, Z.; Wang, C.; Zhong, Z.; Peng, X.; Dang, J.; Tao, Y.; Liang, X. Efficient purification of high-purity compounds from the stem of Lonicera japonica Thunb using two-dimensional preparative chromatography. J. Sep. Sci. 2013, 36, 2414–2420. [Google Scholar] [CrossRef] [PubMed]
- Hai, P.; Su, Y. Extraction Technology of Flavonoid in Mongolian Medicine Artemisia frigida and Its Antioxidative Activation. Chin. J. Exp. Tradit. Med. Formulae 2012, 18, 59–63. (In Chinese) [Google Scholar]
- Wang, Q.H.; Tong, Q.; Han, J.J.; Bao, B.Y.M.Q.E.; Wu, J.S.; Han, N.R.C.T.; Dai, N.Y.T.; Wu, R.J. Orthogonal test design for optimization of the isolation and purification of total favonoids from Artemisia frigida Willd using macroporous resin chromatography. Afr. J. Pharm. Pharmacol. 2016, 10, 193–199. [Google Scholar] [CrossRef]
- Ma, H.; Bai, Y.; Li, J.; Chang, Y.X. Screening Bioactives Using Capillary Electrophoresis. Electrophoresis 2018, 39, 260–274. [Google Scholar] [CrossRef]
- Laczkó Zöld, E.; Kis, C.; Nagy-György, E.; Domokos, E.; Ferencz, E.; Szabó, Z.I. Extraction and Characterization of Artichoke (Cynara cardunculus L.) Solid Waste from the Industrial Processing of Fresh-Cut Products for Nutraceutical Use. Foods 2025, 14, 13. [Google Scholar]
- Hai, P.; Su, Y.; Wang, Q.H. Determinaton of five flavonoids from different processing products of Artemisia frigida by HPCE. Chin. Tradit. Herb. Drugs 2011, 42, 893–896. (In Chinese) [Google Scholar]
- Liu, M.M.; Jia, L.; Cheng, L.Y.; Zhang, H.Q.; Zang, X.L.; Baoyin, T.; Zhang, R.; Gao, Y. Responses of phenolic acid and defensive enzyme activities to mechanical damage in Artemisia frigida. Chin. J. Plant Ecol. 2017, 41, 219–230. (In Chinese) [Google Scholar]
- Tu, B.X.; Dainayintai; Hannarenchaoketu; Wang, Q.H. Progress of Modern Research on Mongolian Medicine Artemisia frigida. Chin. J. Ethnomed. Ethnopharm. 2017, 26, 63–68. (In Chinese) [Google Scholar]
- Zhu, D.; Pei, L.Y.; Cui, J. Pharmacy Research Progress on Mongolia Prescription Garidi-2. J. Minzu Univ. China (Nat. Sci.) 2013, 22, 63–68. (In Chinese) [Google Scholar]
- Liu, Y.L.; Mabry, T.J. Sesquiterpene Lactones from Artemisia frigida. J. Nat. Prod. 1981, 44, 722–728. [Google Scholar] [CrossRef]
- Bohlmann, F.; Ang, W.; Trinks, C.; Jakupovic, J.; Huneck, S. Dimeric Guaianolides from Artemisia sieversiana. Phytochemistry 1985, 24, 1009–1015. [Google Scholar] [CrossRef]
- Liu, X.L.; Zhou, J.B.; Tao, Y.D.; Shao, Y. Analysis of chemical composition of volatile oil in Artemisia frigida willd. Chin. J. Spectrosc. Lab. 2008, 3, 25–29. (In Chinese) [Google Scholar]
- Harborne, J.B.; Williams, C.A. Advances in Flavonoid Research Since 1992. Phytochemistry 2000, 55, 481–504. [Google Scholar] [CrossRef]
- Li, S.; Sang, S.; Pan, M.H.; Lai, C.S.; Lo, C.Y.; Yang, C.S.; Ho, C.-T. Anti-Inflammatory Property of Urinary Metabolites of Nobiletin in Mouse. Bioorg. Med. Chem. Lett. 2007, 17, 5177–5181. [Google Scholar] [CrossRef]
- Pan, M.H.; Lai, Y.S.; Lai, C.S.; Wang, Y.J.; Li, S.; Lo, C.Y.; Dushenkov, S.; Ho, C.-T. 5-Hydroxy-3,6,7,8,3′,4′-Hexamethoxyflavone Induces Apoptosis in Leukemia Cells. J. Agric. Food Chem. 2007, 55, 5081–5091. [Google Scholar] [CrossRef]
- Bianca, I.; Anca, M.; Andreia, C. Sesquiterpene Lactones from Artemisia Genus: Biological activities and methods of analysis. J. Anal. Methods Chem. 2015, 2015, 247685. [Google Scholar] [CrossRef]
- Li, C.F.; Zhang, M.L.; Wang, Y.F.; Dong, M.; Sauriol, F.; Huo, C.H.; Shi, Q.-W.; Yamada, T.; Kiyota, H.; Gu, Y.-C.; et al. Arteminal, a New Eudesmane Sesquiterpenolide from Artemisia frigida. Chem. Nat. Compd. 2013, 49, 872–874. [Google Scholar] [CrossRef]
- Wang, Q.H.; Sha, Y.; Ao, W.L.J.; Wang, X.L.; Bao, X.H.; Li, W.; Wang, J.-H. Two New Sesquiterpene Lactone Glycosides from Artemisia frigida Willd. J. Asian Nat. Prod. Res. 2011, 13, 645–651. [Google Scholar] [CrossRef]
- Lima, G.; Vanz Borges, C.; Minatel, I.O.; Ferreira, M.I.; Gomez-Gomez, H.; Chen, C.-Y.O. Phenolic Compounds: Properties, Processing Impact and Bioavailability. In Phenolic Compounds—Biological Activity; IntechOpen: Rijeka, Croatia, 2017. [Google Scholar]
- Tian, W.; Wang, Y.D.; Zhang, T.C.; Li, X.M. Study on anti-inflammatory activity of 17 Chinese herbal medicines in vitro. China Feed 2024, 17, 98–103+128. (In Chinese) [Google Scholar]
- Wang, Q.; Wu, J.; Wu, X.; Han, N.; Tai, W.; Dai, N.; Wu, R.; Ao, W. Flavonoid and Biflavonoid Glycosides from A. frigida. Monatshefte Chem. 2015, 146, 383–387. [Google Scholar] [CrossRef]
- Li, X.M.; Yang, P.L.; Shi, D.D.; Wen, Z.G.; Wang, Y.D.; Yang, J. Extract of Artemisia frigida, Its Preparation Method and Application. CN111686143A, 22 September 2020. (In Chinese). [Google Scholar]
- Li, X.M.; Yang, P.L.; Shi, D.D.; Wen, Z.G.; Wang, Y.D.; Yang, J. Anti—Inflammatory Ethanol Extract of Artemisia frigida, and Its Preparation Method and Application. CN111840350A, 30 October 2020. (In Chinese). [Google Scholar]
- Hua, L.; Wang, Q.H.; Dai, N.Y.T.; Naren, Z.; Wu, R.J.; Wu, J.S. Effect of Artemisia frigida Total Flavonoids on the Levels of LTB4, 5-HETE, Ca2+ and Cyclic AMP in Rat Peritoneal Leukocytes. Nat. Prod. Res. Dev. 2016, 28, 591–600. (In Chinese) [Google Scholar]
- Chen, J.J.; Wang, S.M.; Li, C.F.; Zhang, M.L.; Dong, M.; Shi, Q.W. Studies of sesquiterpenoids from Artemisia frigida on the anti-growth activity of human tumor cell lines. Pharmacol. Clin. Chin. Mater. Med. 2011, 27, 24–26. (In Chinese) [Google Scholar]
- Wu, W.L.; Fu, Z.; Jin, L. Study on In-vitro Antioxidant Activity of Alkaloids from Artemisia frigida. Acad. J. Educ. Res. 2012, 3, 64–65. (In Chinese) [Google Scholar]
- Lopes-Lutz, D.; Alviano, D.S.; Alviano, C.S.; Kolodziejczyk, P.P. Screening of chemical composition, antimicrobial and antioxidant activities of Artemisia essential oils. Phytochemistry 2008, 69, 1732–1738. [Google Scholar] [CrossRef] [PubMed]
- Liu, X.C.; Li, Y.; Wang, T.; Wang, Q.; Liu, Z.L. Chemical Composition and Insecticidal Activity of Essential Oil of Artemisia frigida Willd (Compositae) against Two Grain Storage Insects. Trop. J. Pharm. Res. 2014, 13, 587–592. [Google Scholar] [CrossRef]
- Xue, Y.; Wang, T.Z. Pharmaceutical screening of active fraction of haemostasis in Agi. Qingdao Med. Health Care 2012, 44, 3. (In Chinese) [Google Scholar]
- Zhao, Y.; Qiu, Y.; Dai, L.; Wang, H. Potential immunomodulatory effects of the extract from Artemisia frigida Willd on loaches infested with Aeromonas hydrophila revealed by microRNA analysis. Front. Genet. 2025, 16, 1584539. [Google Scholar] [CrossRef]



| Method | Characteristic | Limitations | Reference |
|---|---|---|---|
| SE | Differential solubility; flexible solvents; cold/hot/reflux; scalable for crude extracts. | Residual solvent risk; low selectivity; possible thermal degradation; time-consuming. | [34,35] |
| UAE | Cavitation enhanced mass transfer; shorter time/low temperature; reduced solvent use. | Uneven energy distribution; limited industrial scalability; not ideal for all solvents. | [34,36,37] |
| SFE | High selectivity; low temperature; green solvent; tunable solubility; scalable. | High equipment cost; requires high pressure; limited polarity range without co-solvents. | [38,39,40] |
| HPLC | High resolution/selectivity; robust quantitation; broad detectors [UV/DAD/MS]. | High solvent consumption; not suited for large-scale isolation. | [41,42,43] |
| MAR | Adsorptive enrichment; mild conditions; reusable resin. | Limited specificity; resin fouling over time; requires regeneration. | [44,45] |
| prep-HPLC | High-purity isolation; reproducible fraction collection. | Time- and solvent-intensive; costly; scale up may be challenging. | [46,47] |
| HPCE | Mobility-based separation in capillaries; ultra-efficient; minute sample/solvent; fast; UV/LIF/MS-ready. | Low sample capacity; sensitive to pH; complex method optimization. | [48,49] |
| CC | Versatile; low cost; gram-scale fractionation; customizable gradients. | Labor-intensive; low resolution; inefficient for complex mixtures. | [50,51] |
| Method | Mechanism | Application | Reference |
|---|---|---|---|
| HPLC | distribution | chlorogenic acid | [10,80] |
| MAR | adsorption | caffeic acid | [10,81] |
| Prep HPLC | distribution | kaempferol | [82] |
| HPCE | charge-based separation | quercetin | [15,79] |
| CC | adsorption | 5,7-dihydroxy-3′,4′,5′-trimethoxy flavone 7-O-β-d-glucuronide | [12] |
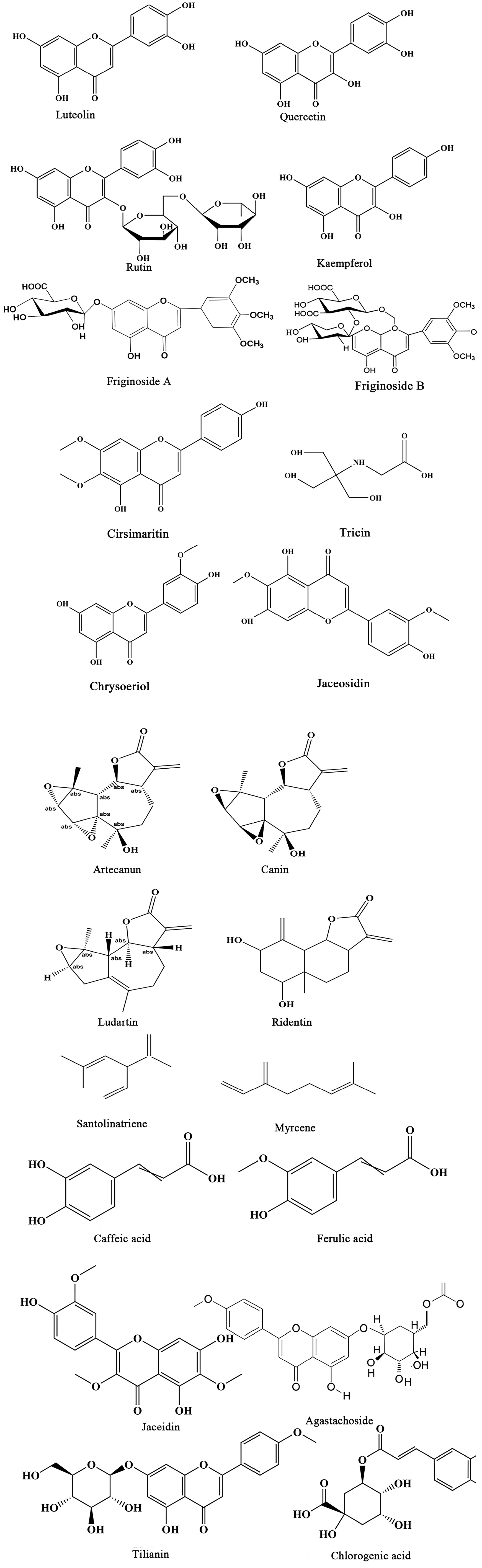
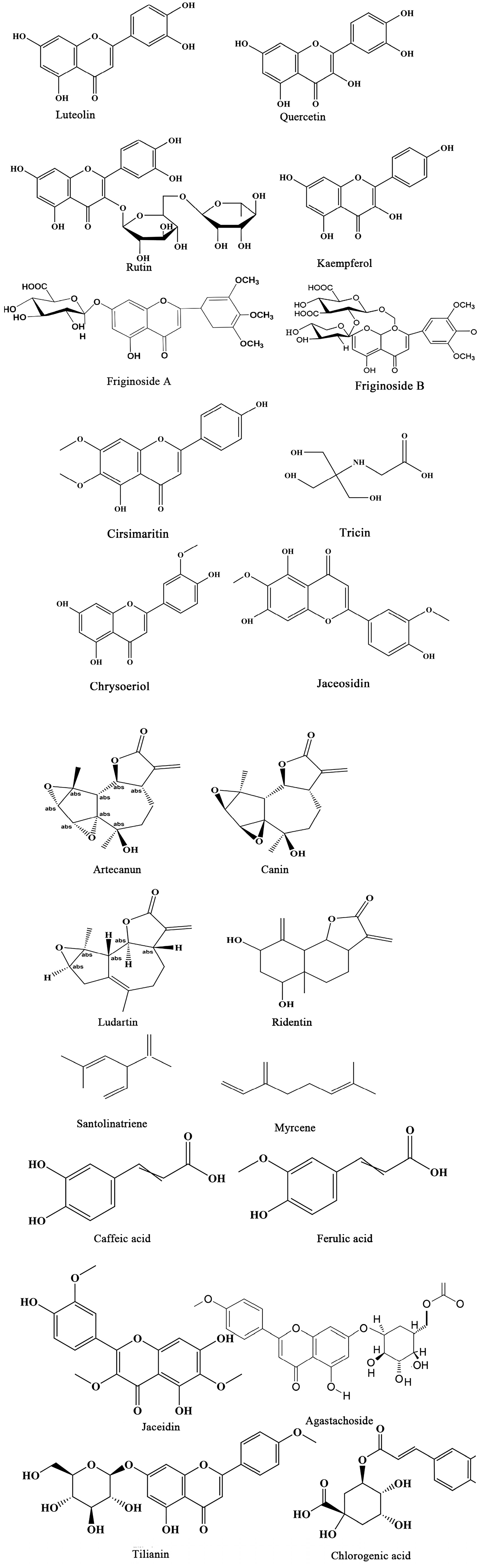
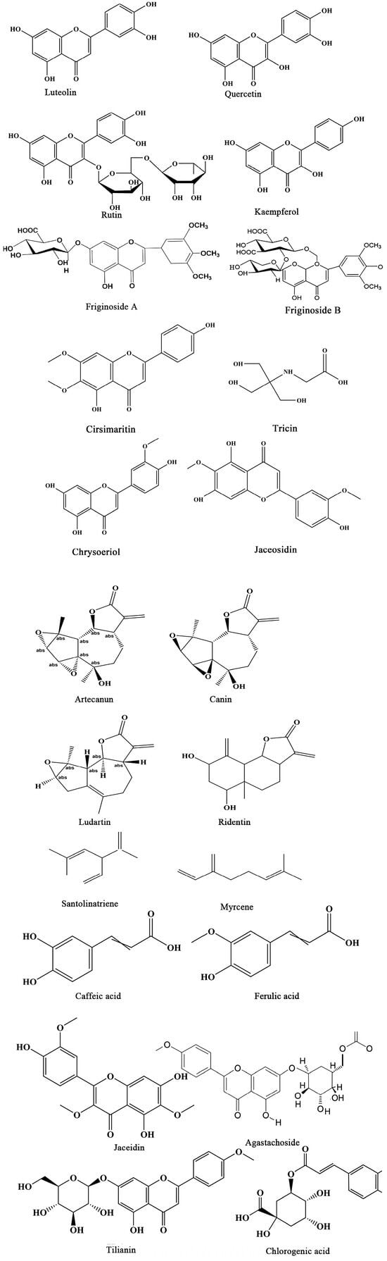
| Classification | No. | Name | Reference |
|---|---|---|---|
| Flavonoids | 1 | Luteolin | [9,12,13] |
| 2 | Quercetin | [9,13] | |
| 3 | Rutin | [20,81] | |
| 4 | Kaempferol | [13,81] | |
| 5 | Friginoside A | [58] | |
| 6 | Friginoside B | [58] | |
| 7 | Cirsimaritin | [12,13] | |
| 8 | Tricin | [12,13,82] | |
| 9 | Chrysoeriol | [12,13] | |
| 10 | Jaceosidin | [12,13,82] | |
| Sesquiterpenes | 7 | Artecanin | [81,83] |
| 8 | Canin | [81,83] | |
| 9 | Ludartin | [83] | |
| 10 | Ridentin | [12,84] | |
| 11 | Santolinatriene | [17,85] | |
| 12 | Myrcene | [85] | |
| Polyphenols | 13 | Caffeic Acid | [9,12,80] |
| 14 | Ferulic Acid | [9,80,81] | |
| 15 | Jaceidin | [12,13] | |
| 16 | Agastachoside | [12] | |
| 17 | Tilianin | [12] | |
| 18 | Chlorogenic acid | [66,80,82] |
| Compound | Pharmacology | Mechanism | Reference |
|---|---|---|---|
| total flavonoids | anti-inflammatory | cytokine regulation, LTB4 inhibition, increase in cAMP levels | [19,97] |
| 3,5-Dihydroxy-6,7,3′,4′-tetramethoxyflavone | antitumor | induction of cytotoxicity (HepG2 cells) | [10] |
| sesquiterpene lactones | antitumor | strong antiproliferative effect | [98] |
| caffeoylquinic acids | antioxidant | Radical scavenging activity and high ORAC values | [21] |
| total flavonoids | antioxidant | Strong scavenging of DPPH, superoxide (O2−·), hydroxyl radicals (OH) | [75] |
| flavonoid extracts | antioxidant | Hydroxyl radical scavenging | [20] |
| 1,8-cineole, camphor | antimicrobial | disruption of microbial membrane integrity (S. aureus, E. coli, C. albicans) | [100] |
| 1,8 cineole, camphor, borneol | insecticidal | fumigant toxicity against storage pests (Sitophilus zeamais, Liposcelis bostrychophila) | [101] |
| n-Butanol and ethyl acetate fractions | hemostatic | Shortening of bleeding and coagulation times in mice | [102] |
| crude extracts | Immunomodulatory | Regulation of immune-related miRNAs; modulation of TLR, NLR, RLR pathways; influence on apoptosis, endocytosis, and cytokine interactions | [103] |
Disclaimer/Publisher’s Note: The statements, opinions and data contained in all publications are solely those of the individual author(s) and contributor(s) and not of MDPI and/or the editor(s). MDPI and/or the editor(s) disclaim responsibility for any injury to people or property resulting from any ideas, methods, instructions or products referred to in the content. |
© 2025 by the authors. Licensee MDPI, Basel, Switzerland. This article is an open access article distributed under the terms and conditions of the Creative Commons Attribution (CC BY) license (https://creativecommons.org/licenses/by/4.0/).
Share and Cite
Tian, W.; Zhang, M.; Zhang, T.; Li, X.; Zhang, H.; Li, X. Artemisia frigida Willd.: Advances in Traditional Uses, Phytochemical Constituents, Extraction and Separation Methods, and Pharmacological Activities. Separations 2025, 12, 280. https://doi.org/10.3390/separations12100280
Tian W, Zhang M, Zhang T, Li X, Zhang H, Li X. Artemisia frigida Willd.: Advances in Traditional Uses, Phytochemical Constituents, Extraction and Separation Methods, and Pharmacological Activities. Separations. 2025; 12(10):280. https://doi.org/10.3390/separations12100280
Chicago/Turabian StyleTian, Wei, Mengjie Zhang, Tongcun Zhang, Xianglong Li, Haiying Zhang, and Xiumei Li. 2025. "Artemisia frigida Willd.: Advances in Traditional Uses, Phytochemical Constituents, Extraction and Separation Methods, and Pharmacological Activities" Separations 12, no. 10: 280. https://doi.org/10.3390/separations12100280
APA StyleTian, W., Zhang, M., Zhang, T., Li, X., Zhang, H., & Li, X. (2025). Artemisia frigida Willd.: Advances in Traditional Uses, Phytochemical Constituents, Extraction and Separation Methods, and Pharmacological Activities. Separations, 12(10), 280. https://doi.org/10.3390/separations12100280

